Скачать ГОСТ Р 56410-2015 Глобальная навигационная спутниковая система. Методы и технологии выполнения геодезических работ. Общие требования к центрам точных эфемеридДата актуализации: 01.01.2021
|
| Обозначение: | ГОСТ Р 56410-2015 |
| Обозначение англ: | GOST R 56410-2015 |
| Статус: | введен впервые |
| Название рус.: | Глобальная навигационная спутниковая система. Методы и технологии выполнения геодезических работ. Общие требования к центрам точных эфемерид |
| Название англ.: | Global navigation satellite system. Methods and technologies of geodetic works. General requirements for precise ephemeris centers |
| Дата добавления в базу: | 12.02.2016 |
| Дата актуализации: | 01.01.2021 |
| Дата введения: | 01.01.2016 |
| Область применения: | Стандарт распространяется на методы и технологии выполнения геодезических работ с использованием глобальных навигационных спутниковых систем и устанавливает общие требования к центрам точных эфемерид. |
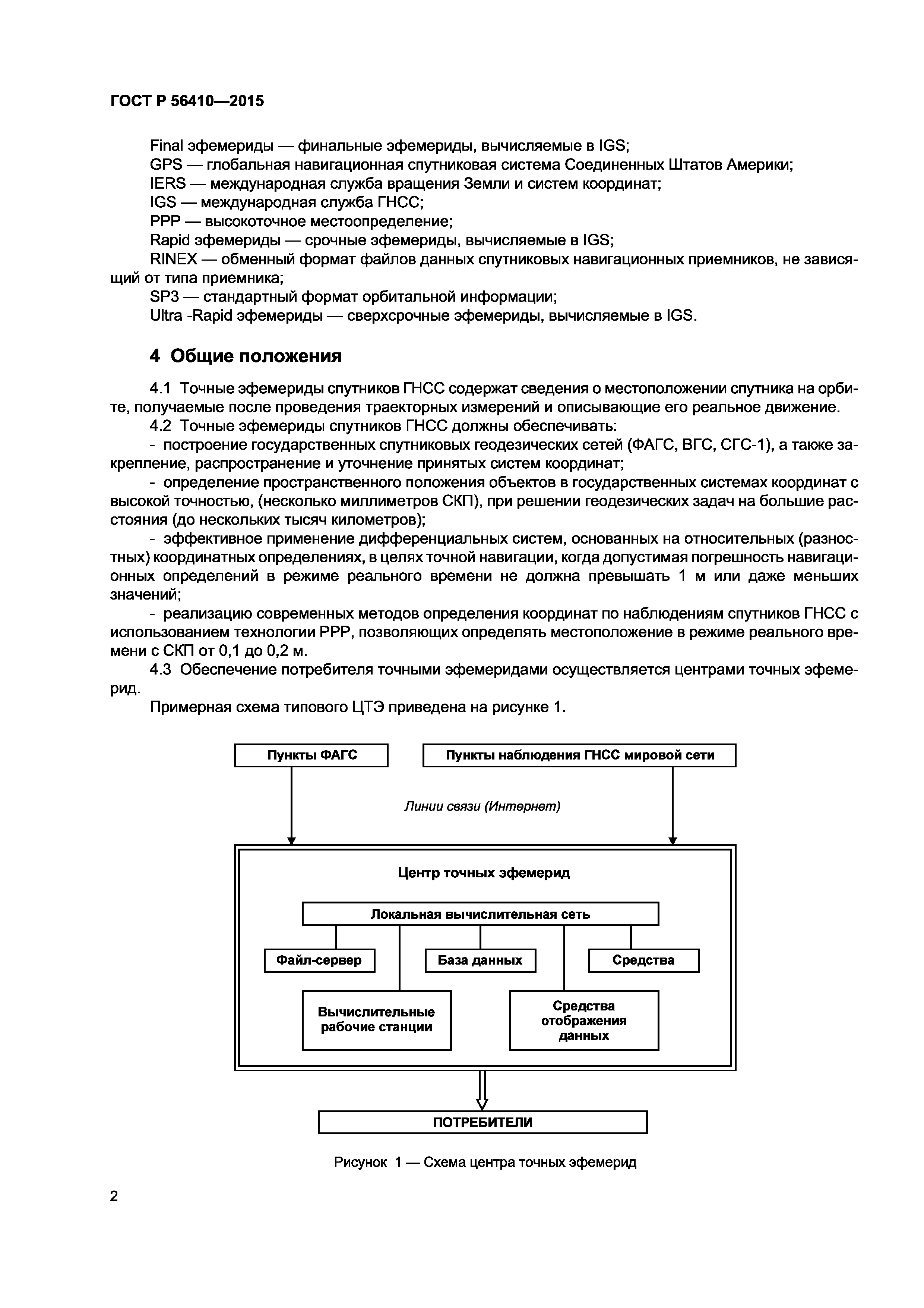
| Оглавление: | 1 Область применения 2 Нормативные ссылки 3 Термины, обозначения и сокращения 4 Общие положения 5 Требования назначения 6 Требования к аппаратно-программному обеспечению 7 Требования к выходным данным Библиография |
| Разработан: | АО НТЦ Интернавигация |
| Утверждён: | 28.05.2015 Федеральное агентство по техническому регулированию и метрологии (456-ст) |
| Издан: | Стандартинформ (2015 г. ) |
| Нормативные ссылки: |







