Скачать ОЕРЖм 81-03-03-2001 Часть 3. Подъемно-транспортное оборудование. Книга 1 (Северный, Северо-Западный, Центральный, Волго-Вятский, Центрально-Черноземный, Поволжский, Северо-Кавказский территориальные районы)Дата актуализации: 01.01.2021
|
| Обозначение: | ОЕРЖм 81-03-03-2001 |
| Обозначение англ: | 81-03-03-2001 |
| Статус: | действует |
| Название рус.: | Часть 3. Подъемно-транспортное оборудование. Книга 1 (Северный, Северо-Западный, Центральный, Волго-Вятский, Центрально-Черноземный, Поволжский, Северо-Кавказский территориальные районы) |
| Дата добавления в базу: | 12.02.2016 |
| Дата актуализации: | 01.01.2021 |
| Дата введения: | 01.06.2011 |
| Область применения: | Отраслевые единичные расценки на монтаж оборудования предназначены для определения затрат при выполнении монтажных работ и составления на их основе сметных расчетов (смет) на производство указанных работ |
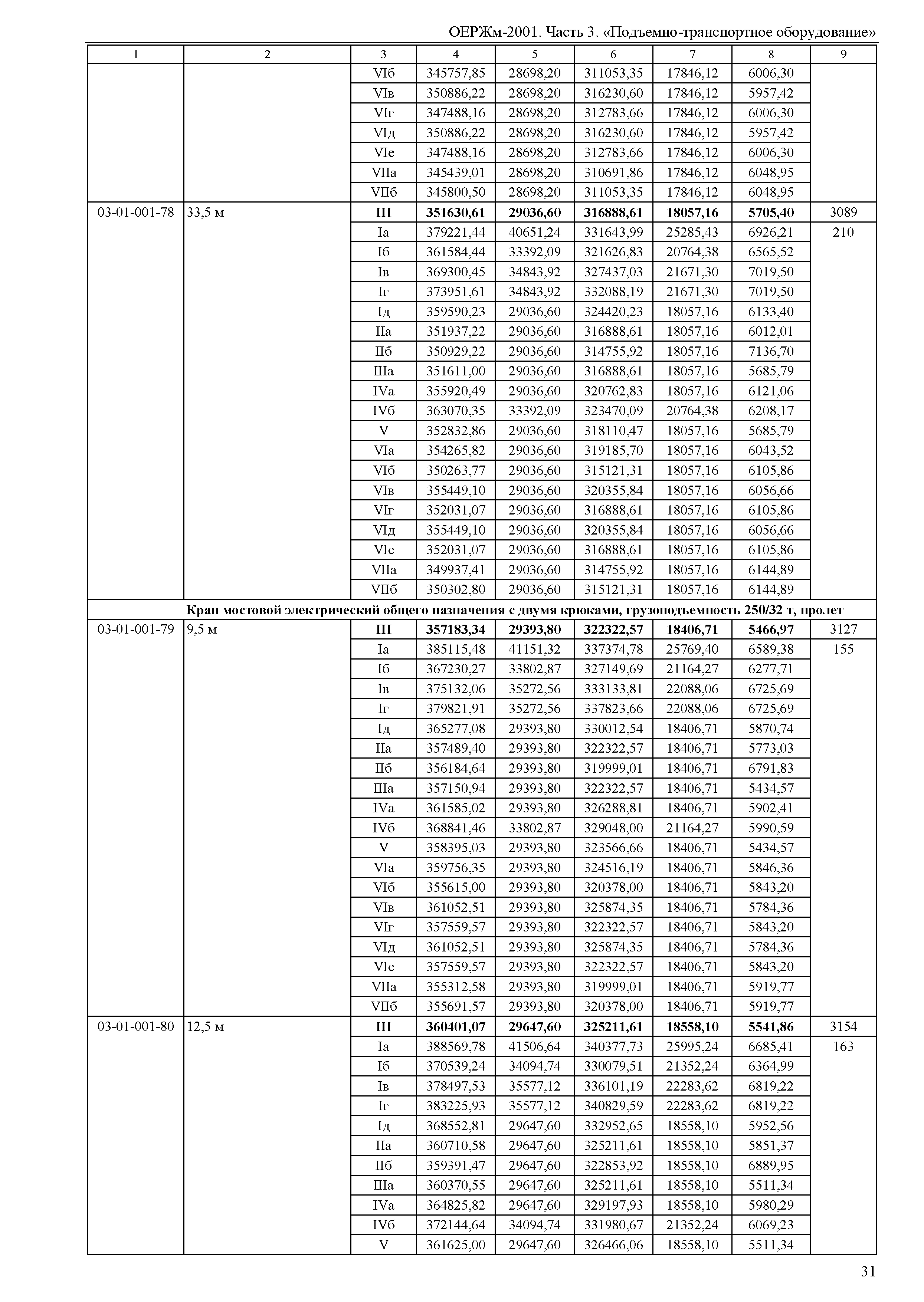
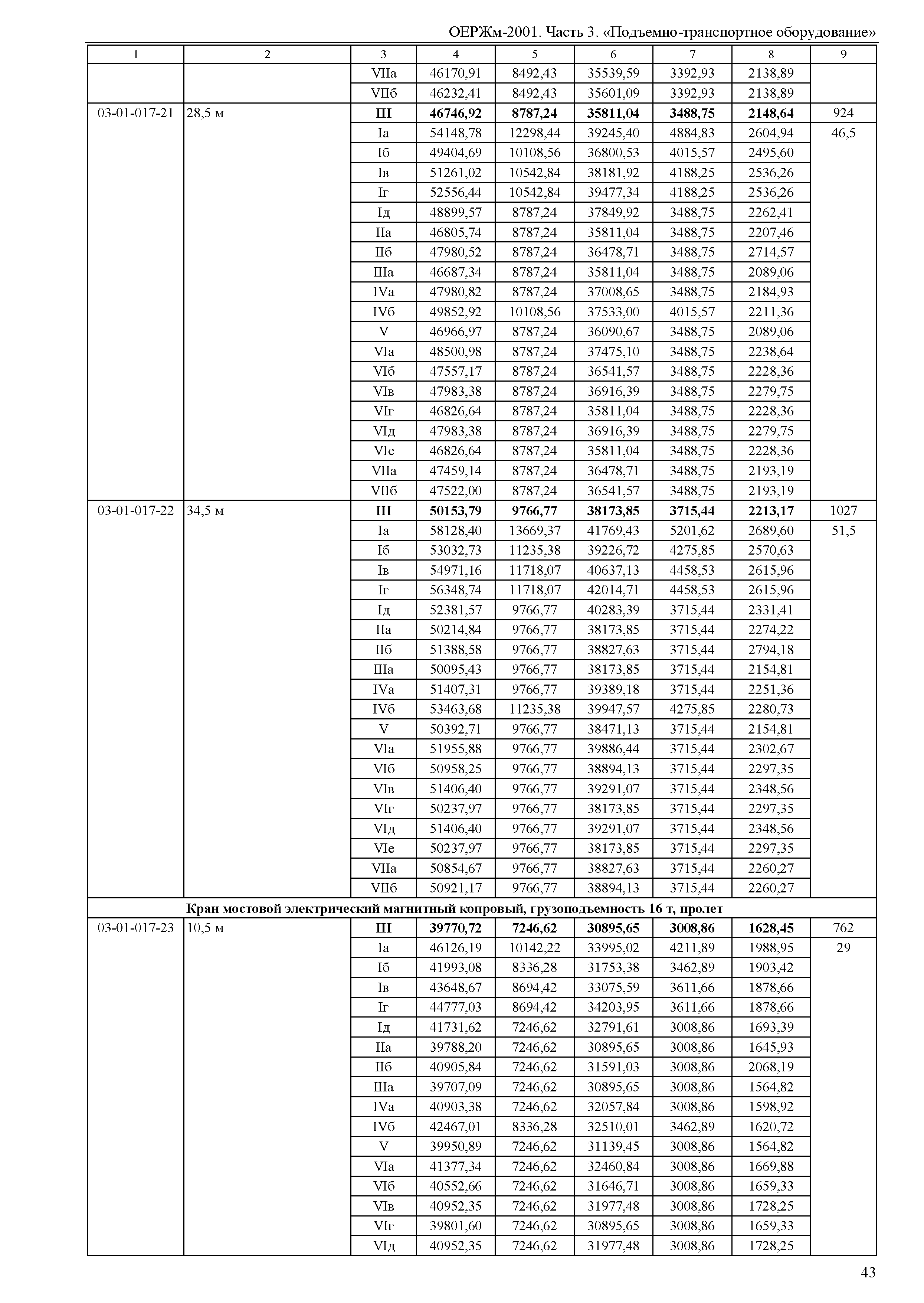
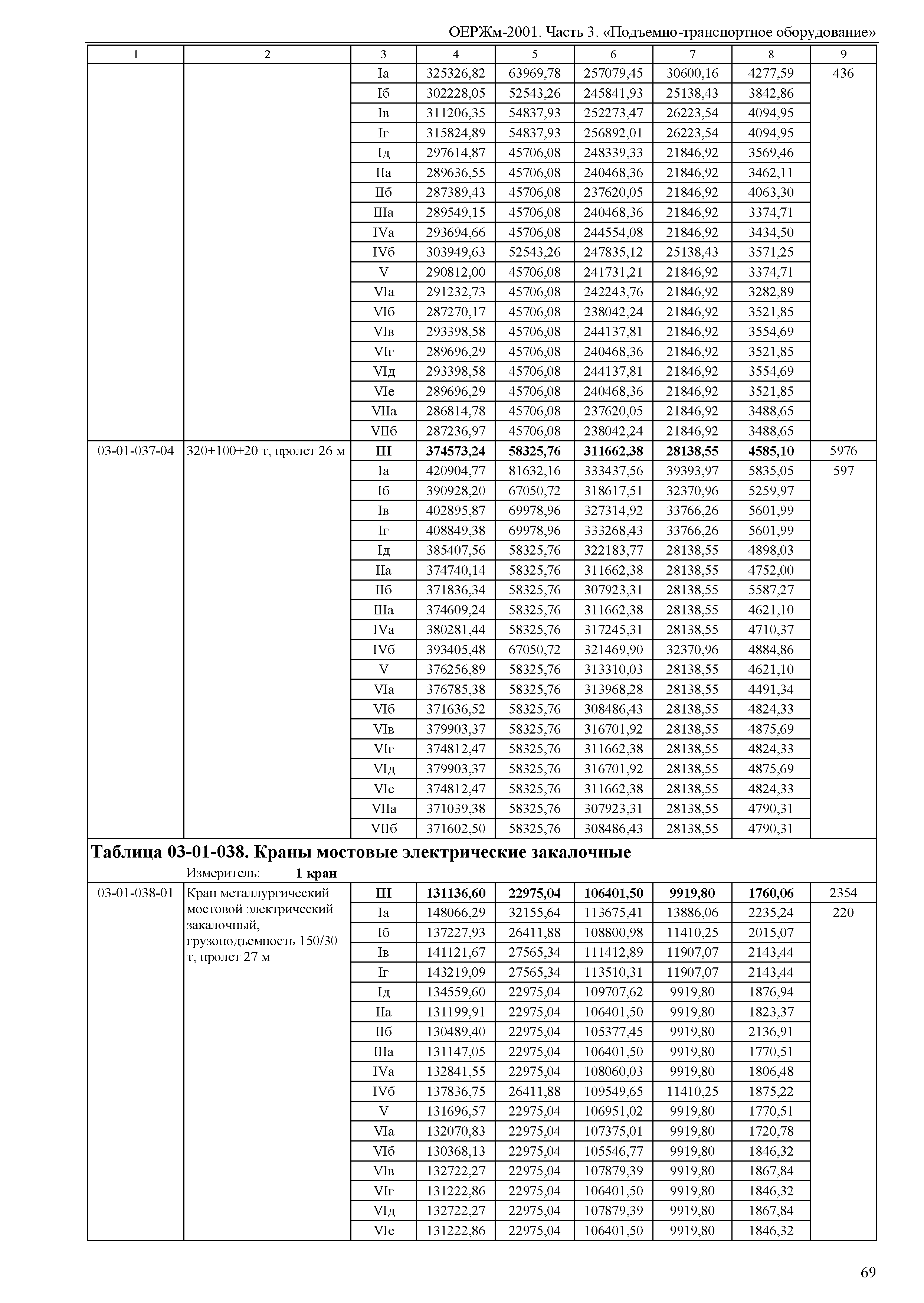
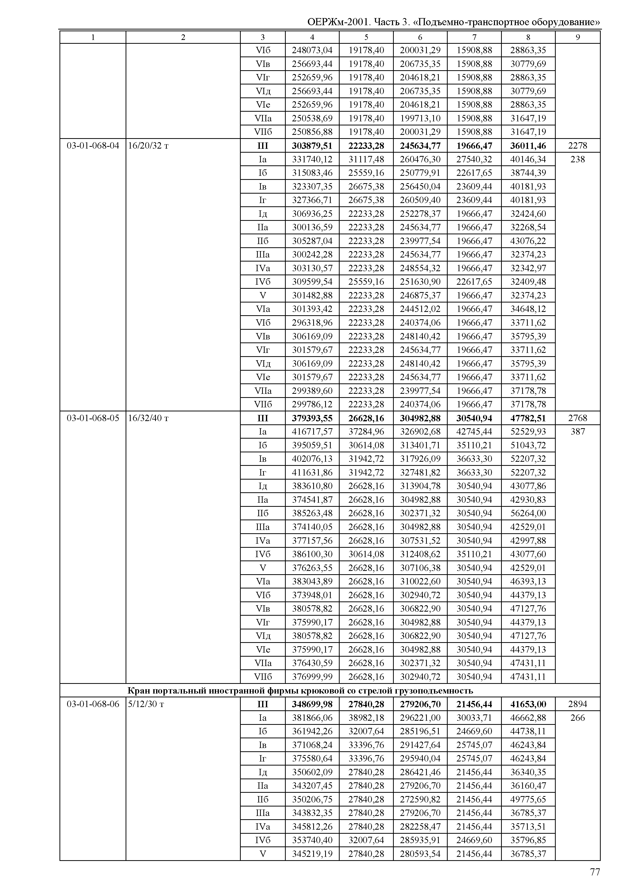
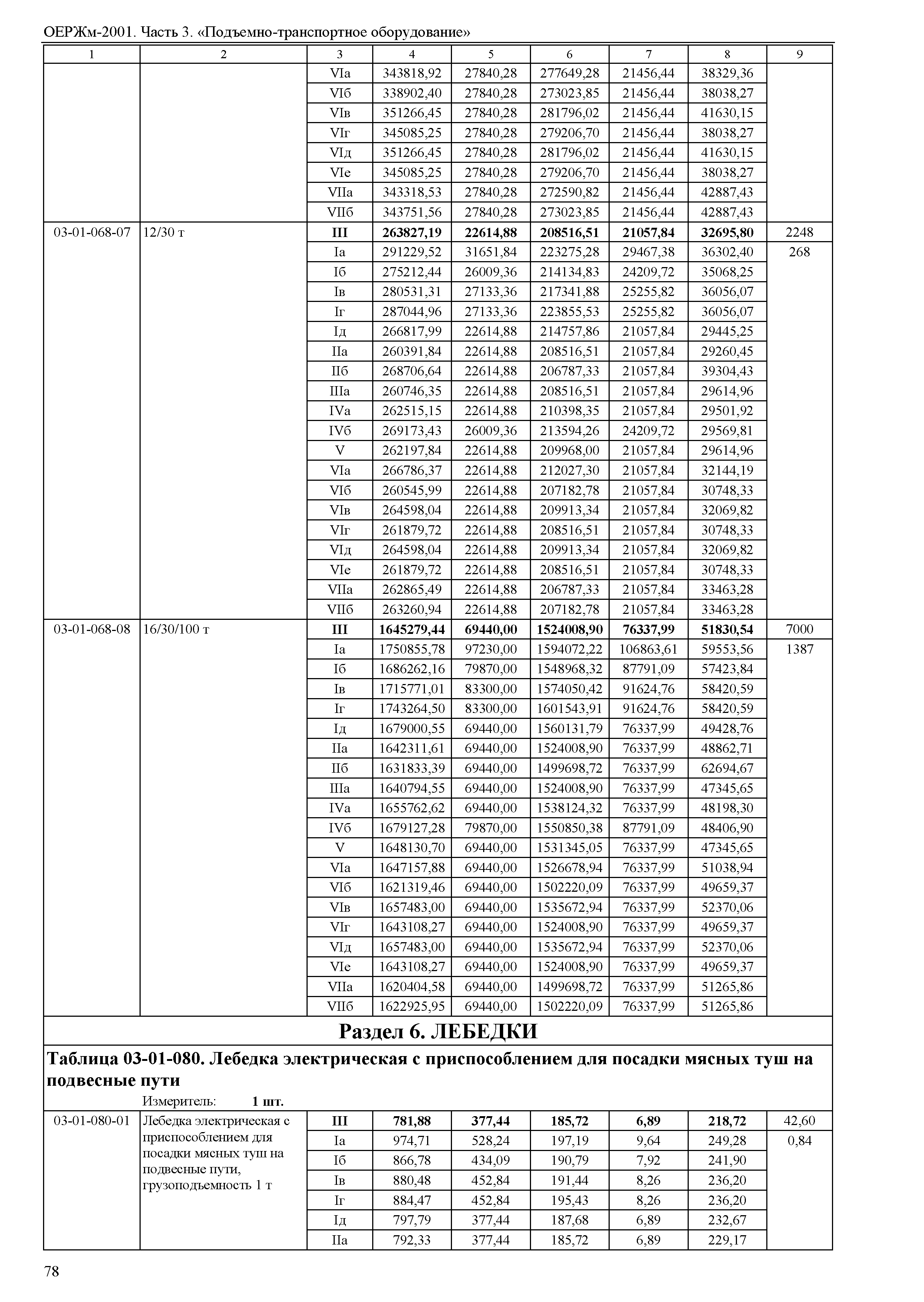
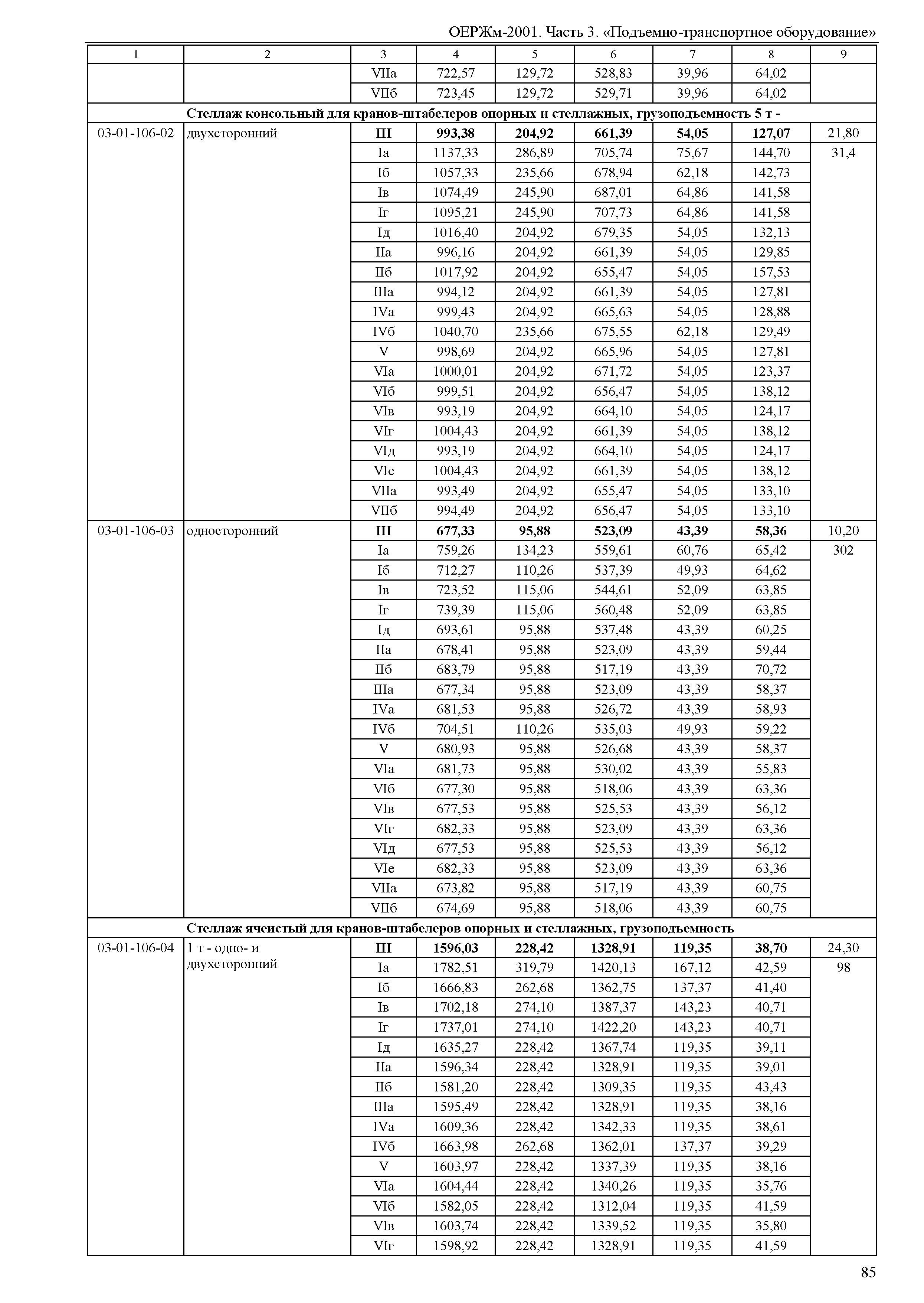
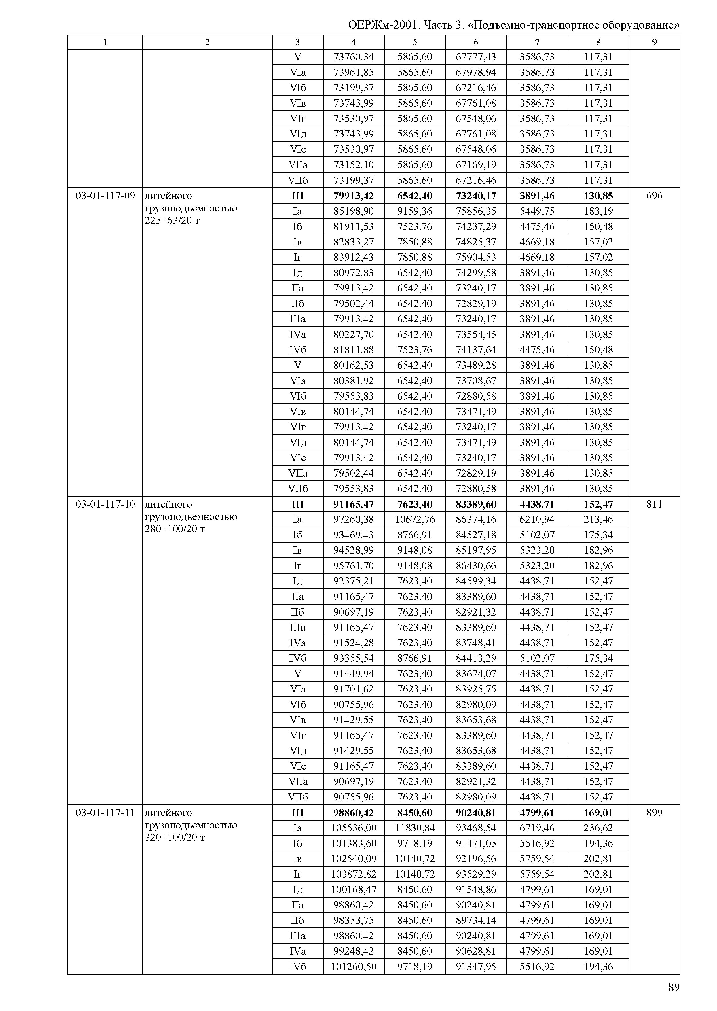
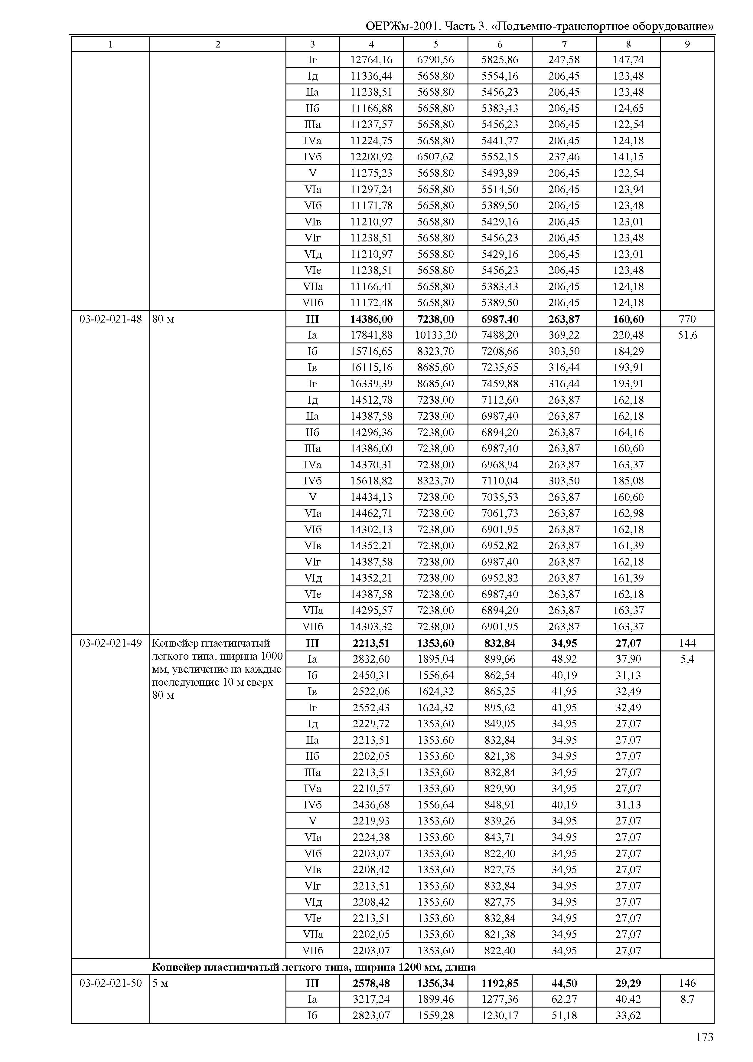
