Скачать ОЕРЖм 81-03-39-2001 Часть 39. Контроль монтажных сварных соединений. Книга 2 (Уральский, Западно-Сибирский, Восточно-Сибирский, Дальневосточный территориальные районы)Дата актуализации: 01.01.2021
|
| Обозначение: | ОЕРЖм 81-03-39-2001 |
| Обозначение англ: | 81-03-39-2001 |
| Статус: | действует |
| Название рус.: | Часть 39. Контроль монтажных сварных соединений. Книга 2 (Уральский, Западно-Сибирский, Восточно-Сибирский, Дальневосточный территориальные районы) |
| Дата добавления в базу: | 12.02.2016 |
| Дата актуализации: | 01.01.2021 |
| Дата введения: | 01.06.2011 |
| Область применения: | Отраслевые единичные расценки на монтаж оборудования предназначены для определения затрат при выполнении монтажных работ и составления на их основе сметных расчетов (смет) на производство указанных работ |
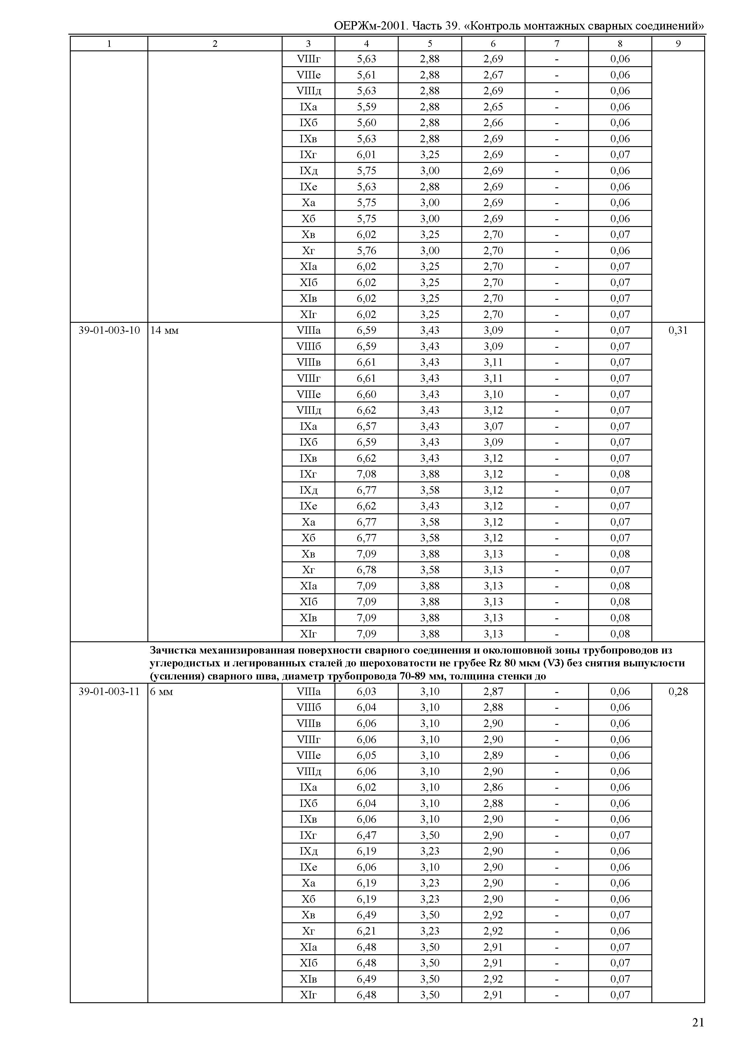
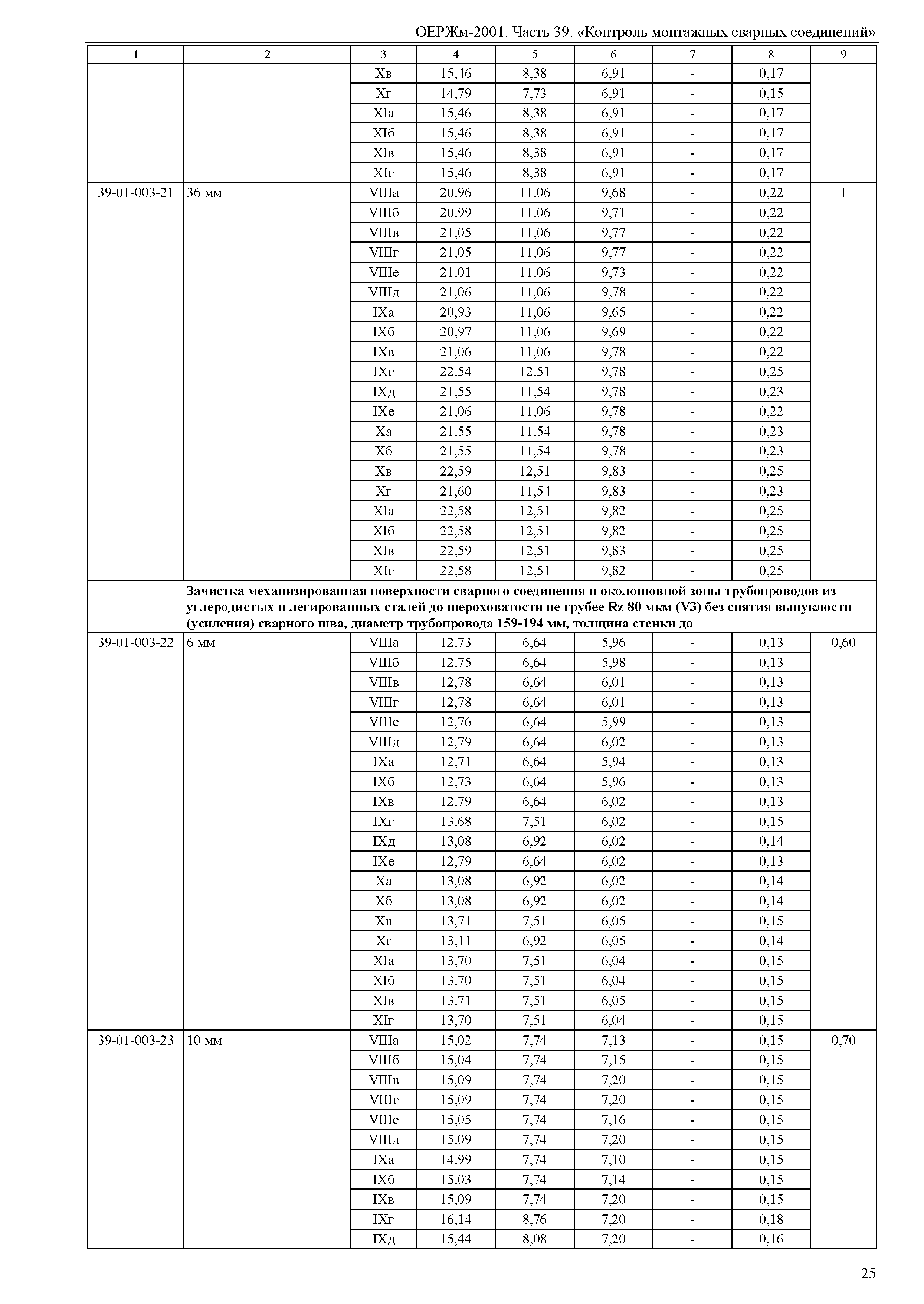
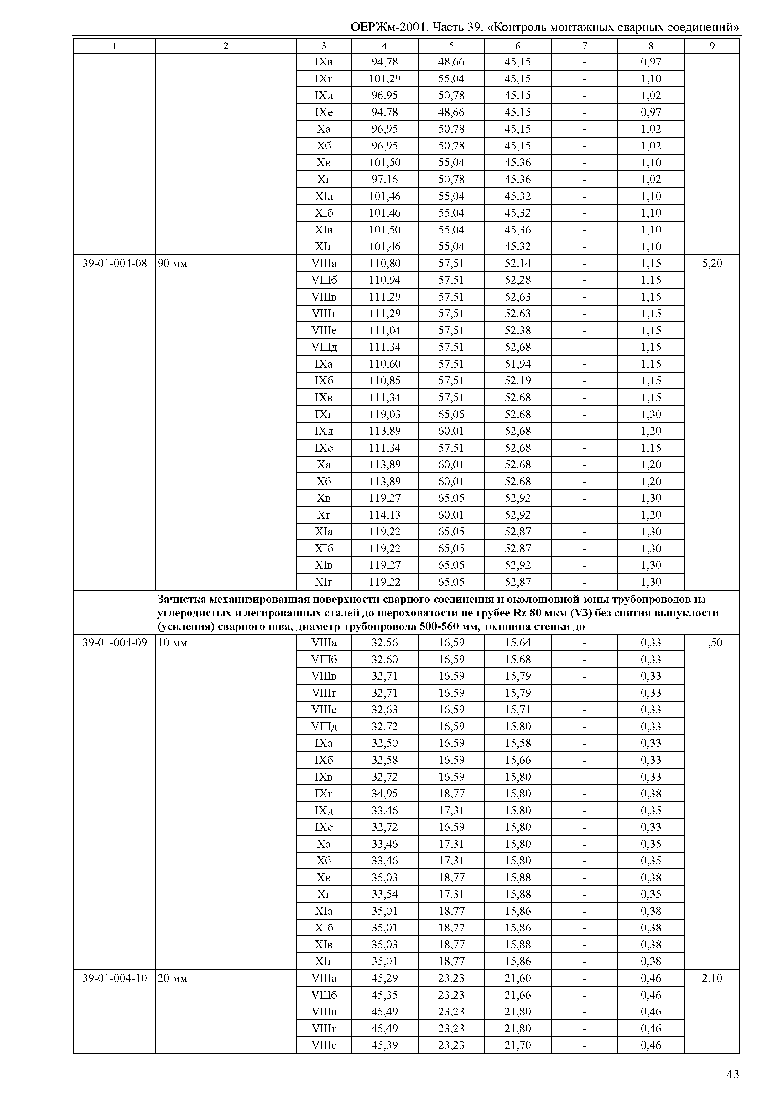
