Скачать ГОСТ 33006.2-2014 Нефтяная и газовая промышленность. Оборудование для роторного бурения. Часть 2. Контроль и классификация применяемых элементов бурового инструмента. Общие технические требования и методы контроляДата актуализации: 01.01.2021
|
| Обозначение: | ГОСТ 33006.2-2014 |
| Обозначение англ: | GOST 33006.2-2014 |
| Статус: | введен впервые |
| Название рус.: | Нефтяная и газовая промышленность. Оборудование для роторного бурения. Часть 2. Контроль и классификация применяемых элементов бурового инструмента. Общие технические требования и методы контроля |
| Название англ.: | Petroleum and natural gas industries. Rotary drilling equipment. Part 2. Inspection and classification of used drill stem elements. General technical requirements and control methods |
| Дата добавления в базу: | 01.02.2017 |
| Дата актуализации: | 01.01.2021 |
| Дата введения: | 01.01.2016 |
| Область применения: | Стандарт устанавливает требования по контролю для каждого уровня проверок и процедуры для контроля и испытаний элементов бурильной колонны, бывших в эксплуатации. В соответствии с настоящим стандартом бурильная колонна включает следующие элементы: тело бурильной трубы, резьбовое упорное соединение, утяжеленную и толстостенную бурильные трубы, переводники бурильной колонны. Кроме приведенных выше элементов в