Скачать Методические рекомендации по проектированию и строительству сборных дорожных покрытийДата актуализации: 01.01.2021 |
| Статус: | справочные материалы, мп, тпр |
| Название рус.: | Методические рекомендации по проектированию и строительству сборных дорожных покрытий |
| Дата добавления в базу: | 12.02.2016 |
| Дата актуализации: | 01.01.2021 |
| Область применения: | В документе излагаются результаты экспериментальных и теоретических работ Союздорнии по расчету, проектированию и испытанию сборных покрытий |
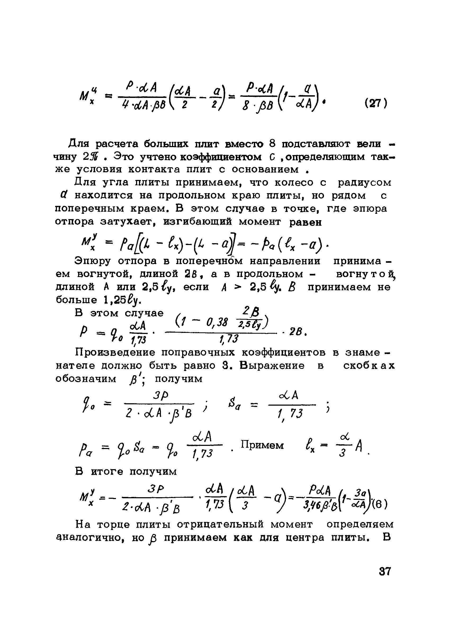
| Оглавление: | Предисловие Общие положения Материалы, применяемые для строительства сборного покрытия Конструирование и расчет сборных дорожных покрытий Конструкция основания под сборное покрытие Технология изготовления плит Технология строительства сборных покрытий Правила приемки плит и покрытия Приложение 1. Методика расчета и пример Приложение 2. Требования ГОСТ 13015-67 "Изделия железобетонные и бетонные. Общие технические требования к плитам сборных дорожных покрытий" Приложение 3. Метод определения прочности плиты на стенде |
| Разработан: | СоюздорНИИ |
| Утверждён: | 20.06.1973 Союздорнии (Soyuzdornii ) |
| Принят: | Минтрансстрой СССР (USSR Mintransstroy ) |
| Издан: | Союздорнии (1973 г. ) |
| Нормативные ссылки: |
|





















