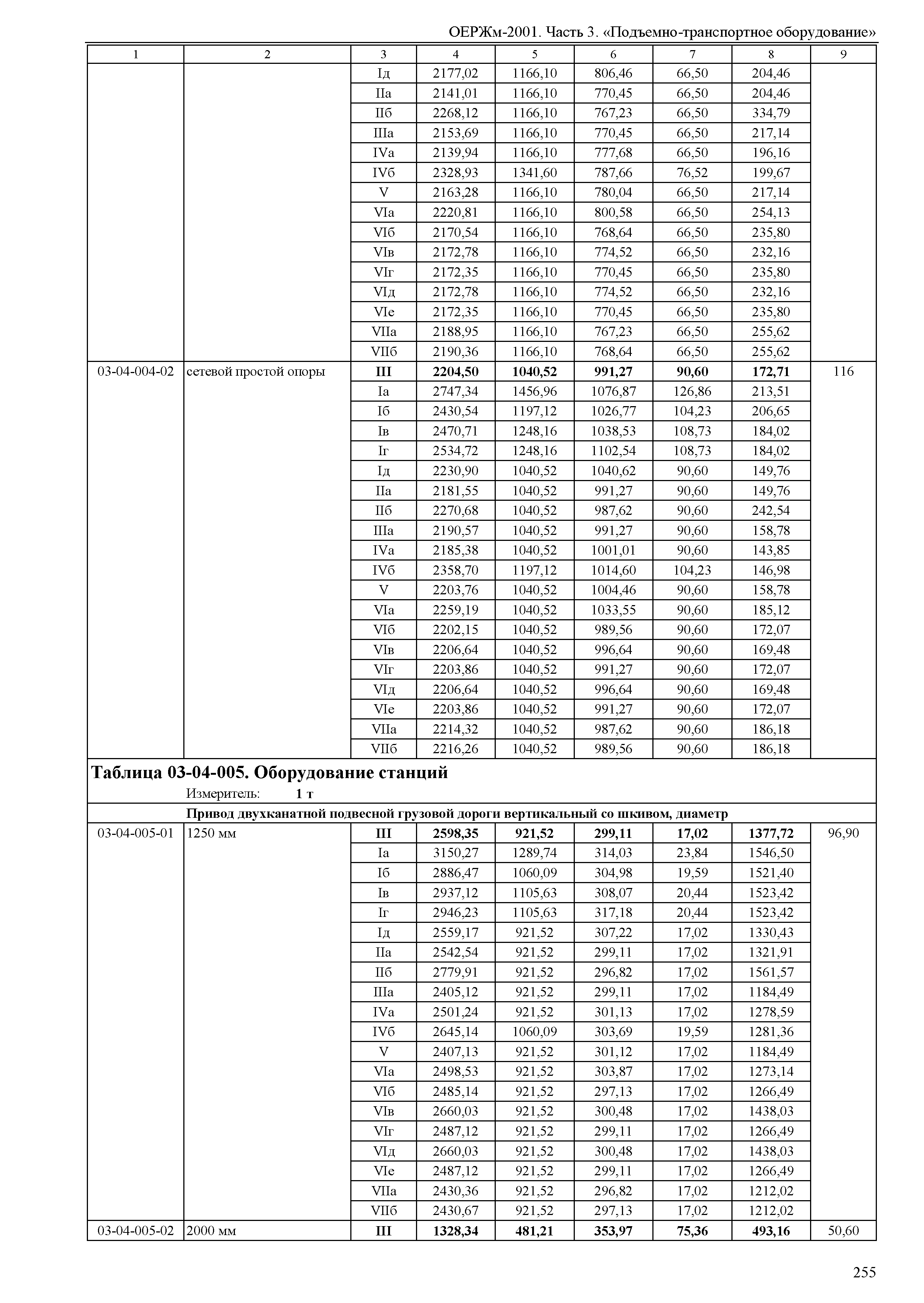
| Оглавление: | Часть 3. Подъемно-транспортное оборудование Отдел 01. Подъемно-транспортные механизмы прерывного действия Раздел 1. Краны мостовые и консольные общего назначения Раздел 2. Краны специальные мостовые Раздел 3. Краны металлургические мостовые Раздел 4. Краны перегрузочные Раздел 5. Краны портальные Раздел 6. Лебедки Раздел 7. Краны подвесные двухбалочные