компоновку низа бурильной колонны (КНБК) могут включаться калибраторы, центраторы, стабилизаторы, расширители, промежуточные опоры для УБТ, обратные клапаны, фильтры, шламометаллоуловители, амортизаторы, протекторные кольца, средства наклонно-направленного бурения, керноприемные устройства и другое специальное оборудование/ |
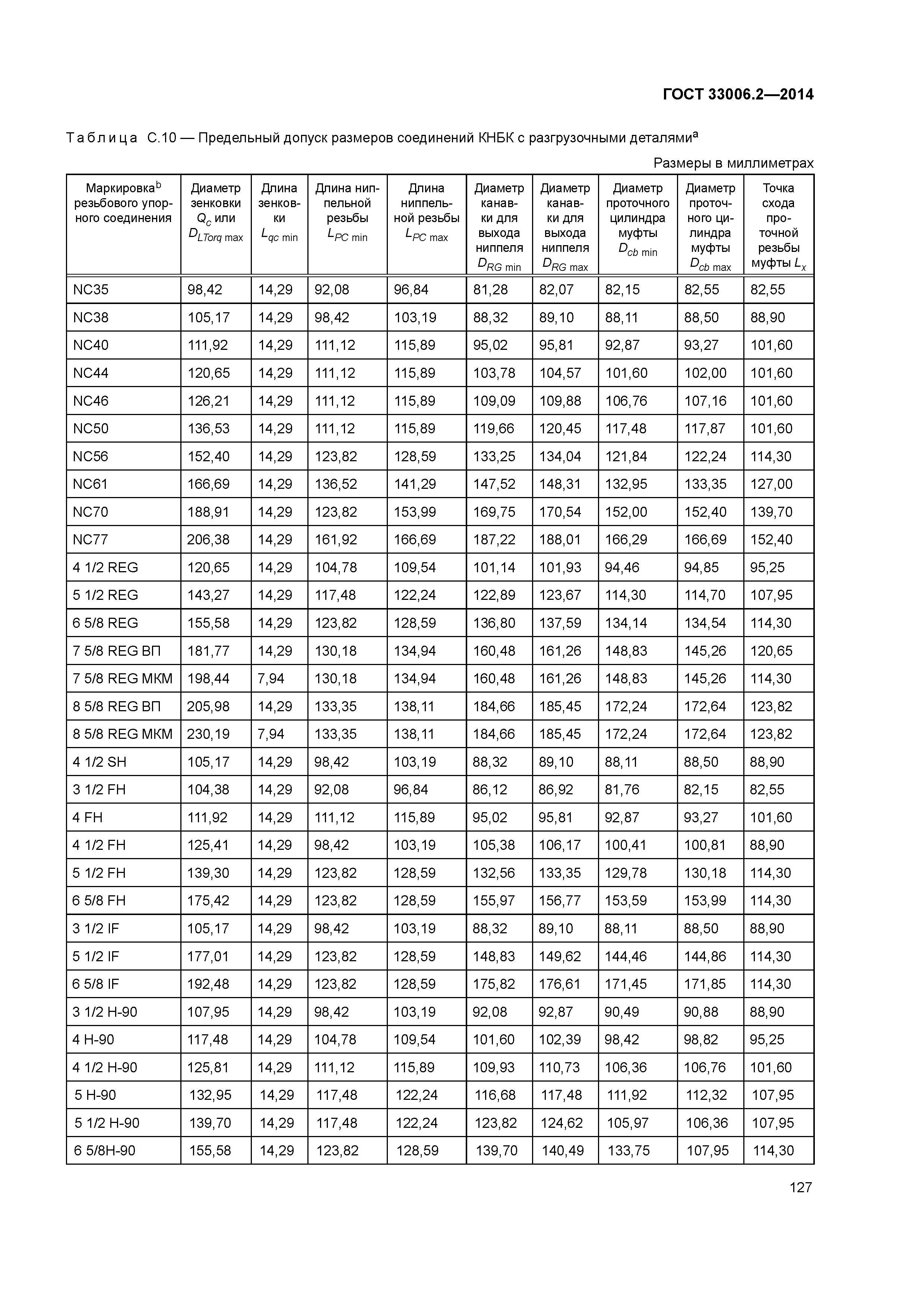
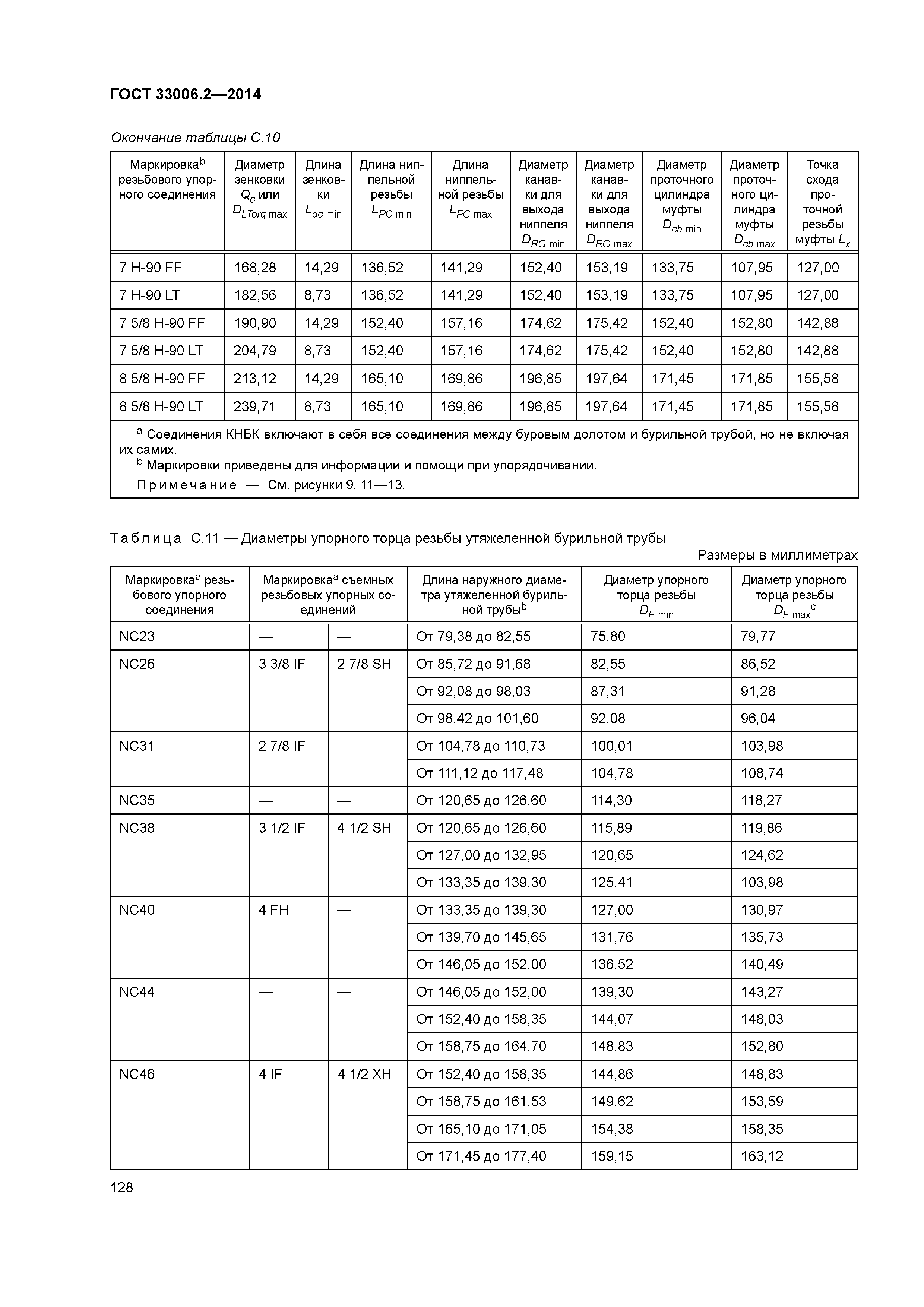
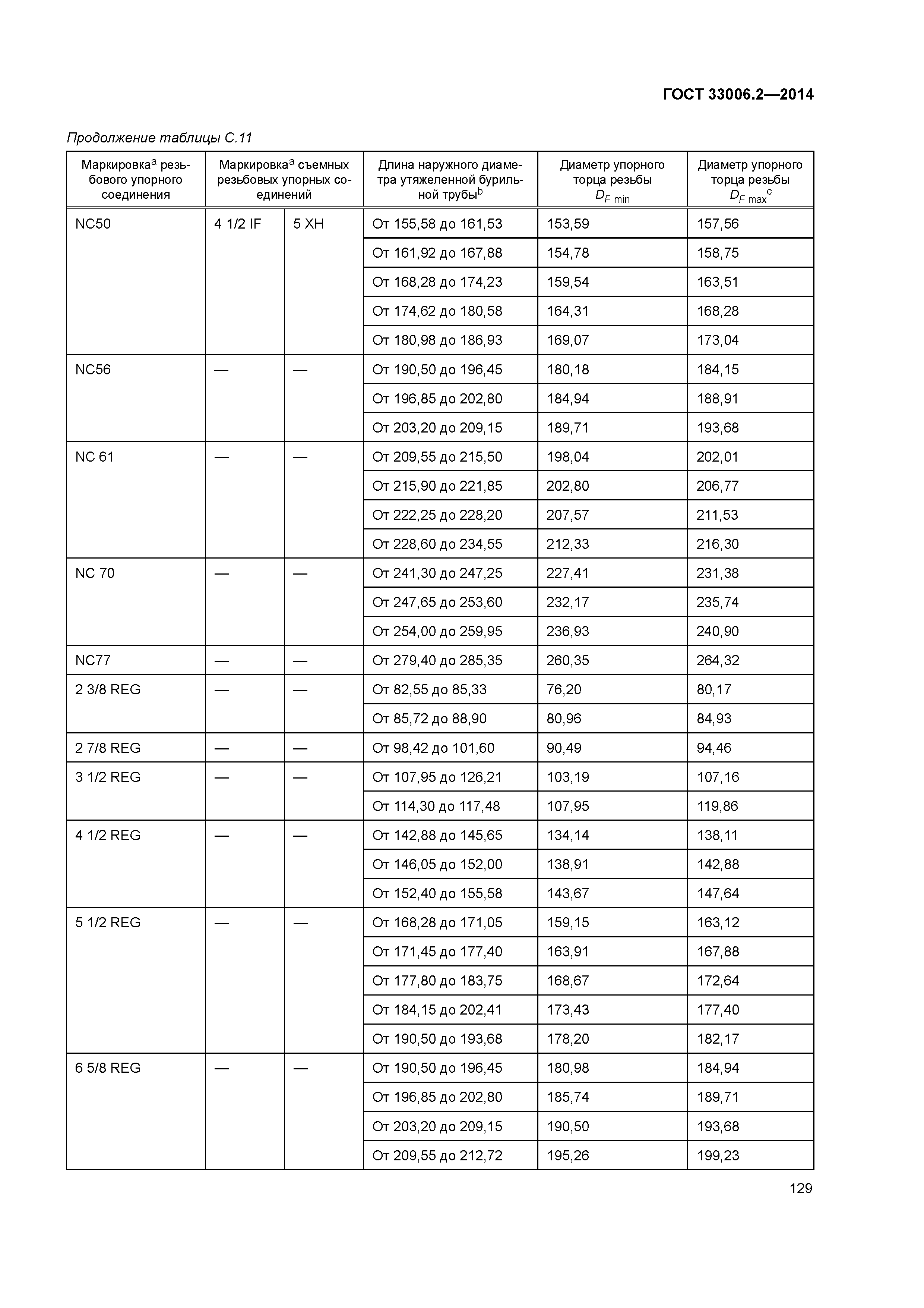
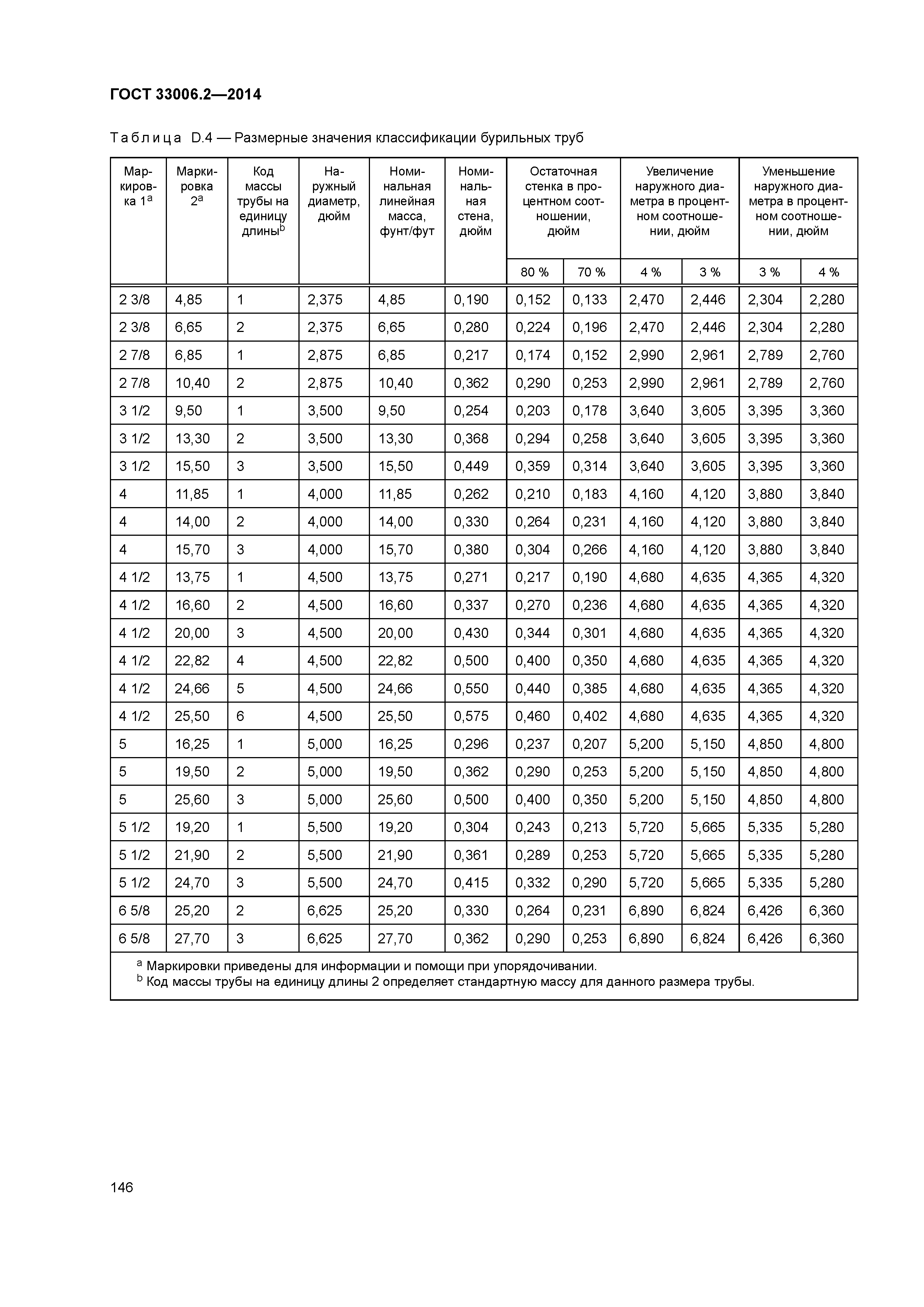
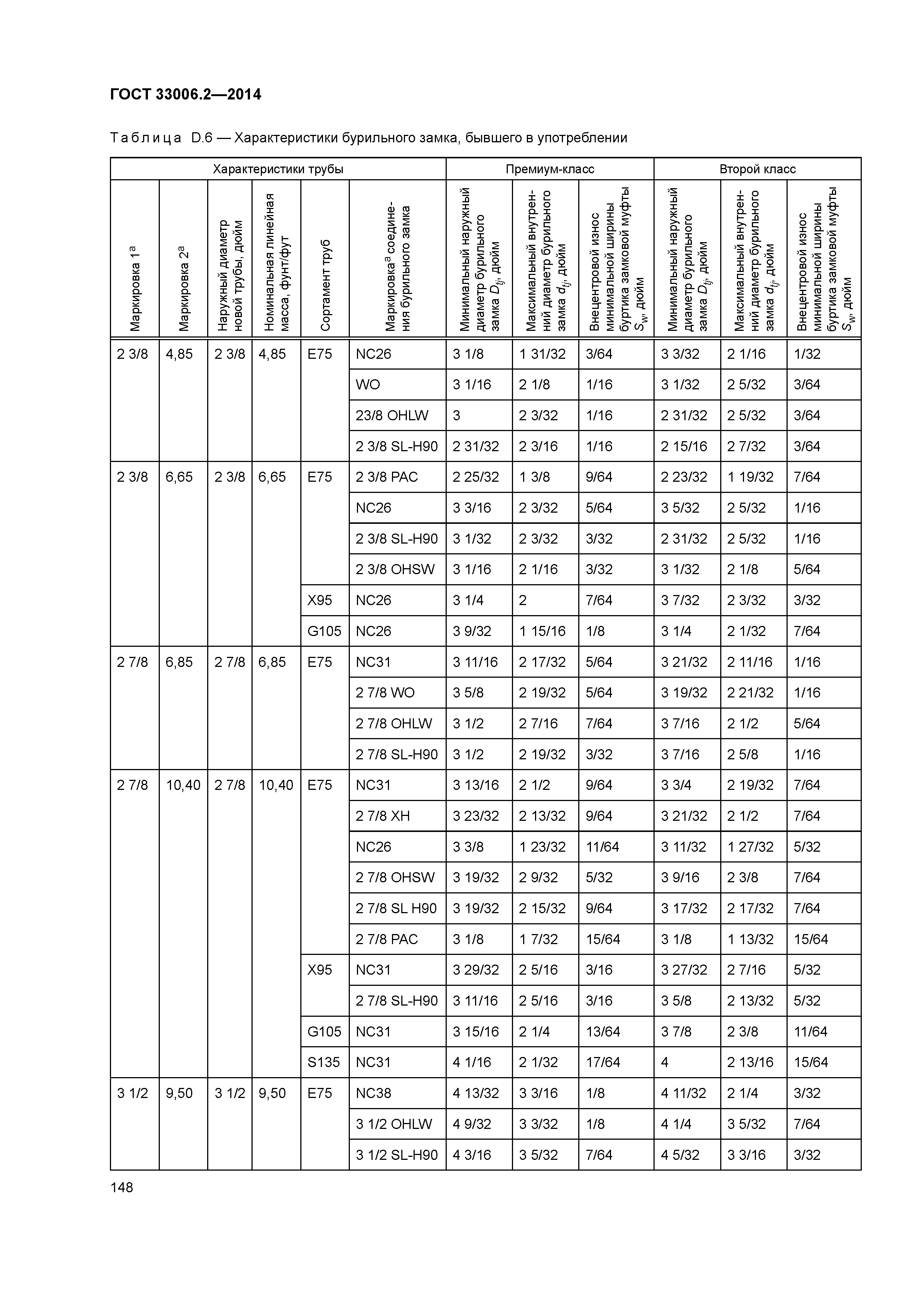
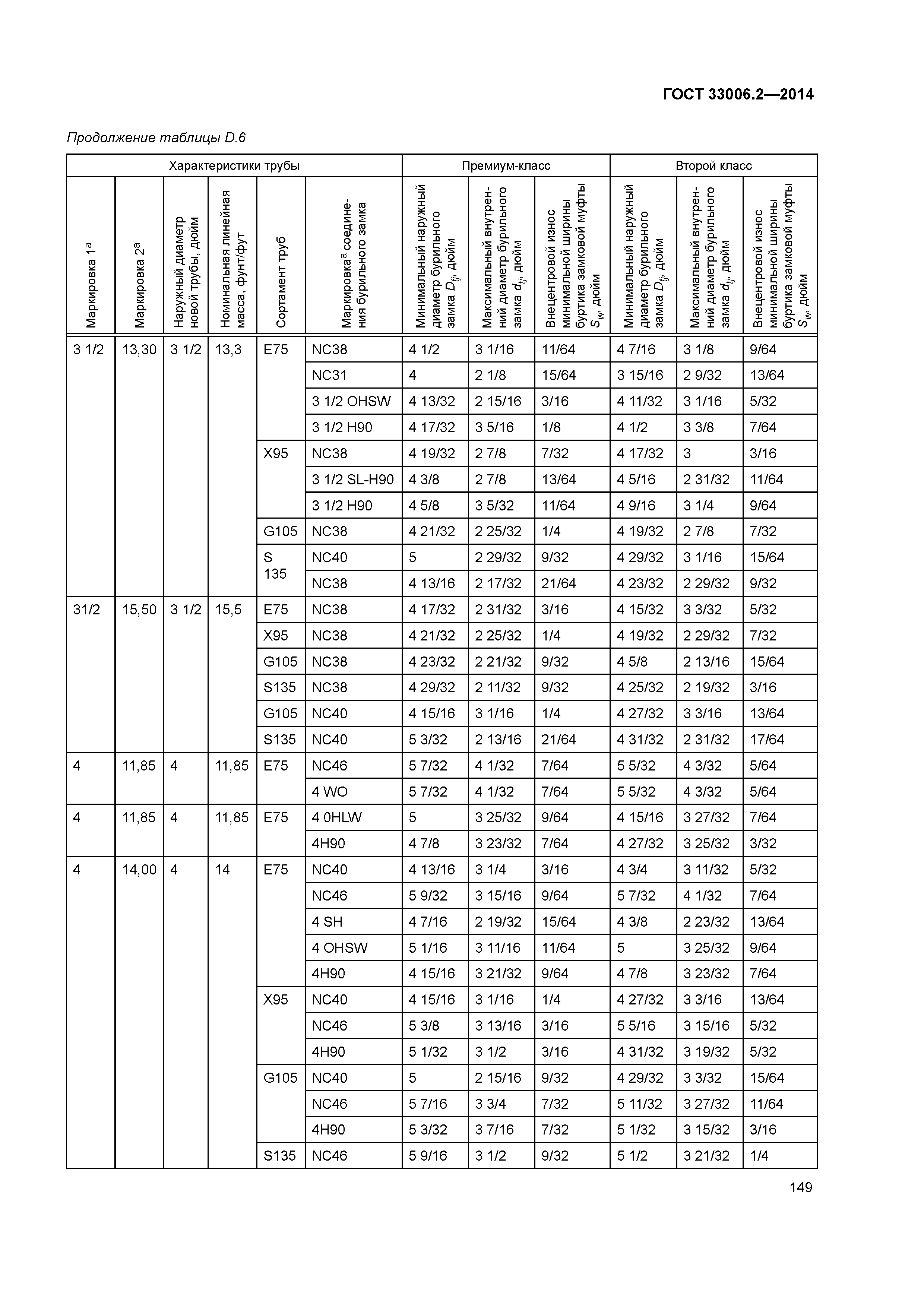
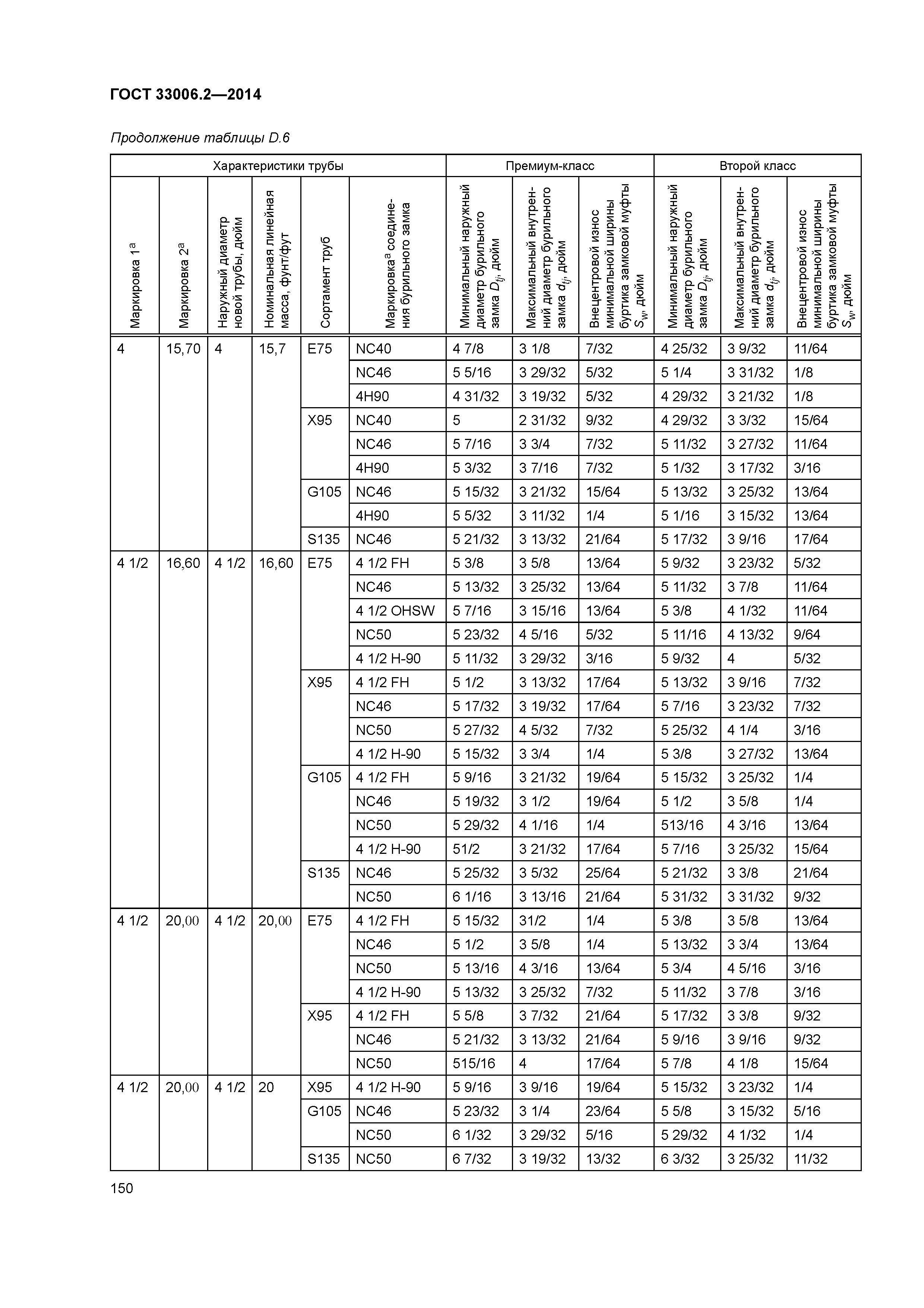
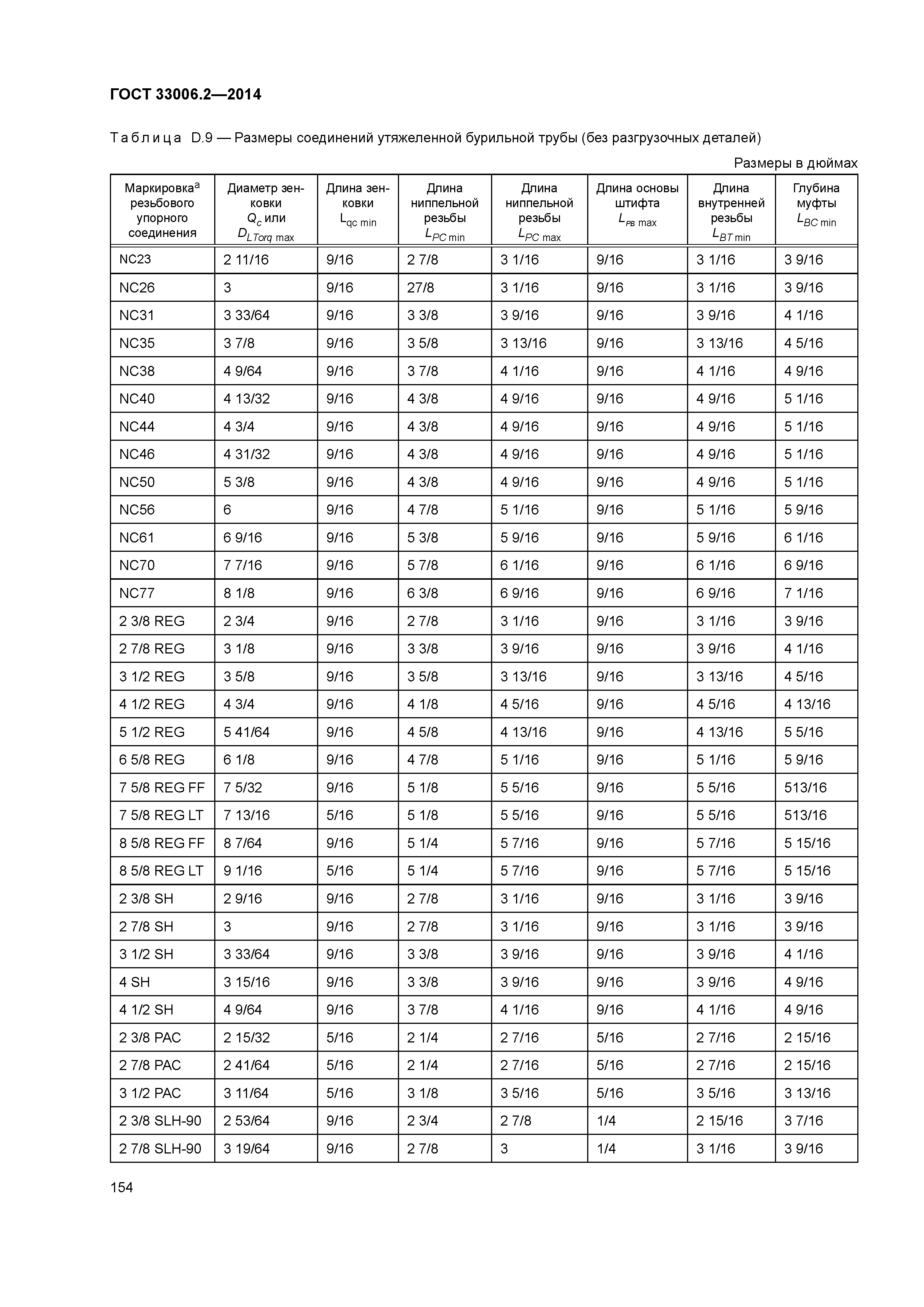
| Оглавление: | 1 Область применения 2 Нормативные ссылки 3 Термины и определения 4 Обозначения и сокращения 4.1 Обозначения 4.2 Сокращения 5 Заключение о соответствии 5.1 Условия проведения контроля/осмотра 5.2 Стабильность результатов 5.3 Упорядочивание информации 6 Гарантия качества 6.1 Общие сведения 6.2 Поверка и эксплуатация оборудования 6.3 Описание оборудования 6.4 Степень квалификации персонала 6.5 Данные по динамическому контролю/осмотру, определяющие технические характеристики системы по расчетному показателю 6.6 Отчет 7 Квалификация персонала службы технического контроля 7.1 Общие сведения 7.2 Письменное тестирование 7.3 Квалификация: ответственность и требования 