Скачать ГОСТ Р ИСО/МЭК 18004-2015 Информационные технологии. Технологии автоматической идентификации и сбора данных. Спецификация символики штрихового кода QR CodeДата актуализации: 01.01.2021
|
| Обозначение: | ГОСТ Р ИСО/МЭК 18004-2015 |
| Обозначение англ: | GOST R ISO/IEC 18004-2015 |
| Статус: | введен впервые |
| Название рус.: | Информационные технологии. Технологии автоматической идентификации и сбора данных. Спецификация символики штрихового кода QR Code |
| Название англ.: | Information technology. Automatic identification and data capture techniques. QR Code bar code symbology specification |
| Дата добавления в базу: | 12.02.2016 |
| Дата актуализации: | 01.01.2021 |
| Дата введения: | 01.02.2016 |
| Область применения: | Стандарт устанавливает требования к символике QR Code, а также параметры символики, методы кодирования знаков данных, форматы символов, требования к размерам, правила исправления ошибок, рекомендуемый алгоритм декодирования, требования к качеству производства, выбираемые пользователем параметры применения. |
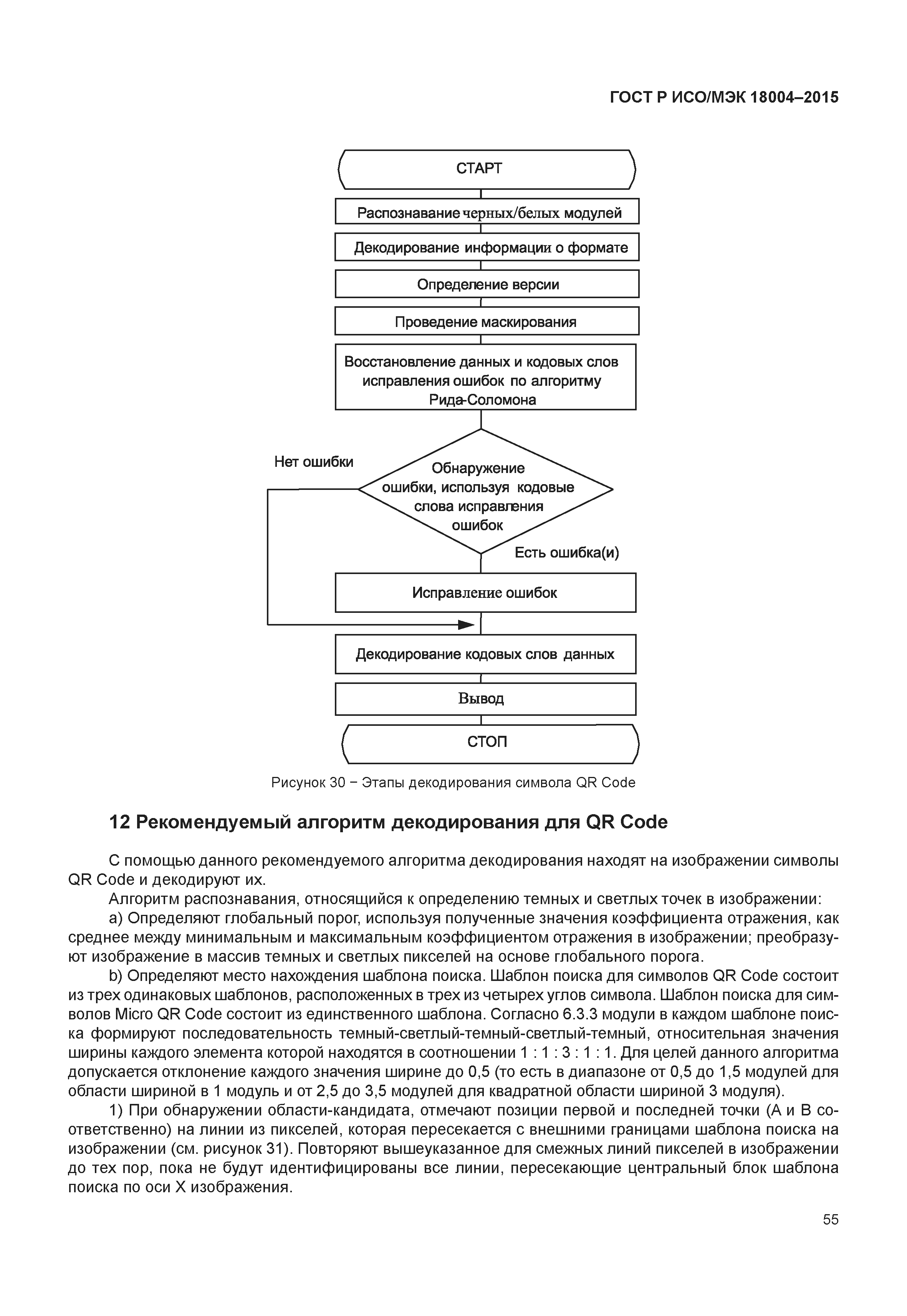
| Оглавление: | 1 Область применения 2 Соответствие 3 Нормативные ссылки 4 Термины и определения 5 Математические и логические символы, обозначения и соглашения об обозначениях 5.1 Математические и логические символы 5.2 Сокращения 5.3 Соглашения об обозначениях 6 Описание символов 6.1 Основные параметры 6.2 Дополнительные свойства 6.3 Структура символов 7 Требования 7.1 Основные положения процедуры кодирования 7.2 Анализ данных 7.3 Режимы 7.4 Кодирование данных 7.5 Исправление ошибок 7.6 Формирование последовательности кодовых слов завершенного сообщения 7.7 Размещение кодовых слов в матрице 7.8 Маскирование данных 7.9 Информация о формате 7.10 Информация о версии 8 Структурированное соединение 8.1 Основные принципы 8.2 Индикатор очередности символа 8.3 Контрольные данные 9 Печать символов и маркирование 9.1 Размеры 9.2 Интерпретация для визуального чтения 9.3 Рекомендации по