Скачать Перечень объектов и технологий, которые относятся к объектам и технологиям высокой энергетической эффективности

Дата актуализации: 01.01.2021

Перечень объектов и технологий, которые относятся к объектам и технологиям высокой энергетической эффективности

Статус:действует
Название рус.:Перечень объектов и технологий, которые относятся к объектам и технологиям высокой энергетической эффективности
Дата добавления в базу:12.02.2016
Дата актуализации:01.01.2021
Дата введения:30.06.2015
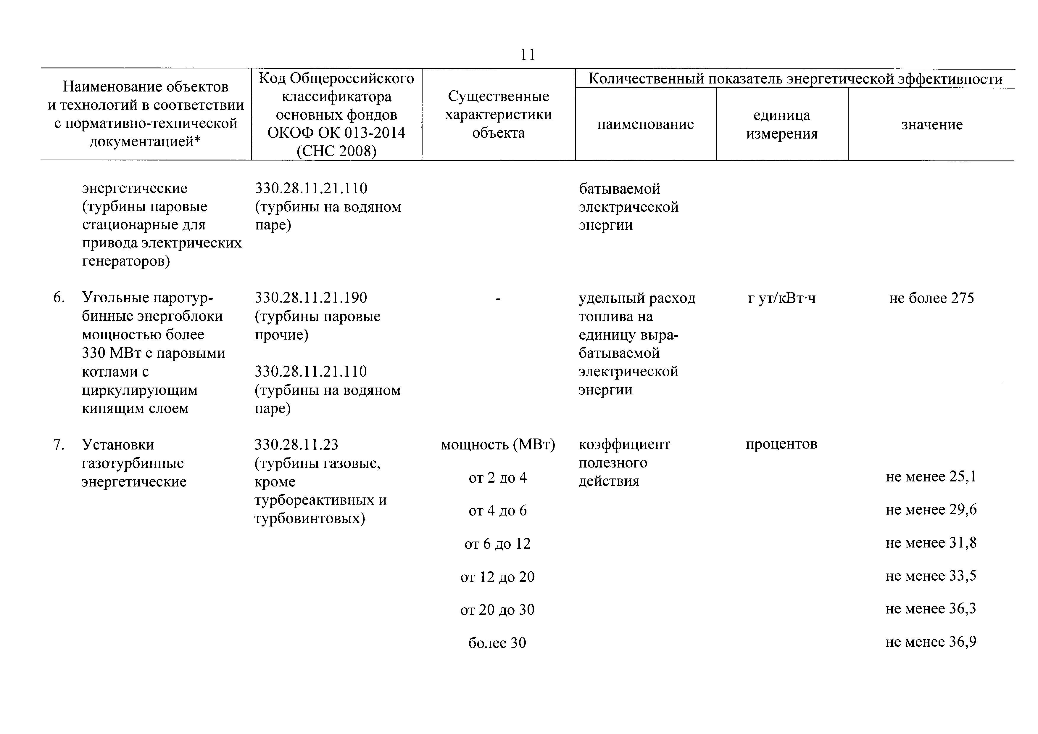
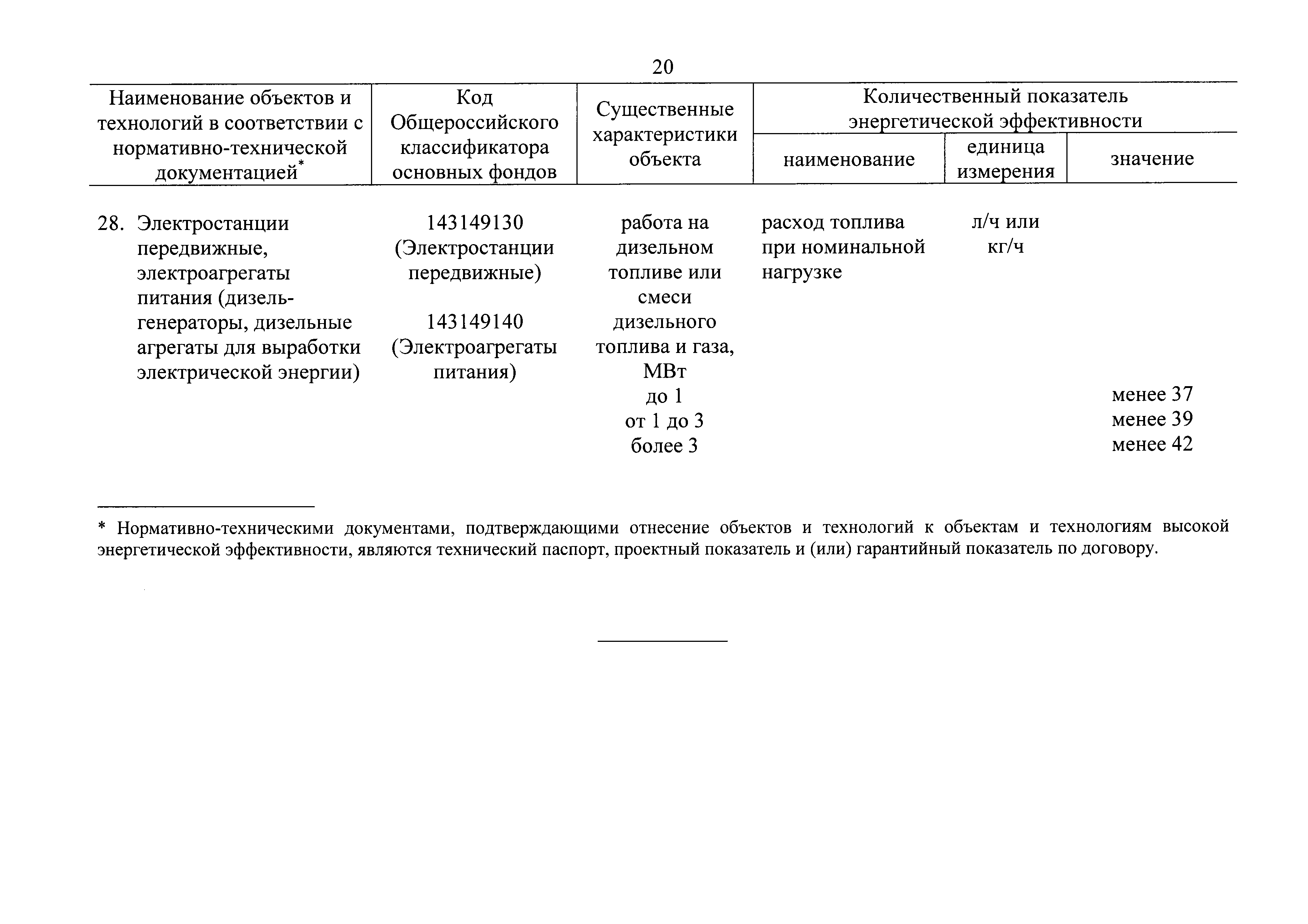
Оглавление:I. Объекты и технологии, которые относятся к объектам и технологиям высокой энергетической эффективности в зависимости от применяемых технологий и технических решений и вне зависимости от характеристики объектов
II. Объекты и технологии, которые относятся к объектам и технологиям высокой энергетической эффективности, на основании соответствия объектов установленным значениям индикатора энергетической эффективности
Утверждён:17.06.2015 Правительство Российской Федерации (600)
Издан: Официальный интернет-портал правовой информации (www.pravo.gov.ru) (от 22.06.2015 г. Номер опубликования: 0001201506220009)
Список изменений:
  • № 1 от 06.09.2017 ("Официальный интернет-портал правовой информации" (Дата опубликования: 29.08.2017. Номер опубликования: 0001201708290020)
  • № 2 от 02.02.2019 ("Официальный интернет-портал правовой информации" (Дата опубликования: 25.01.2019. Номер опубликования: 0001201901250013)
Нормативные ссылки:

Текстовое изменение № 1 от 06.09.2017

№ 1№ 1№ 1№ 1№ 1№ 1№ 1№ 1№ 1№ 1№ 1№ 1№ 1№ 1№ 1№ 1№ 1№ 1№ 1№ 1№ 1№ 1№ 1

Текстовое изменение № 2 от 02.02.2019

№ 2№ 2№ 2