7.4 Учебные программы 7.5 Экзамены 7.6 Опыт 7.7 Переквалификация 7.8 Документация 7.9 Аттестация персонала 8 Процедуры общего контроля 8.1 Общие сведения 8.2 Требования к рабочему месту владельца/оператора при проведении контроля качества 8.3 Паспорт рабочего места 8.4 Процедуры, которые проводятся перед контролем и осмотром 8.5 Маркировка классификации бурильных труб и бурильных замков 8.6 Процедуры, которые проводят после контроля/осмотра 9 Общие требования к методу неразрушающего контроля 9.1 Общие сведения 9.2 Оборудование 9.3 Освещение 9.4 Оборудование для магнитнопорошковой дефектоскопии 9.5 Ультразвук 9.6 Оборудование для электромагнитной дефектоскопии 10 Контроль и классификация бурильной колонны 10.1 Тело трубы. Визуальный контроль всей длины 10.2 Тело трубы. Измерение наружного диаметра 10.3 Тело трубы. Ультразвуковое измерение толщины стенок 10.4 Тело трубы. Электромагнитная дефектоскопия 10.5 Тело трубы. Ультразвуковой поперечный контроль/осмотр всей длины трубы и измерение толщины стенок 10.6 Тело трубы. Ультразвуковой продольный и поперечный осмотр всей длины трубы и измерение толщины ее стенок 10.7 Тело бурильной трубы. Наружная магнитнопорошковая дефектоскопия критических областей 10.8 Тело бурильной трубы. Двунаправленная наружная магнитнопорошковая дефектоскопия критической области 10.9 