Скачать ГОСТ Р 56453-2015 Телевидение вещательное цифровое. Структура и модуляция опциональных сигнатур передатчиков (Т2-TX-SIG) системы цифрового телевизионного вещания второго поколения (DVB-T2). Основные параметрыДата актуализации: 01.01.2021
|
| Обозначение: | ГОСТ Р 56453-2015 |
| Обозначение англ: | GOST R 56453-2015 |
| Статус: | введен впервые |
| Название рус.: | Телевидение вещательное цифровое. Структура и модуляция опциональных сигнатур передатчиков (Т2-TX-SIG) системы цифрового телевизионного вещания второго поколения (DVB-T2). Основные параметры |
| Название англ.: | Digital video broadcasting. Structure and modulation of optional transmitter signatures (T2-TX-SIG) for a second generation digital terrestrial television broadcasting system (DVB-T2). Basic parameters |
| Дата добавления в базу: | 12.02.2016 |
| Дата актуализации: | 01.01.2021 |
| Дата введения: | 01.09.2015 |
| Область применения: | Стандарт распространяется опциональные сигнатуры передатчиков (T2-TX-SIG) для системы цифрового телевизионного вещания второго поколения (DVB-T2). Стандарт устанавливает основные параметры опциональных сигнатур передатчиков (T2-TX-SIG) при их работе преимущественно в составе одночастотных сетей DVB-T2 для целей оперативного обслуживания, мониторинга и поиска неисправностей в данных сетях. Требования стандарта следует учитывать при разработке, изготовлении и эксплуатации оборудования DVB-T2. |
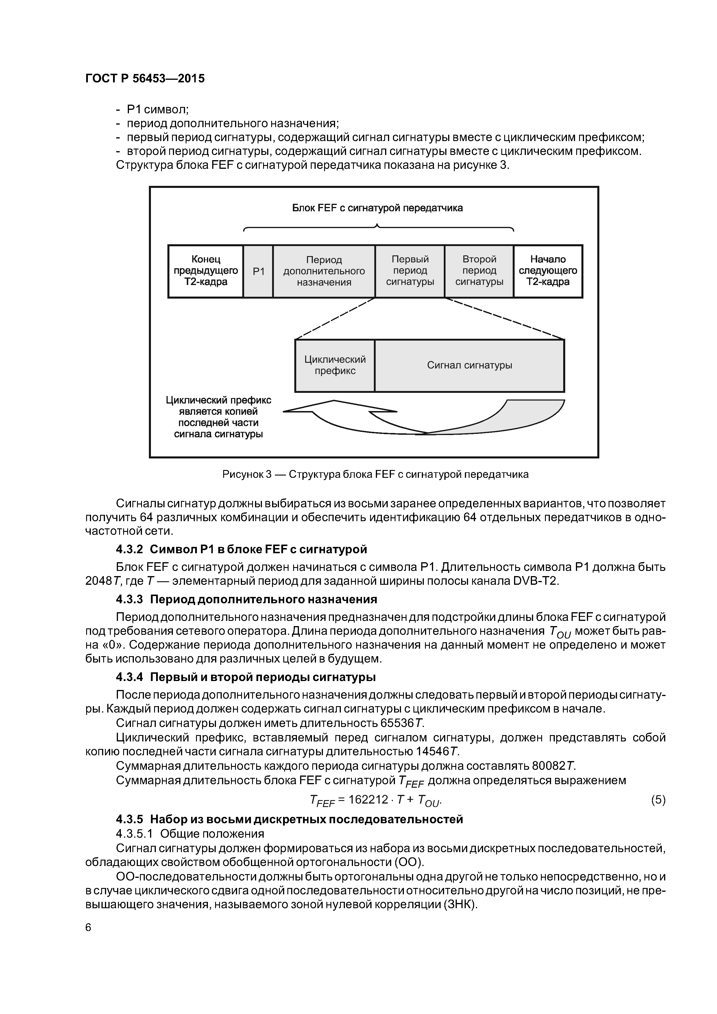
| Оглавление: | 1 Область применения 2 Нормативные ссылки 3 Термины, определения и сокращения 4 Основные параметры 4.1 Общие положения 4.2 Сигнатура передатчика в дополнительном потоке 4.3 Сигнатура передатчика в блоках FEF |
| Разработан: | Филиал ФГУП НИИР - СОНИИР |
| Утверждён: | 15.06.2015 Федеральное агентство по техническому регулированию и метрологии (674-ст) |
| Издан: | Стандартинформ (2015 г. ) |
| Нормативные ссылки: |
|













