Скачать ОЕРЖм 81-03-33-2001 Часть 33. Оборудование предприятий легкой промышленности. Книга 1 (Северный, Северо-Западный, Центральный, Волго-Вятский, Центрально-Черноземный, Поволжский, Северо-Кавказский территориальные районы)Дата актуализации: 01.01.2021
|
| Обозначение: | ОЕРЖм 81-03-33-2001 |
| Обозначение англ: | 81-03-33-2001 |
| Статус: | действует |
| Название рус.: | Часть 33. Оборудование предприятий легкой промышленности. Книга 1 (Северный, Северо-Западный, Центральный, Волго-Вятский, Центрально-Черноземный, Поволжский, Северо-Кавказский территориальные районы) |
| Дата добавления в базу: | 12.02.2016 |
| Дата актуализации: | 01.01.2021 |
| Дата введения: | 01.06.2011 |
| Область применения: | Отраслевые единичные расценки на монтаж оборудования предназначены для определения затрат при выполнении монтажных работ и составления на их основе сметных расчетов (смет) на производство указанных работ |
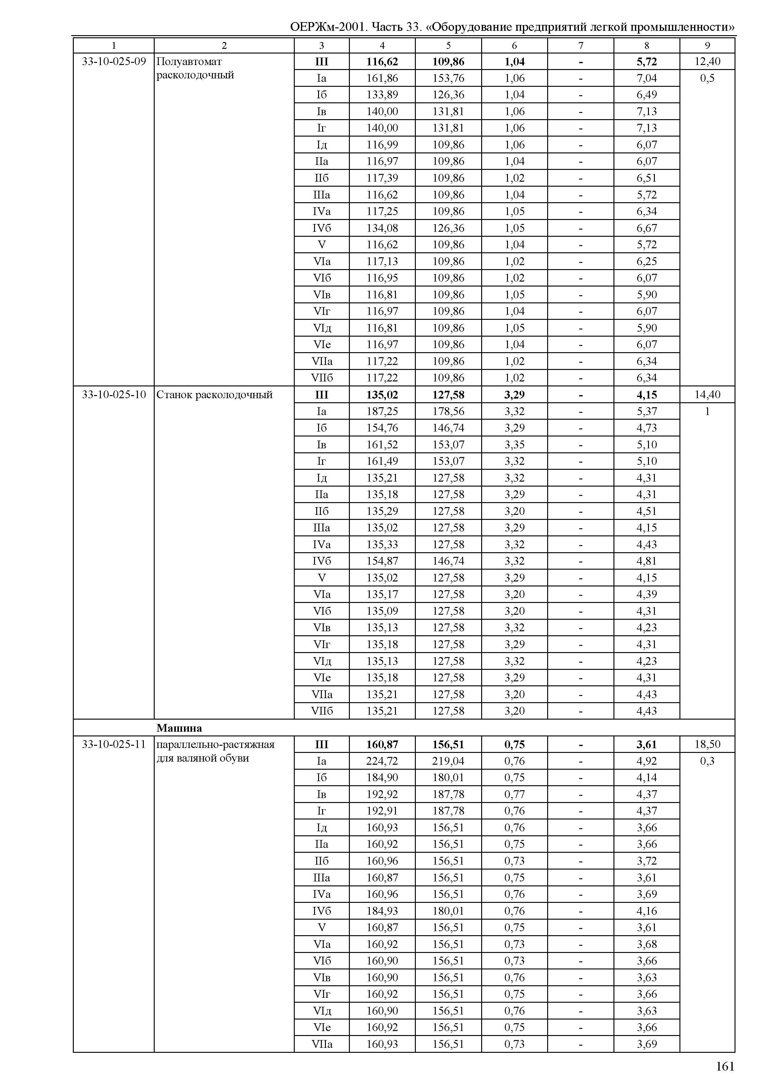
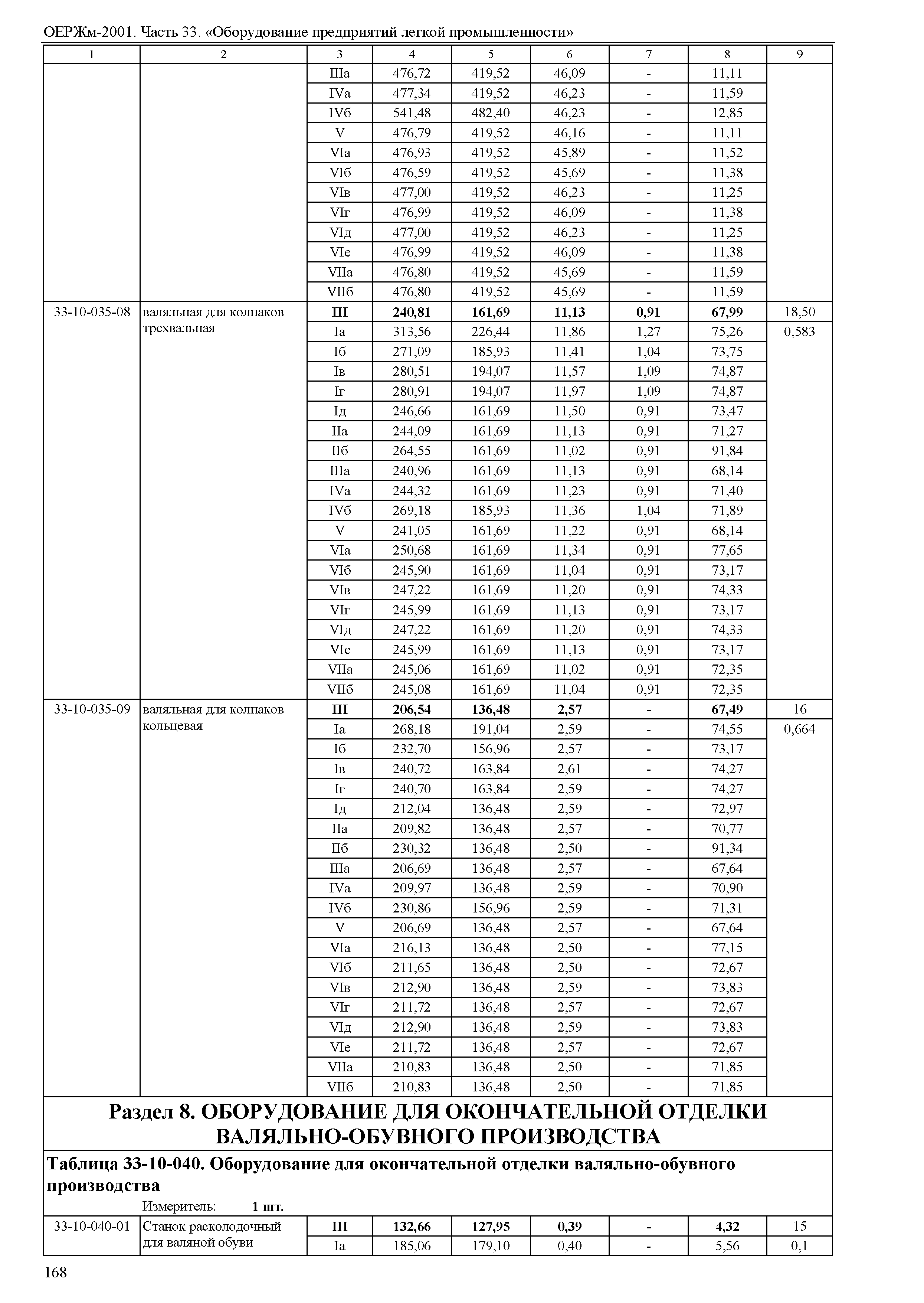
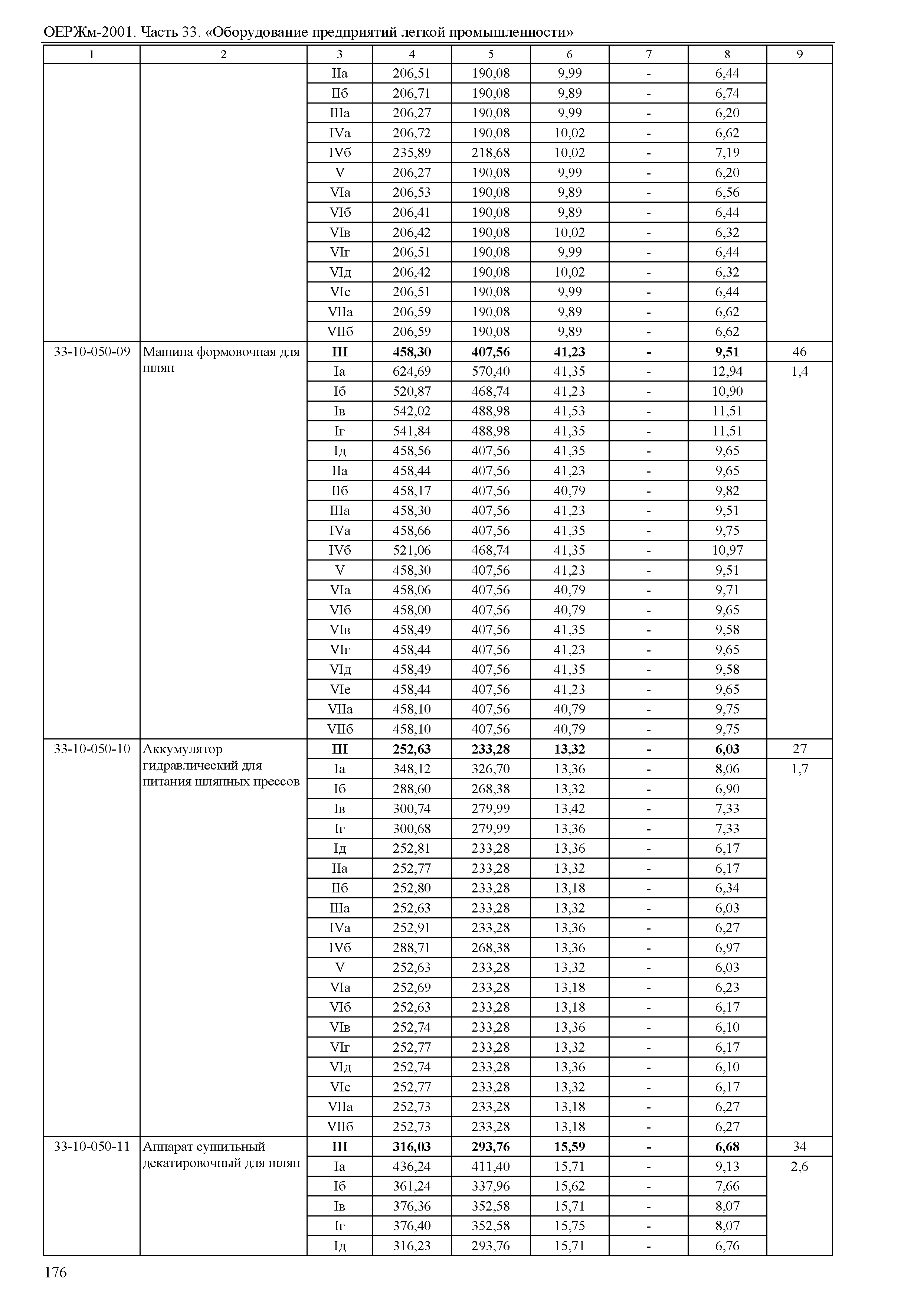
| Оглавление: | Отдел 01. Оборудование дубильно-экстрактовой промышленности Раздел 1. Оборудование для измельчения дубовой древесины и корья Раздел 2. Оборудование диффузионное Раздел 3. Оборудование для подогревания, выпаривания соков и сушения экстрактов Раздел 4. Оборудование прессовое Отдел 02. Оборудование для производства каблуков, колодок, метизов и фурнитуры Раздел 1. Оборудование для производства деревянных каблуков и колодок