Скачать ГОСТ EN 12766-3-2014 Нефтепродукты и отработанные масла. Определение полихлорированных бифенилов (PCB) и родственных соединений. Часть 3. Определение и вычисление содержания полихлорированных терфенилов (PCТ) и полихлорированных бензилтолуолов (PCBT) методом газовой хроматографии (GC) с использованием электронозахватного детектора (ECD)Дата актуализации: 01.01.2021
|
| Обозначение: | ГОСТ EN 12766-3-2014 |
| Обозначение англ: | 12766-3-2014 |
| Статус: | введен впервые |
| Название рус.: | Нефтепродукты и отработанные масла. Определение полихлорированных бифенилов (PCB) и родственных соединений. Часть 3. Определение и вычисление содержания полихлорированных терфенилов (PCТ) и полихлорированных бензилтолуолов (PCBT) методом газовой хроматографии (GC) с использованием электронозахватного детектора (ECD) |
| Название англ.: | Petroleum products and used oils. Determination of polychlorinated biphenyls (PCB) and related products. Part 3. Determination and quantification of polychlorinated terphenyls (PCT) and polychlorinated benzyl toluenes (PCBT) content by gas chromatography (GC) using an electron capture detector (ECD) |
| Дата добавления в базу: | 12.02.2016 |
| Дата актуализации: | 01.01.2021 |
| Дата введения: | 01.07.2016 |
| Область применения: | Стандарт устанавливает метод определения содержания полихлорированных терфенилов (РСТ) и полихлорированных бензилтолуолов (PCBT) в нефтепродуктах и аналогичных материалах стандартным разделением с помощью газовой хроматографии. Для количественного определения РСТ после хроматографического разделения используют промышленные смеси Aroclor 5442 и Aroclor 5460, для определения PCBT - Ugilec 141. Стандарт распространяется на нефтяные неиспользованные, отработанные и подвергнутые обработке (например, дехлорированию) масла, а также синтетические смазочные масла и нефтяные и синтетические смазочные масла, восстановленные с использованием соответствующих процедур из других материалов, например из отходов, а также на смеси растительных масел. |
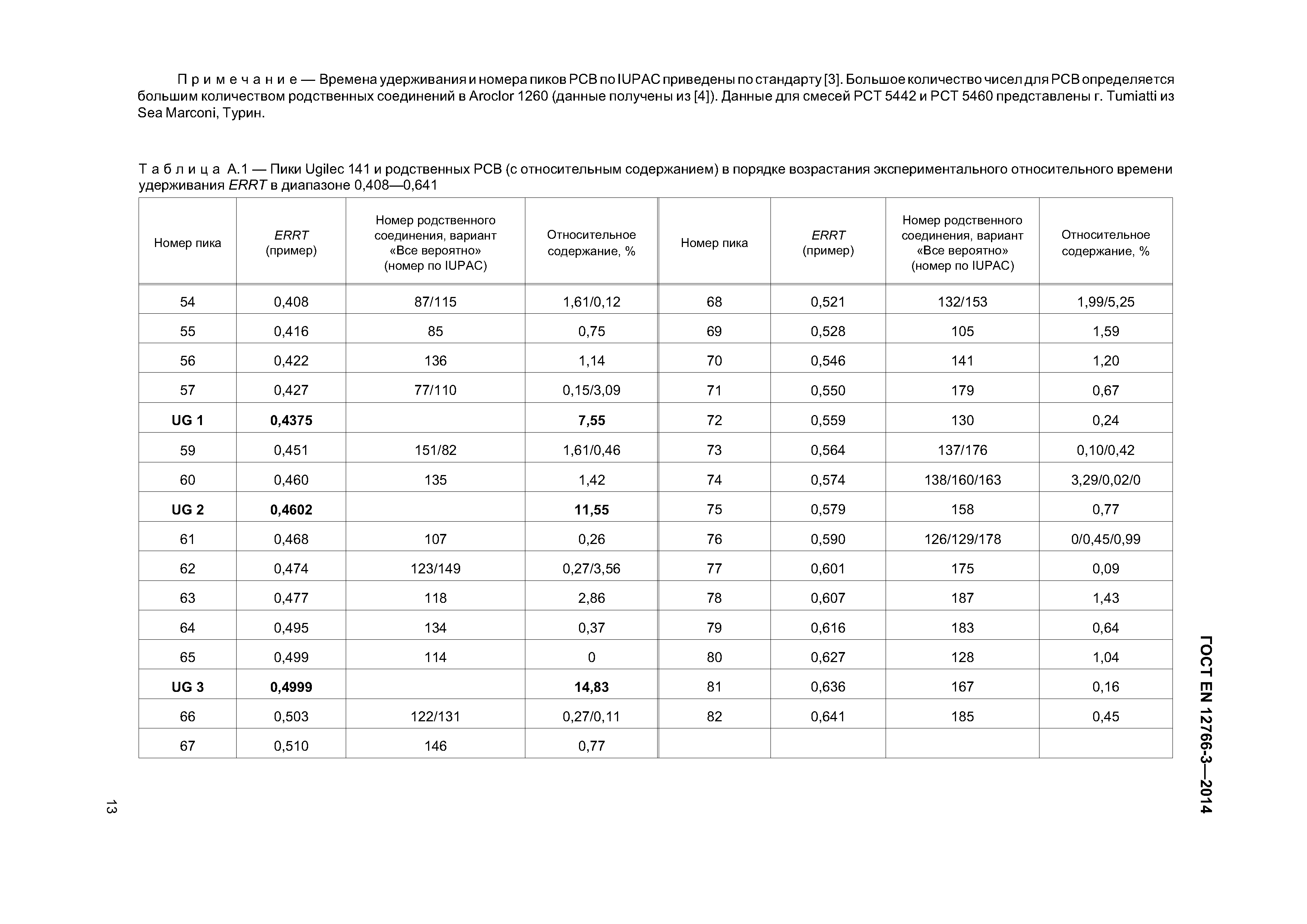
| Оглавление: | 1 Область применения 2 Нормативные ссылки 3 Термины и определения 4 Основные положения 5 Реактивы и материалы 6 Аппаратура 7 Отбор и подготовка проб 8 Процедура очистки 9 Рабочие условия газового хроматографа 10 Проверка характеристик прибора и разрешающей способности 11 Калибровка 12 Измерение 13 Вычисление результатов 14 Вычисление общего содержания РСВ и родственных РСВ 15 Прецизионность 16 Протокол испытаний Приложение А (обязательное) Типичные хроматограммы Библиография Приложение ДА (справочное) Сведения о соответствии межгосударственных стандартов ссылочным стандартам |
| Разработан: | ФГУП ВНИЦ СМВ |
| Утверждён: | 14.11.2014 Межгосударственный Совет по стандартизации, метрологии и сертификации (Inter-Governmental Council on Standardization, Metrology, and Certification 72-П) 25.05.2015 Федеральное агентство по техническому регулированию и метрологии (418-ст) |
| Издан: | Стандартинформ (2015 г. ) |
| Нормативные ссылки: |
|