Тело трубы. Полный контроль/осмотр остаточной толщины стенок 10.10 Тело трубы. Ультразвуковой контроль/осмотр критической области 10.11 Тело трубы. Расчет площади поперечного сечения 10.12 Тело трубы. Ознакомление с документами (отслеживаемость) 10.13 Тело трубы. Оценка/анализ и классификация 10.14 Бурильные замки 10.15 Бурильные замки. Выявление деформации муфты и растяжения ниппеля 10.16 Ремонт бракованных бурильных замков 10.17 Бурильные замки. Контроль/осмотр ниппеля, наружного диаметра муфты и внецентренного износа 10.18 Бурильные замки. Измерение ниппеля замка, наружного диаметра муфты бурильного замка и определение наличия внецентренного износа 10.19 Бурильные замки. Контроль/осмотр ниппеля бурильного замка и места на замке для захвата ключом 10.20 Бурильные замки. Измерение ниппеля бурильного замка и определение размера места установки ключа на муфте 10.21 Бурильные замки. Магнитнопорошковая дефектоскопия ниппельной резьбы 10.22 Бурильные замки. Магнитнопорошковая дефектоскопия внутренней резьбы 10.23 Бурильные замки. Измерение внутреннего диаметра ниппеля бурильного замка 10.24 Магнитнопорошковая дефектоскопия соединения наружного диаметра на наличие тепловых трещин 10.25 Двусторонняя магнитнопорошковая дефектоскопия соединения наружного диаметра [наличие тепловых трещин (мокрый способ)] 10.26 Бурильные