Скачать ОЕРЖм 81-03-05-2001 Часть 5. Весовое оборудование. Книга 1 (Северный, Северо-Западный, Центральный, Волго-Вятский, Центрально-Черноземный, Поволжский, Северо-Кавказский территориальные районы)Дата актуализации: 01.01.2021
|
| Обозначение: | ОЕРЖм 81-03-05-2001 |
| Обозначение англ: | 81-03-05-2001 |
| Статус: | действует |
| Название рус.: | Часть 5. Весовое оборудование. Книга 1 (Северный, Северо-Западный, Центральный, Волго-Вятский, Центрально-Черноземный, Поволжский, Северо-Кавказский территориальные районы) |
| Дата добавления в базу: | 12.02.2016 |
| Дата актуализации: | 01.01.2021 |
| Дата введения: | 01.06.2011 |
| Область применения: | Отраслевые единичные расценки на монтаж оборудования предназначены для определения затрат при выполнении монтажных работ и составления на их основе сметных расчетов (смет) на производство указанных работ |
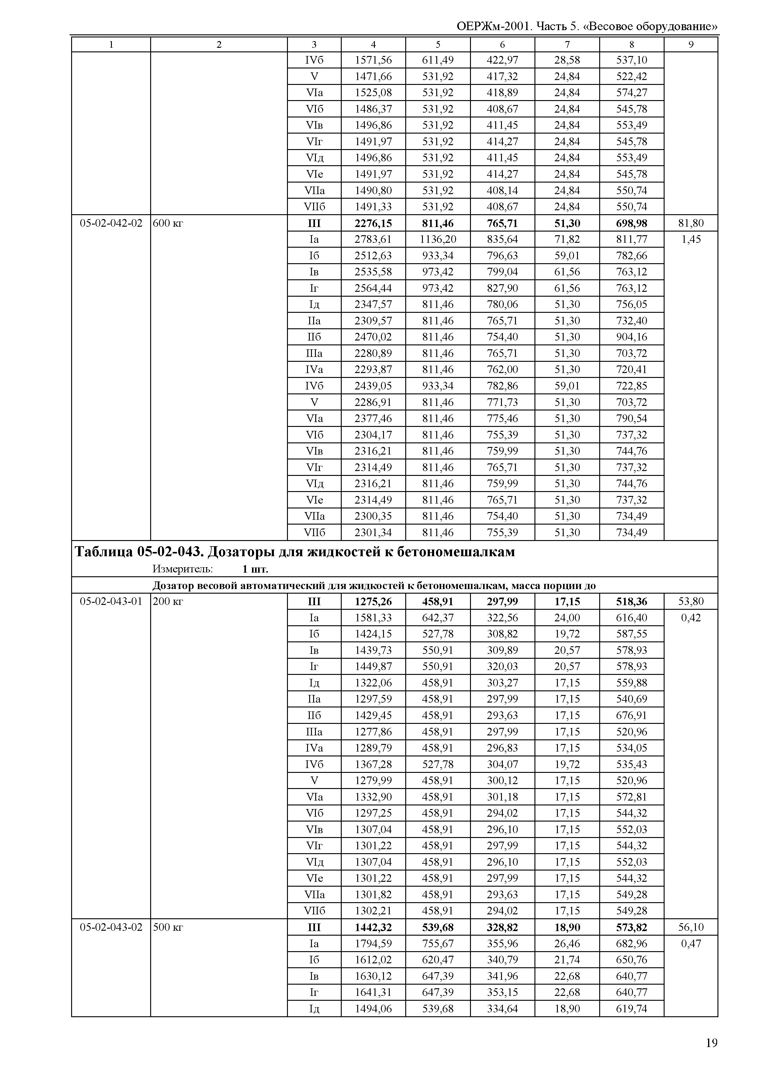
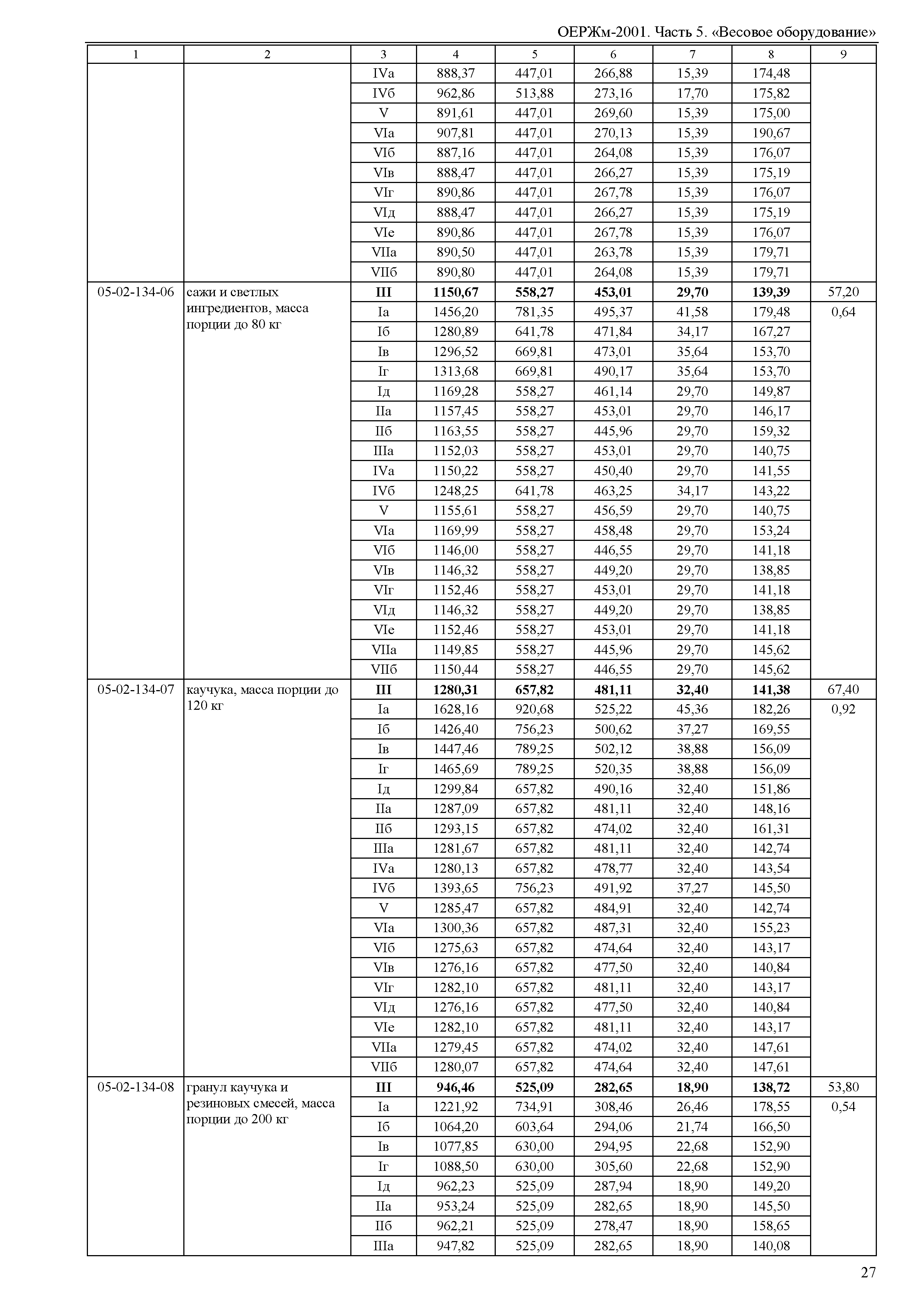
| Оглавление: | Часть 5. Весовое оборудование Отдел 01. Весы общего назначения Раздел 1. Весы транспортные Раздел 2. Весы и дозаторы для бестарного взвешивания разных сыпучих материалов Отдел 02. Весы и дозаторы специального назначения Раздел 1. Весы, применяемые в металлургической промышленности Раздел 2. Дозаторы, применяемые в промышленности строительных материалов и в строительстве Раздел 3. Дозаторы, применяемые в дорожном строительстве Раздел 4. Дозаторы, применяемые на элеваторах и предприятиях по переработке зерна Раздел 5. Весы, применяемые в мясной и молочной промышленности Раздел 6. Дозаторы, применяемые в химической промышленности |
| Разработан: | ОАО РЖД НО Национальная ассоциация стоимостного инжиниринга |
| Утверждён: | 31.01.2011 ОАО РЖД (178р) |






