Раздел 2. Оборудование метизное Раздел 3. Оборудование для производства пластмассовых каблуков и колодок Отдел 03. Оборудование для производства вспомогательных деталей Раздел 1. Оборудование для производства шпуль, катушек, челноков Раздел 2. Оборудование для производства игольчатых деталей Раздел 3. Оборудование для производства бумажных изделий Раздел 4. Оборудование для производства ремиз и берд Раздел 5. Оборудование для производства планочных деталей Раздел 6. Оборудование для производства технических изделий из кожи и заменителей кожи Отдел 04. Оборудование трикотажной промышленности Раздел 1. Вязальное оборудование Раздел 2. Красильное и отделочное оборудование Отдел 05. Оборудование для текстильно-галантерейной промышленности Раздел 1. Приготовительное оборудование Раздел 2. Лентоткацкое оборудование Раздел 3. Плетельное оборудование Раздел 4. Гардинно-тюлевое, кружевное и вышивальное оборудование Раздел 5. Оборудование для крашения, отделки и уборки Отдел 06. Оборудование швейных и швейно-трикотажных предприятий и производств Раздел 1. Оборудование экспериментальных цехов и подготовительно-раскройного производства Раздел 2. Швейное оборудование Раздел 3. Оборудование влажно-тепловой обработки Раздел 4. Конвейеры Раздел 5. Оборудование разное Отдел 07. Оборудование шорно-седельного производства Отдел 08. Оборудование щетинно-щеточной промышленности Раздел 1. Оборудование подготовительное Раздел 2. Оборудование для приготовления зубных щеток Раздел 