замки. Измерение глубины зенковки, длины основания штифта и ширины уплотнения 10.27 Соединение КНБК. Визуальный контроль скосов, уплотнений, резьбы и частей оборудования, снимающих остаточное напряжение 10.28 КНБК. Измерение наружного диаметра муфты, внутреннего диаметра ниппеля, диаметра раззенкованной части и определение расположения тестового образца (при наличии) 10.29 КНБК. Контроль/осмотр диаметра упорного торца резьбы 10.30 КНБК. Измерение диаметра упорного торца резьбы 10.31 КНБК. Магнитопорошковая дефектоскопия внутренней и внешней резьбы 10.32 Соединение КНБК. Капиллярная дефектоскопия внутренней и внешней резьбы 10.33 КНБК. Определение размеров деталей, снимающих остаточное напряжение 10.34 Измерения длины раззенкованной части, ниппеля и шейки ниппеля 10.35 Утяжеленная бурильная труба. Визуальный полноразмерный контроль/осмотр наружного и внутреннего диаметра, маркировки, длины ловильной головки и места установки ключа 10.36 Магнитнопорошковая дефектоскопия элеваторной канавки УБТ и буртика бурильной трубы 10.37 Определение размеров элеваторной канавки УБТ и буртика бурильной трубы 10.38 Переводники. Визуальный полноразмерный контроль/осмотр наружного и внутреннего диаметра, длины ловильной головки, радиальных изменений сечений и маркировки 10.39 Измерение выступа проточки под обратный клапан 10.40 