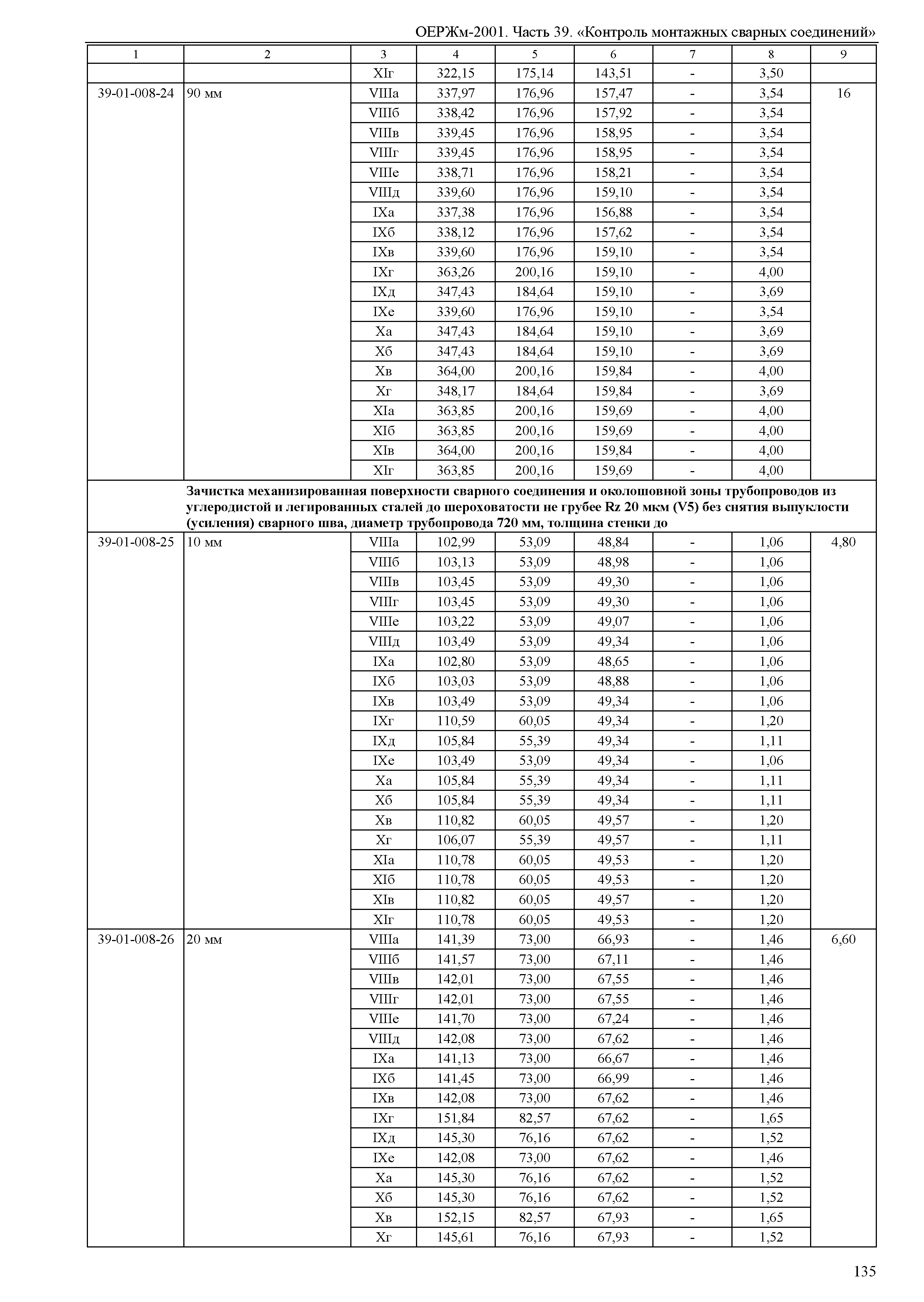
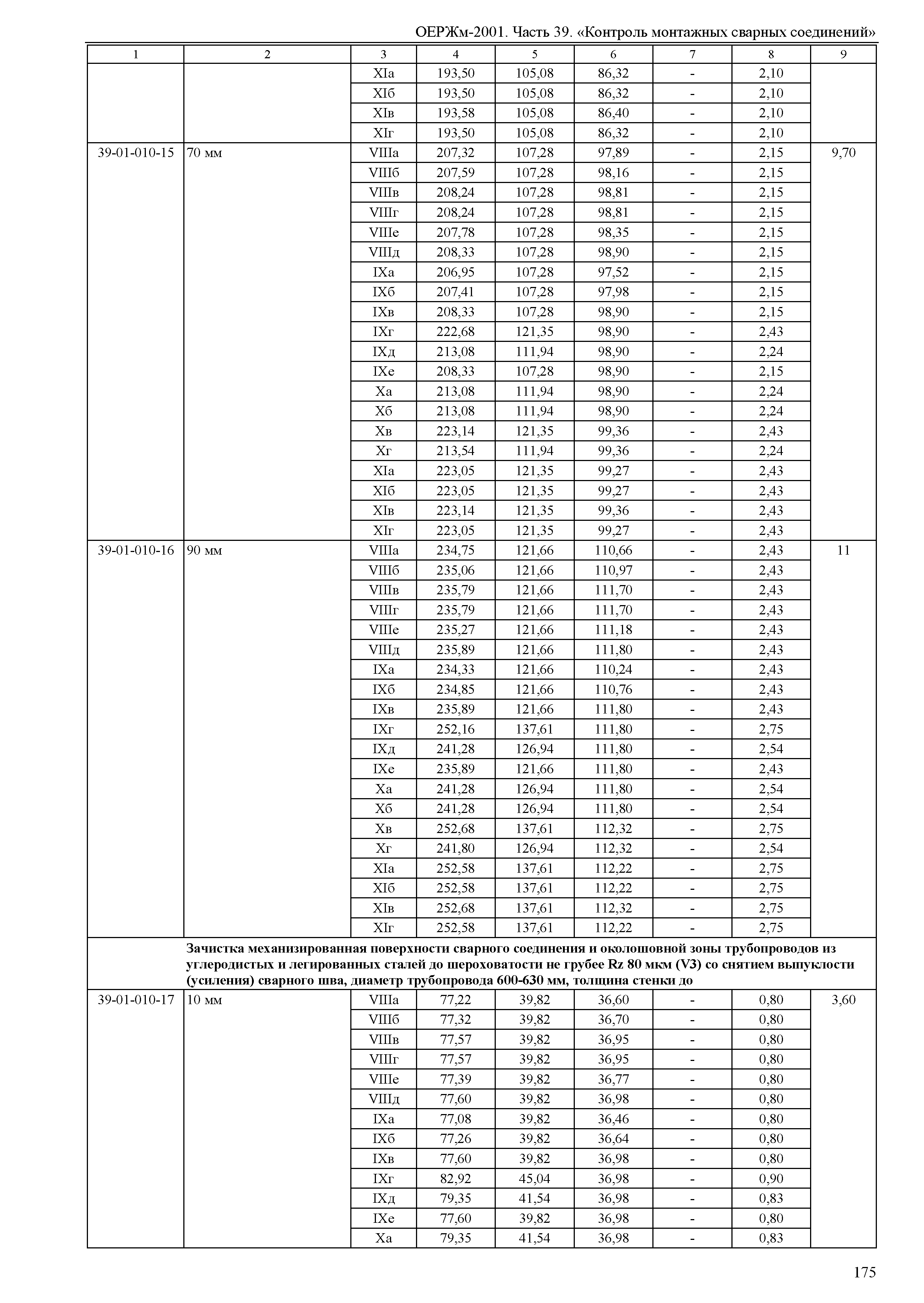
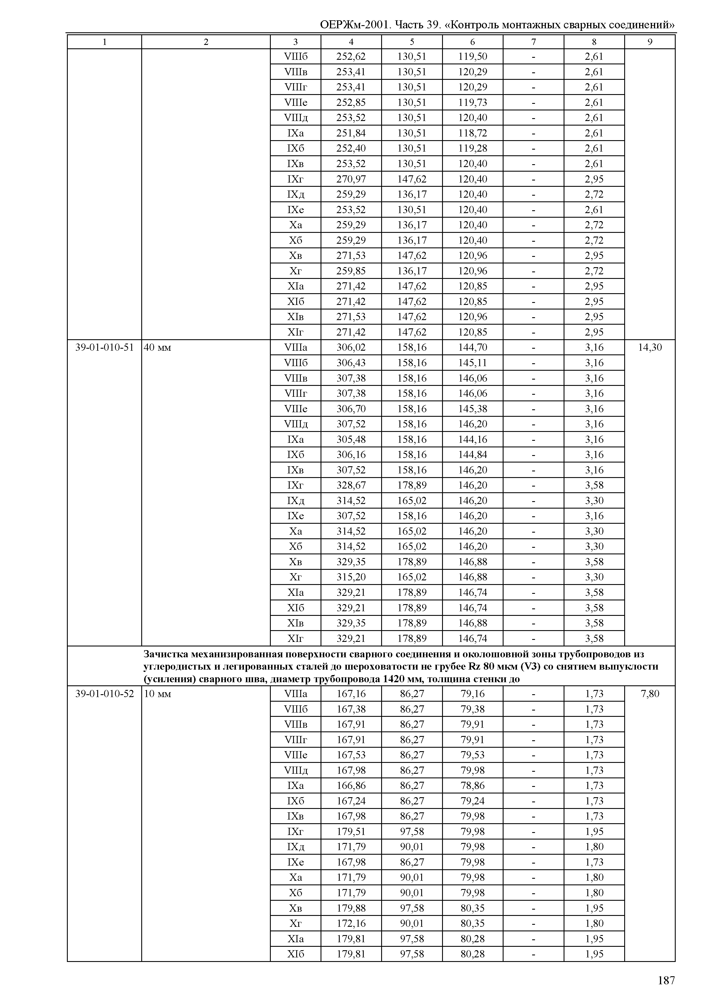
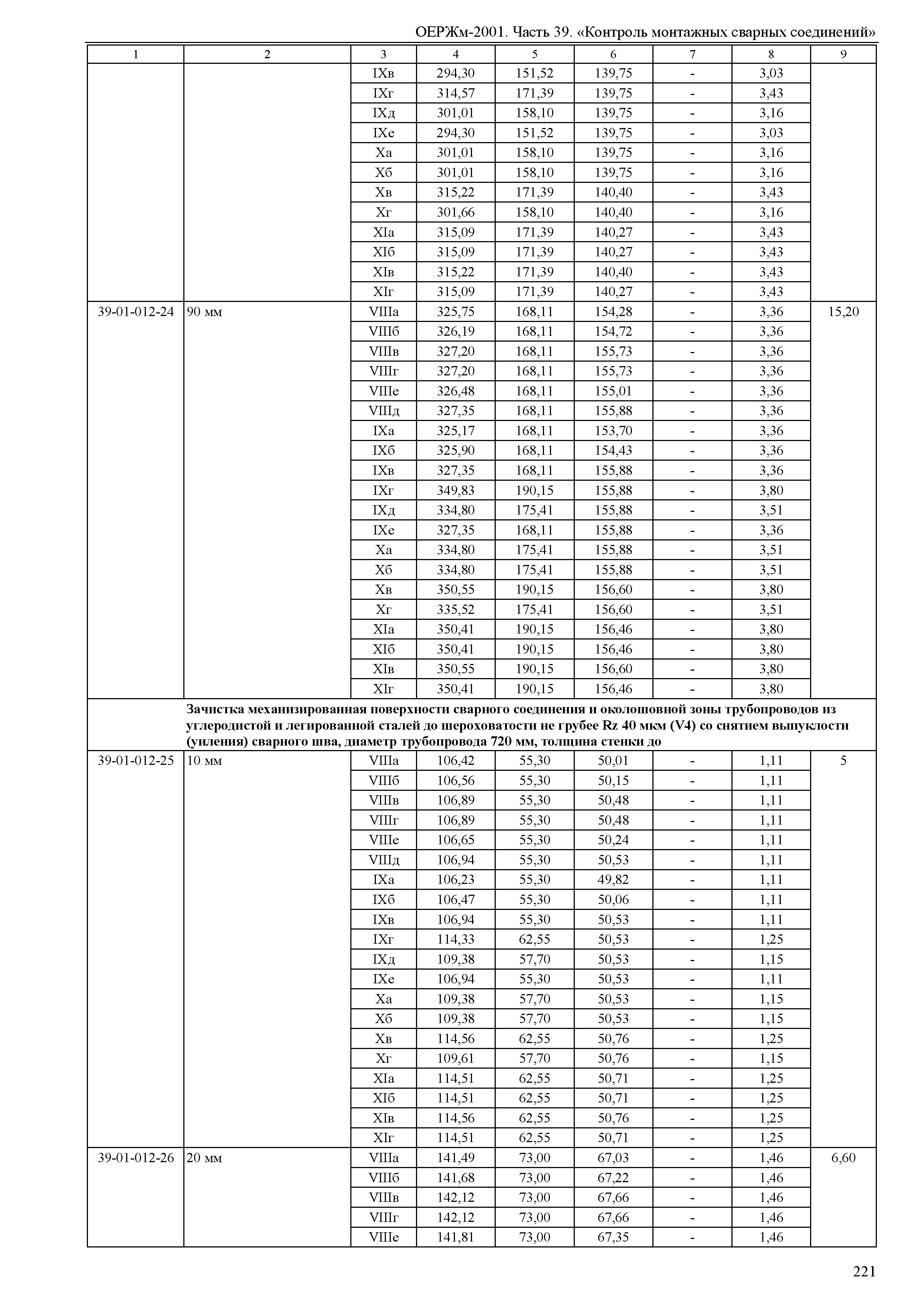
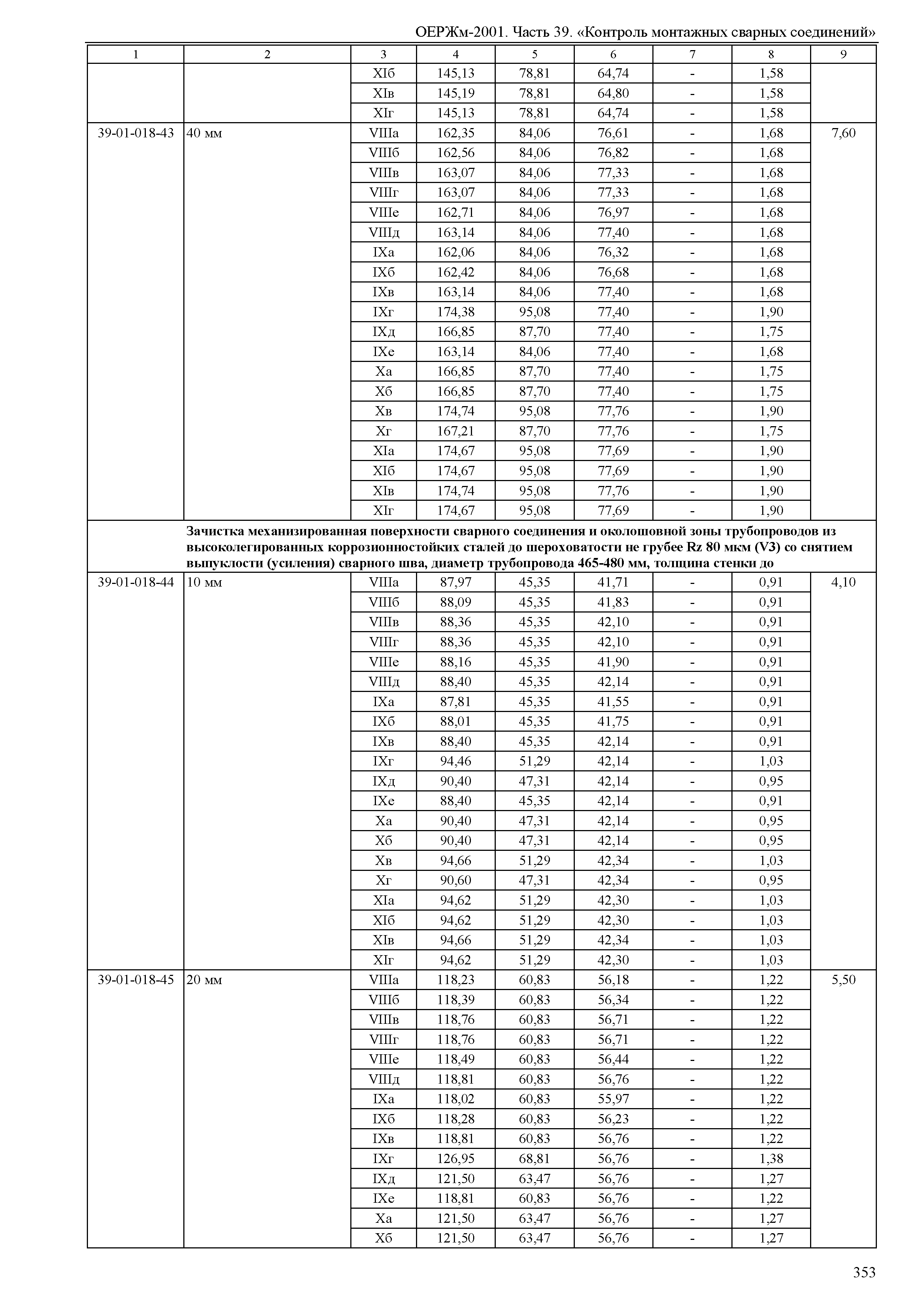
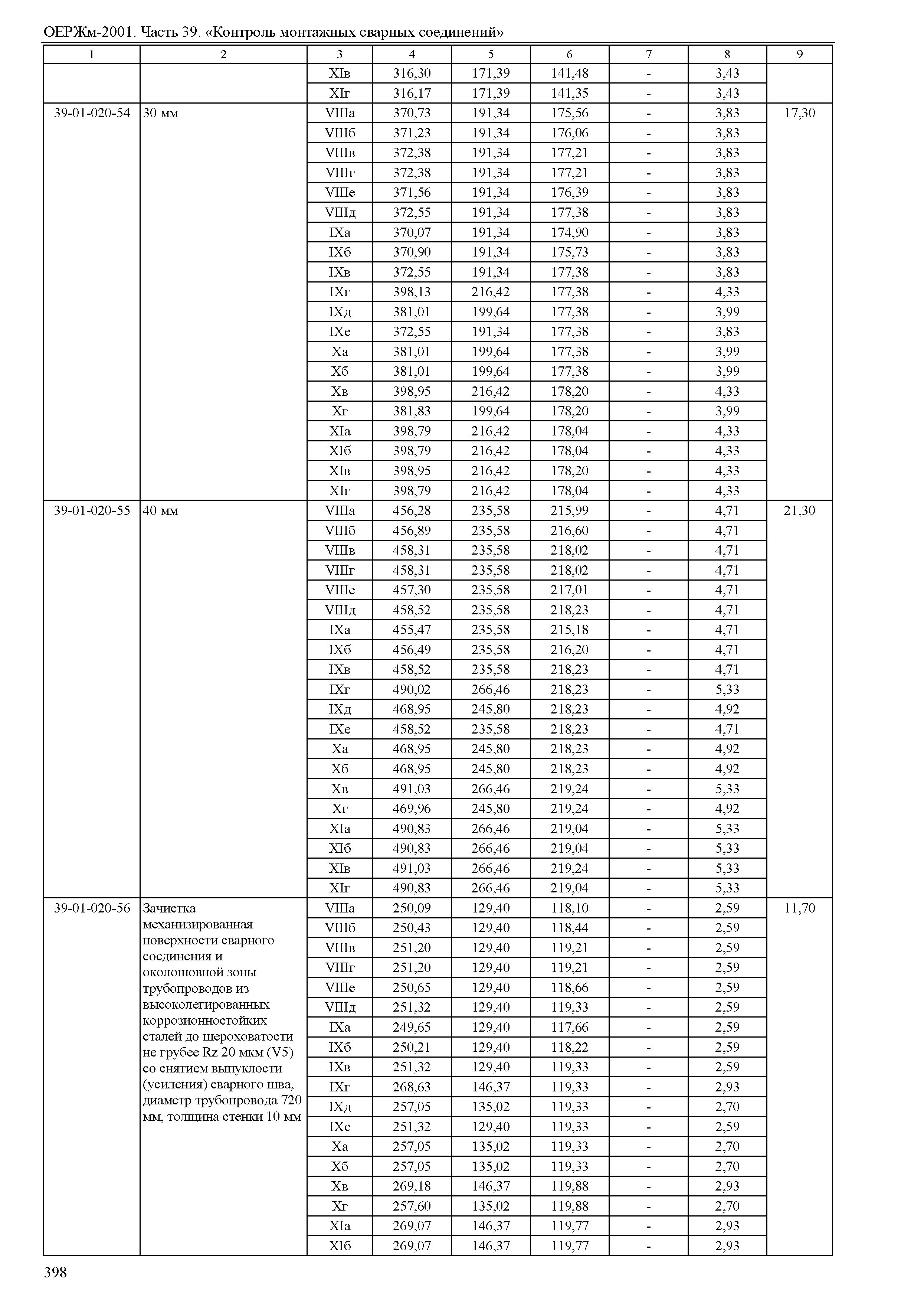
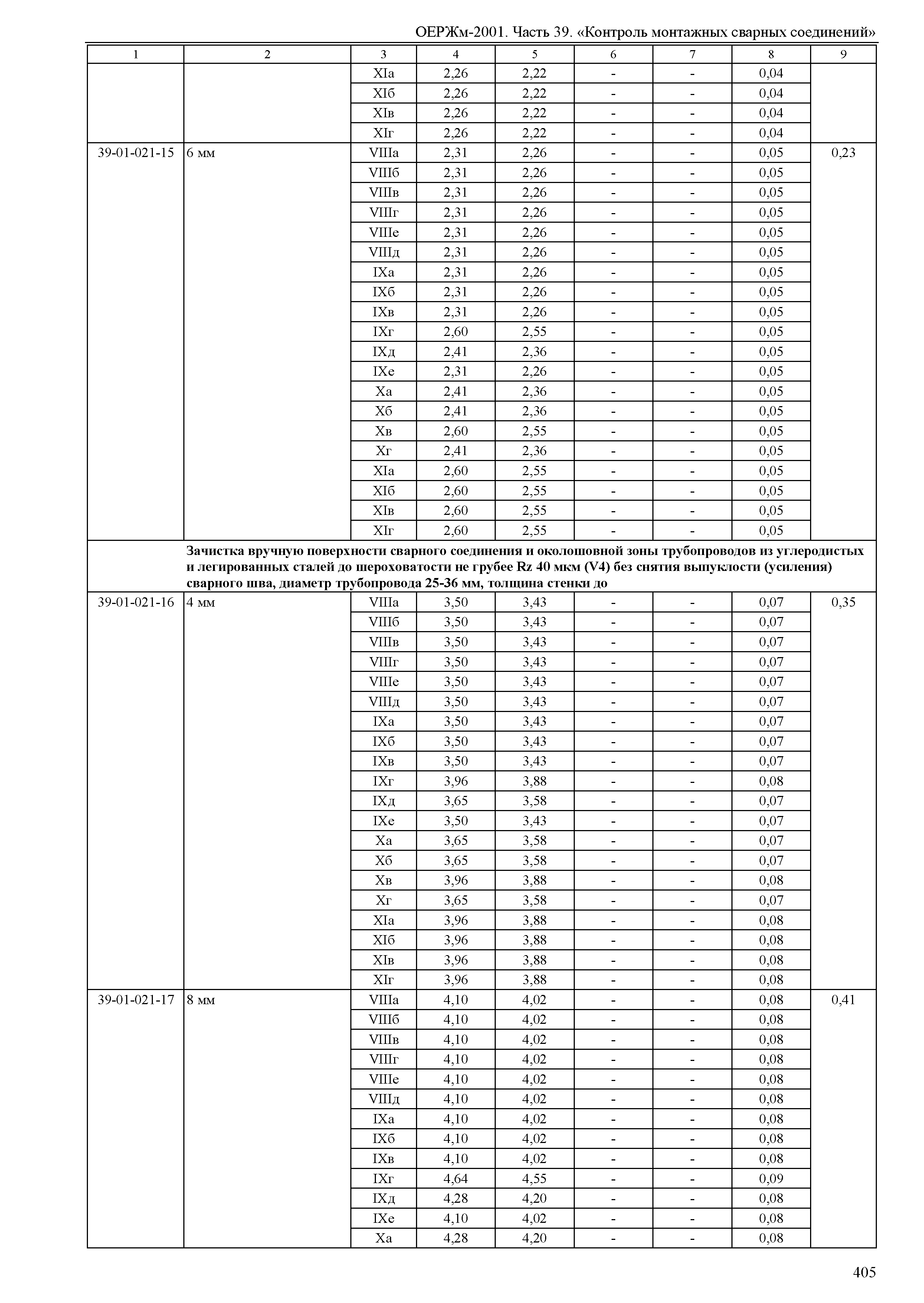
