Скачать ГОСТ Р ИСО 11064-5-2015 Эргономическое проектирование центров управления. Часть 5. Дисплеи и элементы управленияДата актуализации: 01.01.2021
|
| Обозначение: | ГОСТ Р ИСО 11064-5-2015 |
| Обозначение англ: | GOST R ISO 11064-5-2015 |
| Статус: | введен впервые |
| Название рус.: | Эргономическое проектирование центров управления. Часть 5. Дисплеи и элементы управления |
| Название англ.: | Ergonomic design of control centres. Part 5. Displays and controls |
| Дата добавления в базу: | 01.02.2017 |
| Дата актуализации: | 01.01.2021 |
| Дата введения: | 01.12.2016 |
| Область применения: | В стандарте установлены принципы, рекомендации и требования к дисплеям, элементам управления и их взаимодействию при проектировании аппаратного и программного обеспечения центра управления. |
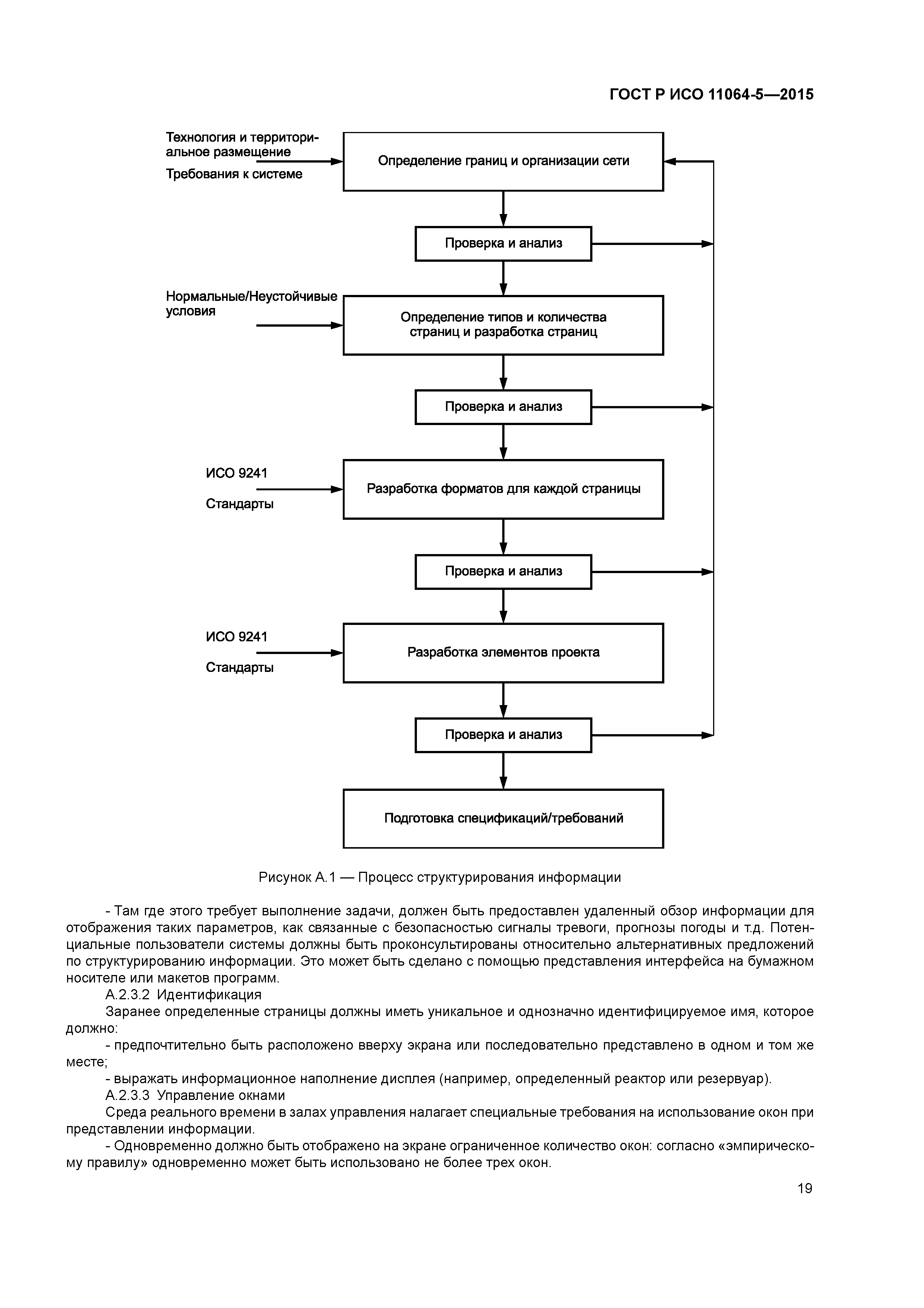
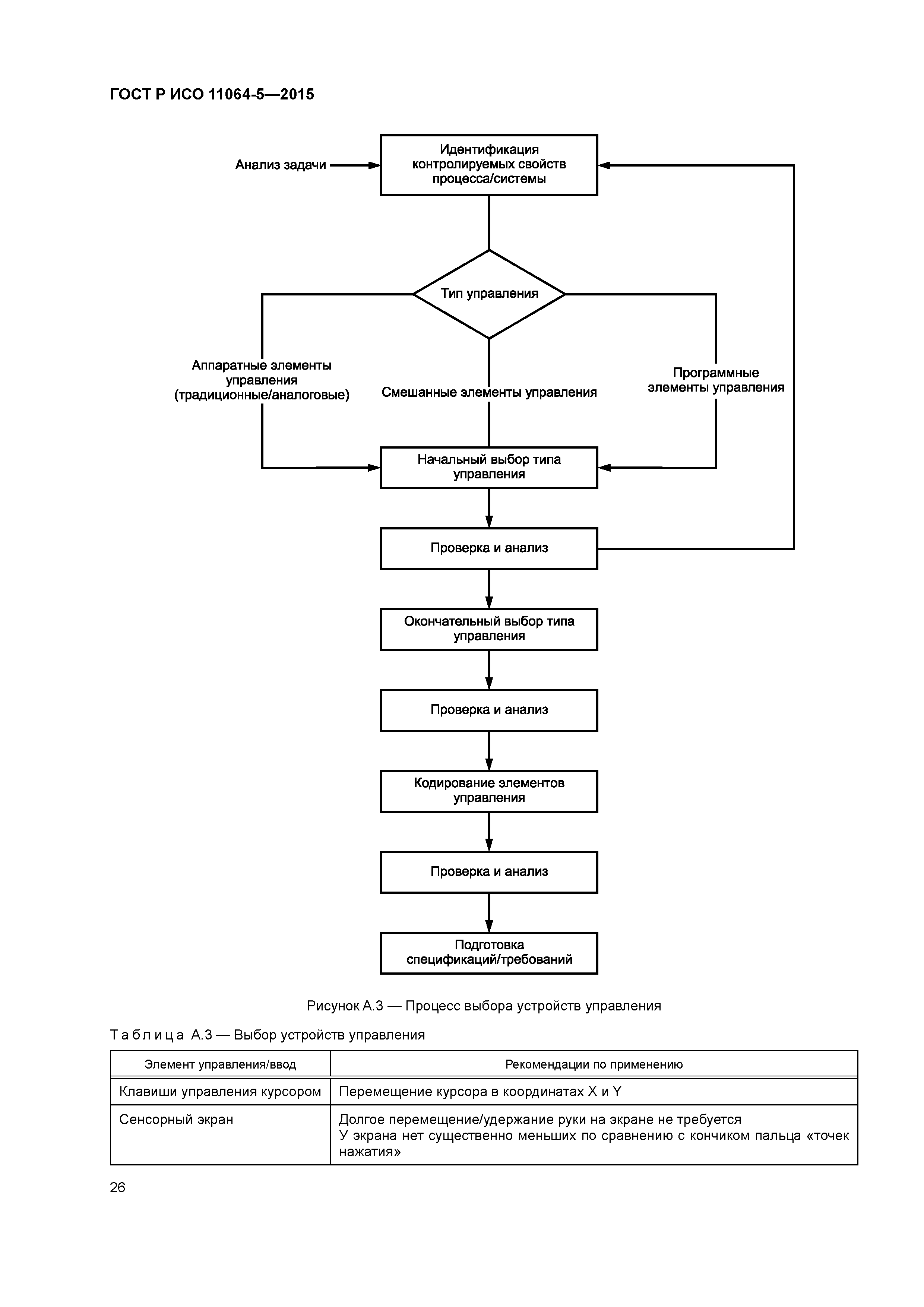
| Оглавление: | 1 Область применения 2 Нормативные ссылки 3 Термины и определения 4 Принципы 5 Определение характеристик дисплеев и элементов управления 6 Сигналы тревоги. Требования и рекомендации высокого уровня Приложение А (справочное) Рекомендации Приложение ДА (справочное) Сведения о соответствии ссылочных международных стандартов национальным стандартам Российской Федерации Библиография |
| Разработан: | АО НИЦ КД |
| Утверждён: | 06.10.2015 Федеральное агентство по техническому регулированию и метрологии (1470-ст) |
| Издан: | Стандартинформ (2016 г. ) |
| Нормативные ссылки: |
|









