Магнитнопорошковая дефектоскопия переходников. Определение полной, внутренней и наружной длины 10.41 Толстостенные бурильные трубы (ТБТ). Визуальный контроль/осмотр, определение полноразмерного наружного и внутреннего диаметра, маркировки и места установки ключа 10.42 Визуальный контроль и отчет по характеру износа ведущей или рабочей трубы 10.43 Магнитнопорошковая дефектоскопия критических областей ведущей или рабочей трубы 10.44 Магнитнопорошковая полноразмерная дефектоскопия ведущей или рабочей трубы и отдельно каждой ее секции 10.45 Стабилизатор бурильной колонны (визуальный контроль/осмотр наружного и внутреннего диаметра), определение длины ловильной головки состояния лопатки, калибра-кольца и маркировки 10.46 Магнитнопорошковая дефектоскопия лопастей стабилизатора на наличие трещин 10.47 Функциональная диагностика 10.48 Двусторонняя влажная магнитнопорошковая дефектоскопия лопастей стабилизатора (на наличие трещин) 10.49 Визуальный контроль/осмотр ударных ясов (бурильных, ловильных), амортизаторов, наддолотных переводников 10.50 Контроль/осмотр с целью технического обслуживания 10.51 Измерения областей износа в соответствии с требованиями ИОО 10.52 Контроль/осмотр оборудования, бывшего в употреблении, проводится в соответствии с требования ИОО 10.53 Система измерения забойного оборудования в процессе