маркированию 10 Качество символов 10.1 Методика 10.2 Параметры качества символа 11 Обзор процедуры декодирования 12 Рекомендуемый алгоритм декодирования для QR Code 13 Способность к автораспознаванию 14 Передаваемые данные 14.1 Общие положения 14.2 Идентификатор символики 14.3 Интерпретации в расширенном канале Приложение А (обязательное) Порождающие полиномы для кодовых слов обнаружения и исправления ошибок Приложение В (обязательное) Порядок исправления ошибок при декодировании Приложение С (обязательное) Информация о формате Приложение D (обязательное) Информация о версии Приложение Е (обязательное) Размещение направляющих шаблонов Приложение F (обязательное) Идентификатор символики Приложение G (обязательное) Качество печати символов QR Code. Аспекты, связанные с особенностями символики Приложение Н (справочное) Наборы знаков JIS8 и Shift JIS Приложение I (справочное) Примеры кодирования символов Приложение J (справочное) Оптимизация длины двоичного потока Приложение К (справочное) Рекомендации пользователям по печати и сканированию символов QR Code Приложение L (справочное) Автоматическое распознавание Приложение М (справочное) Методы проведения контроля Приложение N (справочное) Параметры символов Моdel 1 Приложение ДА (справочное) Набор знаков АSСII (версия КОИ-7) по ИСО/МЭК 646, графические знаки расширенного набора знаков АSСII (версия КОИ-8) по ИСО/МЭК 8859-1 и набор 8-битовых графических знаков (версия КОИ-8) по ИСО/МЭК 8859-5 Приложение ДБ (справочное) Сведения о соответствии ссылочных международных стандартов ссылочным национальным стандартам Российской Федерации Библиография |
| Разработан: | ООО НПЦ Интелком Ассоциация автоматической идентификации ЮНИСКАН/ГС1 РУС |
| Утверждён: | 03.06.2015 Федеральное агентство по техническому регулированию и метрологии (544-ст) |
| Издан: | Стандартинформ (2015 г. ) |
| Нормативные ссылки: |
|
















































































































