Скачать Методика расчета стоимости разработки, экспертизы и подготовки к утверждению сводов правил и актуализации ранее утвержденных строительных норм и правил, сводов правил в сфере строительства, осуществляемых с привлечением средств федерального бюджета (на основе нормируемых трудозатрат)Дата актуализации: 01.01.2021 |
| Статус: | действует |
| Название рус.: | Методика расчета стоимости разработки, экспертизы и подготовки к утверждению сводов правил и актуализации ранее утвержденных строительных норм и правил, сводов правил в сфере строительства, осуществляемых с привлечением средств федерального бюджета (на основе нормируемых трудозатрат) |
| Дата добавления в базу: | 12.02.2016 |
| Дата актуализации: | 01.01.2021 |
| Дата введения: | 03.06.2015 |
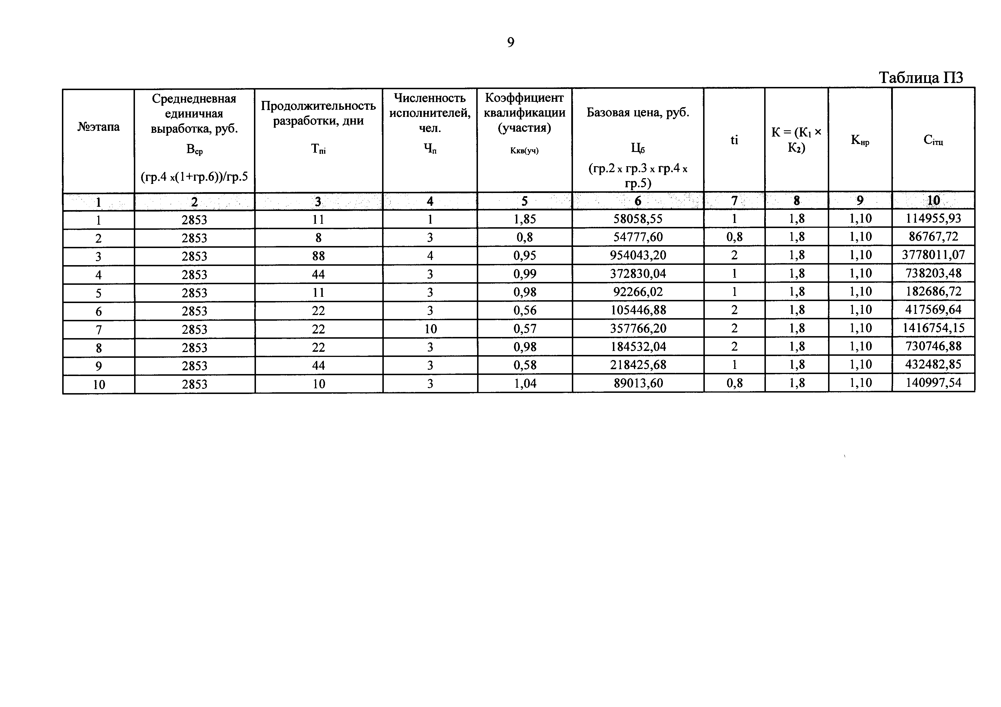
| Область применения: | Методика расчета стоимости разработки, экспертизы и подготовки к утверждению сводов правил и актуализации ранее утвержденных строительных норм и правил, сводов правил в сфере строительства, осуществляемых с привлечением средств федерального бюджета на основе нормируемых трудозатрат предназначена для определения стоимости этапов работ, составляющих разработку, экспертизу и подготовку к утверждению нормативных технических документов, в том числе для определения стоимости подрядных и субподрядных работ (услуг). |
| Оглавление: | Введение 1. Общие положения 2. Методика расчета стоимости работ Приложение |
| Утверждён: | 03.06.2015 Минстрой России (Russian Federation Minstroy 400/пр) |
| Список изменений: | |
| Нормативные ссылки: |
|