бурения. Каротаж во время бурения. Внешний вид, полная длина наружного и внутреннего диаметров, маркировка, визуальный контроль/осмотр армирования/наплавки твердым сплавом и наружных покрытий 10.54 Двигатели и турбины. Проведение визуальной дефектоскопии полной длины, наружного/внутреннего диаметров, маркировок, армирования/наплавки твердым сплавом и наружных покрытий 10.55 Расширительные коронки, скребки, селективный расширитель скважины. Визуальная дефектоскопия полной длины, наружного/внутреннего диаметров, маркировки, армирования/наплавки твердым сплавом и наружных покрытий 10.56 Станок для роторного бурения. Внешний вид, полная длина наружного и внутреннего диаметров, маркировочные надписи, включая визуальный контроль/осмотр армирования/наплавки твердым сплавом и наружных покрытий 10.57 Полноразмерная дефектоскопия отклонения ствола скважины от шаблона 10.58 Контроль/осмотр запатентованного оборудования 10.59 Контроль/осмотр армирования/наплавки твердым сплавом 10.60 Поперечная магнитнопорошковая дефектоскопия наружного/внутреннего диаметров ниппельной резьбы 10.61 Тело трубы. Проведение внутренней магнитной дефектоскопии критических областей 10.62 Тело трубы. Проведение двусторонней, внутренней магнитной дефектоскопии критических областей 10.63 Наружная проверка АРI резьбового соединения высаженных концов труб Приложение А (справочное). Требования изготовителя оригинального оборудования (ИОО) Приложение В (справочное). Обязательные и дополнительные процедуры контроля/осмотра оборудования и классификация услуг Приложение С (обязательное). Единицы международной системы измерений Приложение D (обязательное). Единицы американской системы измерений Приложение Е (справочное). Требования по различным этапам контроля/осмотра Приложение F (справочное). Контроль/осмотр специлизированных замковых соединений бурильных колонн Приложение G (справочное). Контроль/осмотр резьбы запатентованного соединения спусковой колонны, бывшего в употреблении Приложение ДА (справочное). Сведения о соответствии межгосударственных стандартов ссылочным международным стандартам Библиография |
| Разработан: | ООО ТЕХНОНЕФТЕГАЗ |
| Утверждён: | 05.12.2014 Межгосударственный Совет по стандартизации, метрологии и сертификации (Inter-Governmental Council on Standardization, Metrology, and Certification 46-2014) 12.08.2015 Федеральное агентство по техническому регулированию и метрологии (1138-ст) |
| Издан: | Стандартинформ (2015 г. ) |
| Нормативные ссылки: |






























































































































































