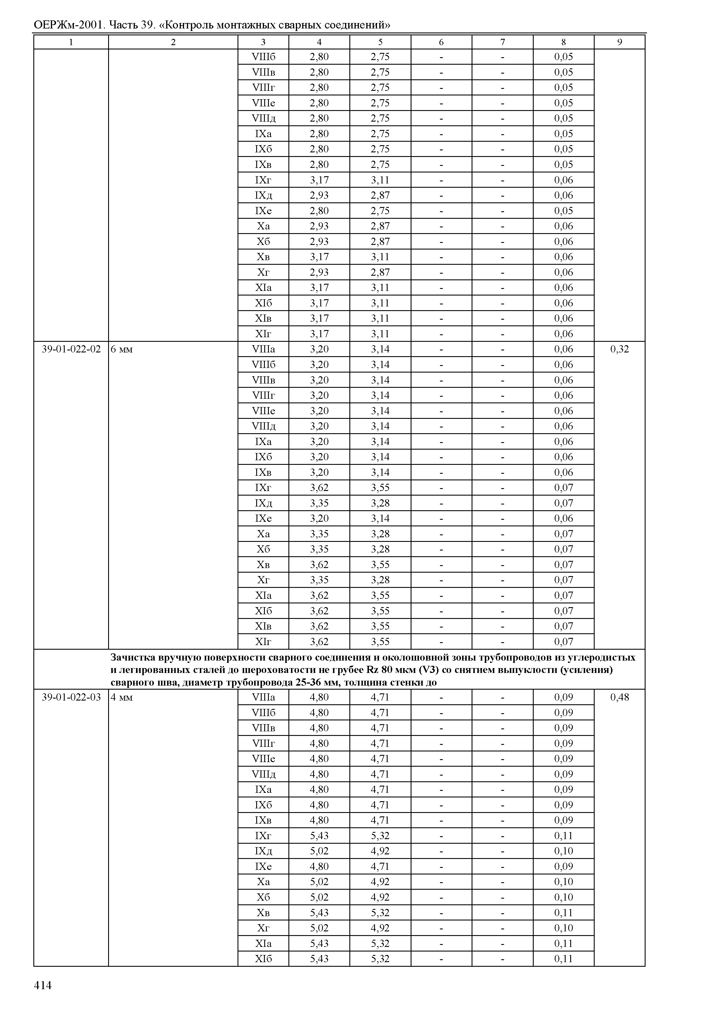
| Оглавление: | Часть 39. Контроль монтажных сварных соединений Отдел 01. Подготовка к контролю поверхности монтажных сварных соединений и околошовной зоны Отдел 02. Контроль монтажных сварных соединений неразрушающими методами Отдел 03. Контроль монтажных сварных соединений разрушающими методами Отдел 04. Изготовление образцов для испытания монтажных сварных соединений Отдел 05. Предварительный контроль Отдел 06. Операционный контроль |
| Разработан: | ОАО РЖД НО Национальная ассоциация стоимостного инжиниринга |
| Утверждён: | 31.01.2011 ОАО РЖД (178р) |









































































































































































































































































































































































































































































































































































































































