3. Оборудование для производства разных щеток Раздел 4. Оборудование разное Отдел 09. Оборудование для производства пряжи «Эластик» Раздел 1. Крутильное оборудование Отдел 10. Оборудование валяльно-войлочной промышленности Раздел 1. Оборудование предварительно-чесального производства валяной обуви. войлоков и шерстяных шляп Раздел 2. Оборудование пухового производства Раздел 3. Оборудование основоуплотняющего валяльно-обувного производства Раздел 4. Оборудование основоуплотняющего фетрового производства Раздел 5. Оборудование валяльно-посадочного обувного производства Раздел 6. Оборудование валяльно-войлочного производства Раздел 7. Оборудование валяльно-формовочного фетрового производства Раздел 8. Оборудование для окончательной отделки валяльно-обувного производства Раздел 9. Оборудование для окончательной отделки фетрового производства Раздел 10. Оборудование для отделки головных уборов Отдел 11. Оборудование по переработке вторичного сырья Раздел 1. Оборудование для стирки Раздел 2. Оборудование сушильное Раздел 3. Оборудование для прессования Раздел 4. Оборудование дезинфекционное Раздел 5. Оборудование для обеспыливания Раздел 6. Оборудование разное |
| Разработан: | ОАО РЖД НО Национальная ассоциация стоимостного инжиниринга |
| Утверждён: | 31.01.2011 ОАО РЖД (178р) |


























































































































































