многопролетные электрические Раздел 8. Краны-штабелеры и стеллажи Раздел 9. Централизованная густая смазка кранов Раздел 10. Подъемные механизмы Раздел 11. Краны козловые Отдел 02. Транспортные механизмы непрерывного действия Раздел 1. Конвейеры ленточные Раздел 2. Конвейеры пластинчатые и цепные Раздел 3. Конвейеры тележечные Раздел 4. Конвейеры винтовые Раздел 5. Элеваторы Раздел 6. Конвейеры специальные Отдел 03. Узлы подъемно-транспортного оборудования Раздел 1. Узлы конвейеров и рольгангов Отдел 04. Подвесные канатные дороги Раздел 1. Двухканатные подвесные грузовые кольцевые и маятниковые дороги Раздел 2. Пассажирские подвесные канатные дороги Отдел 05. Подъемники Раздел 1. Пассажирские, больничные и грузовые лифты Отдел 06. Шахтное подъемно-транспортное оборудование. Раздел 1. Лебедки и навеска канатов Отдел 07. Лесотранспортное оборудование Отдел 08. Оборудование систем трубопроводного контейнерного пневмотранспорта Раздел 1. Составы контейнеров Раздел 2. Оборудование линейное Раздел 3. Оборудование погрузочно-разгрузочное Раздел 4. Оборудование гидравлическое и пневматическое Раздел 5. Оборудование воздуходувных станций Раздел 6. Устройства технического обслуживания |
| Разработан: | ОАО РЖД НО Национальная ассоциация стоимостного инжиниринга |
| Утверждён: | 31.01.2011 ОАО РЖД (178р) |





































































































































































































































































































































