Скачать ГОСТ Р ИСО 16809-2015 Контроль неразрушающий. Контроль ультразвуковой. Измерение толщиныДата актуализации: 01.01.2021
|
| Обозначение: | ГОСТ Р ИСО 16809-2015 |
| Обозначение англ: | GOST R ISO 16809-2015 |
| Статус: | введен впервые |
| Название рус.: | Контроль неразрушающий. Контроль ультразвуковой. Измерение толщины |
| Название англ.: | Non-destructive testing. Ultrasonic testing. Thickness measurement |
| Дата добавления в базу: | 12.02.2016 |
| Дата актуализации: | 01.01.2021 |
| Дата введения: | 01.03.2016 |
| Область применения: | Стандарт устанавливает принципы ультразвукового измерения толщины металлических и неметаллических материалов на основе измерения времени прохождения ультразвуковых импульсов. |
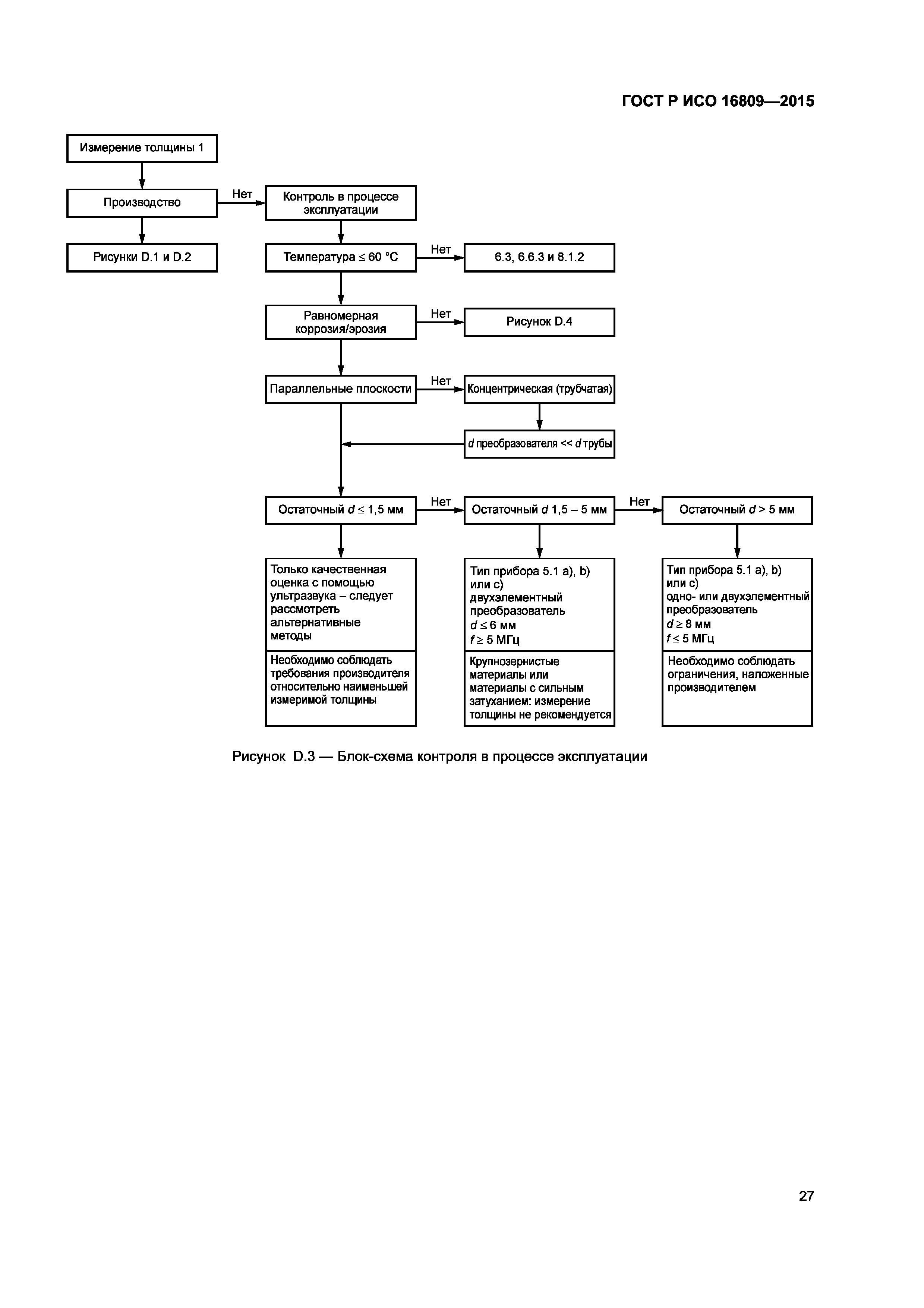
| Оглавление: | 1 Область применения 2 Нормативные ссылки 3 Термины и определения 4 Режимы измерения 5 Общие требования 5.1 Приборы 5.2 Преобразователи 5.3 Контактная среда 5.4 Настроечные образцы 5.5 Испытуемые объекты 5.6 Квалификация персонала 6 Применение метода 6.1 Подготовка поверхности 6.2 Метод 6.3 Выбор преобразователя 6.4 Выбор прибора 6.5 Материалы, отличные от настроечных образцов 6.6 Особые условия измерений 7 Настройка приборов 7.1 Общие положения 7.2 Методы 7.3 Проверка параметров настройки 8 Факторы, влияющие на точность 8.1 Рабочие условия 8.2 Оборудование 8.3 Оценка точности 9 Влияние материалов 9.1 Общие положения 9.2 Неоднородность 9.3 Анизотропия 9.4 Затухание 9.5 Состояние поверхности 10 Протокол контроля 10.1 Общие положения 10.2 Общая информация 10.3 Данные контроля Приложение А (справочное) Коррозия в резервуарах и трубопроводах Приложение В (справочное) Настройка приборов Приложение С (справочное) Параметры, влияющие на точность Приложение D (справочное) Выбор метода измерения Приложение ДА (справочное) Сведения о соответствии ссылочных международных стандартов национальным стандартам Российской Федерации Библиография |
| Разработан: | ФГУП ВНИИОФИ |
| Утверждён: | 04.06.2015 Федеральное агентство по техническому регулированию и метрологии (555-ст) |
| Издан: | Стандартинформ (2015 г. ) |
| Нормативные ссылки: |



































