Скачать Схема и программа развития Единой энергетической системы России на 2015 - 2021 годыДата актуализации: 01.01.2021
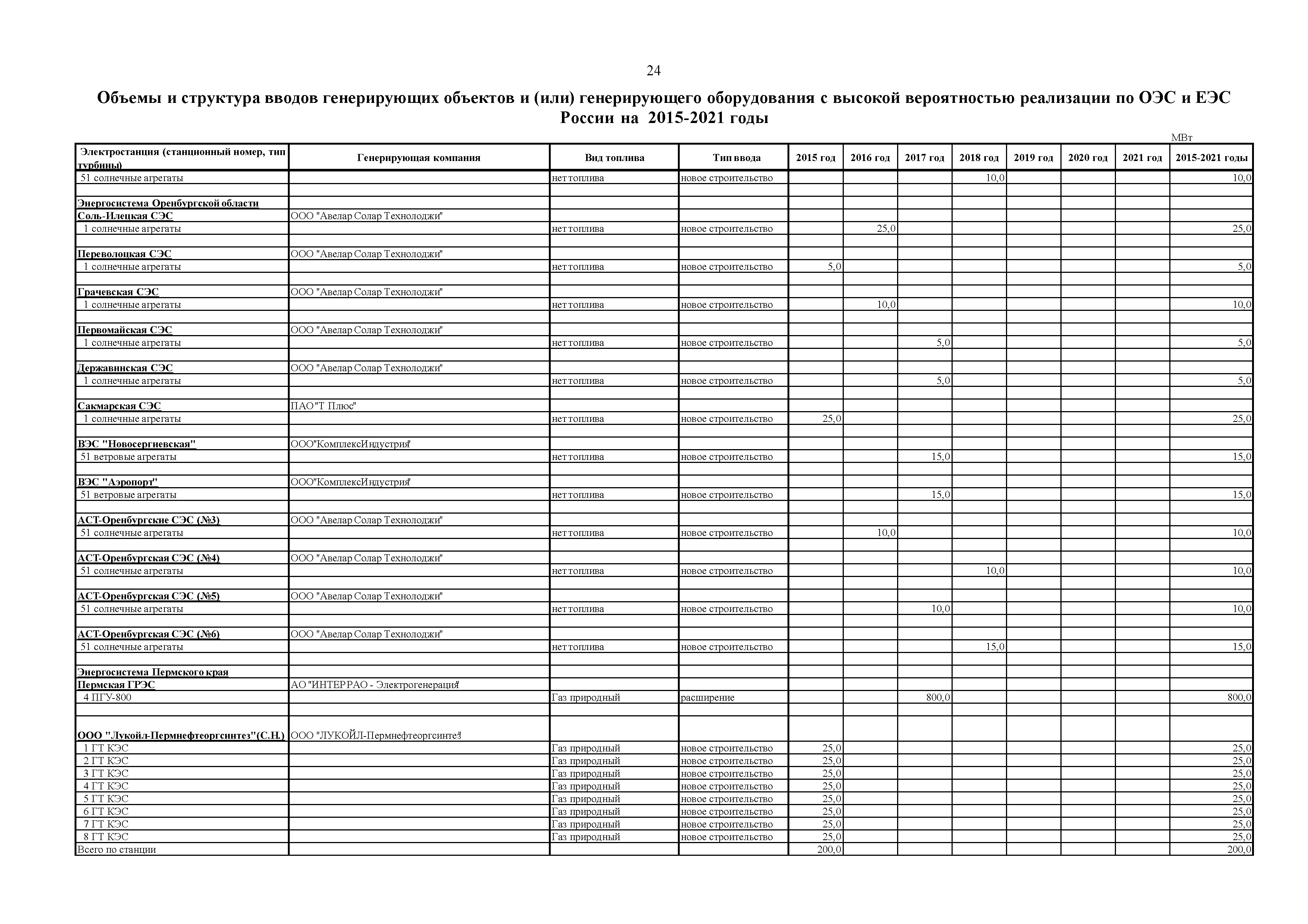
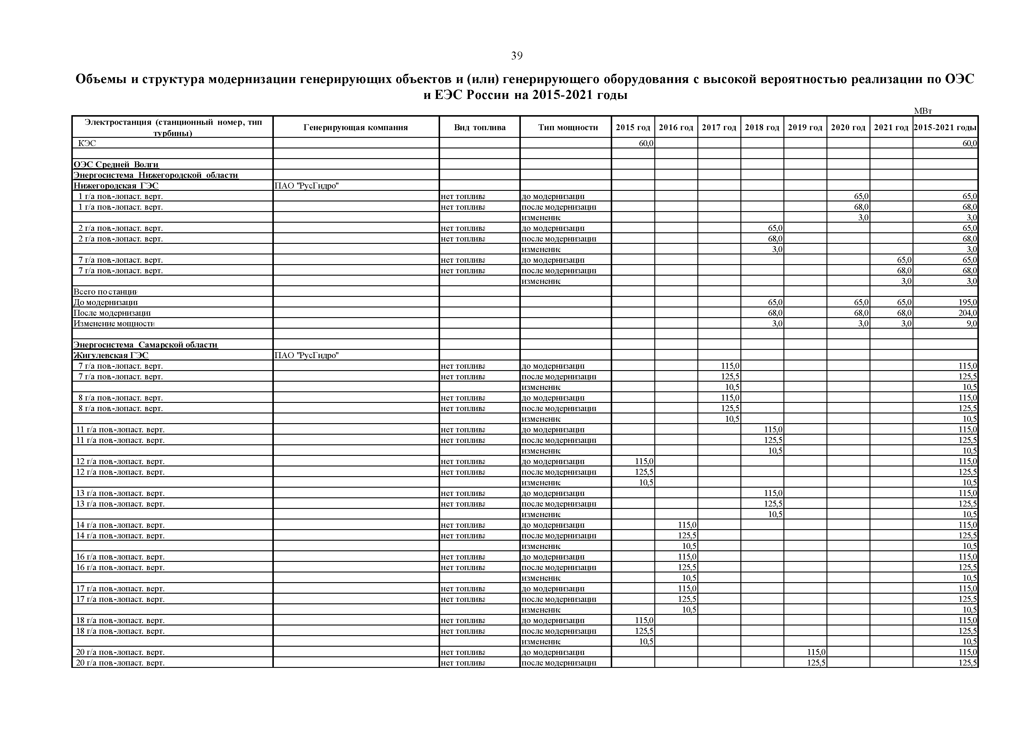
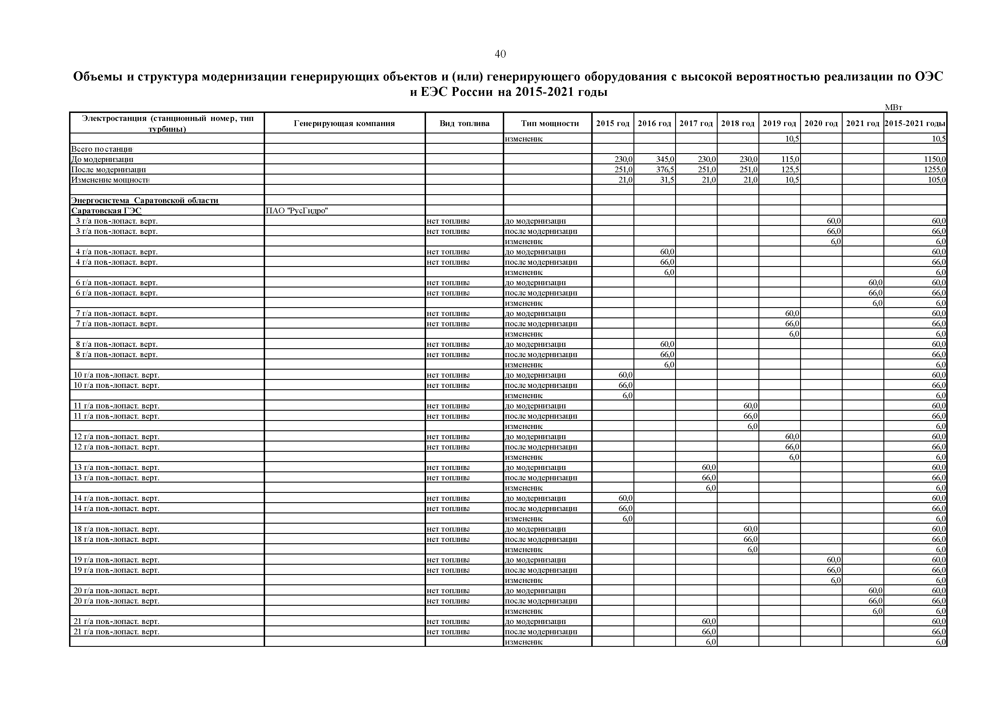
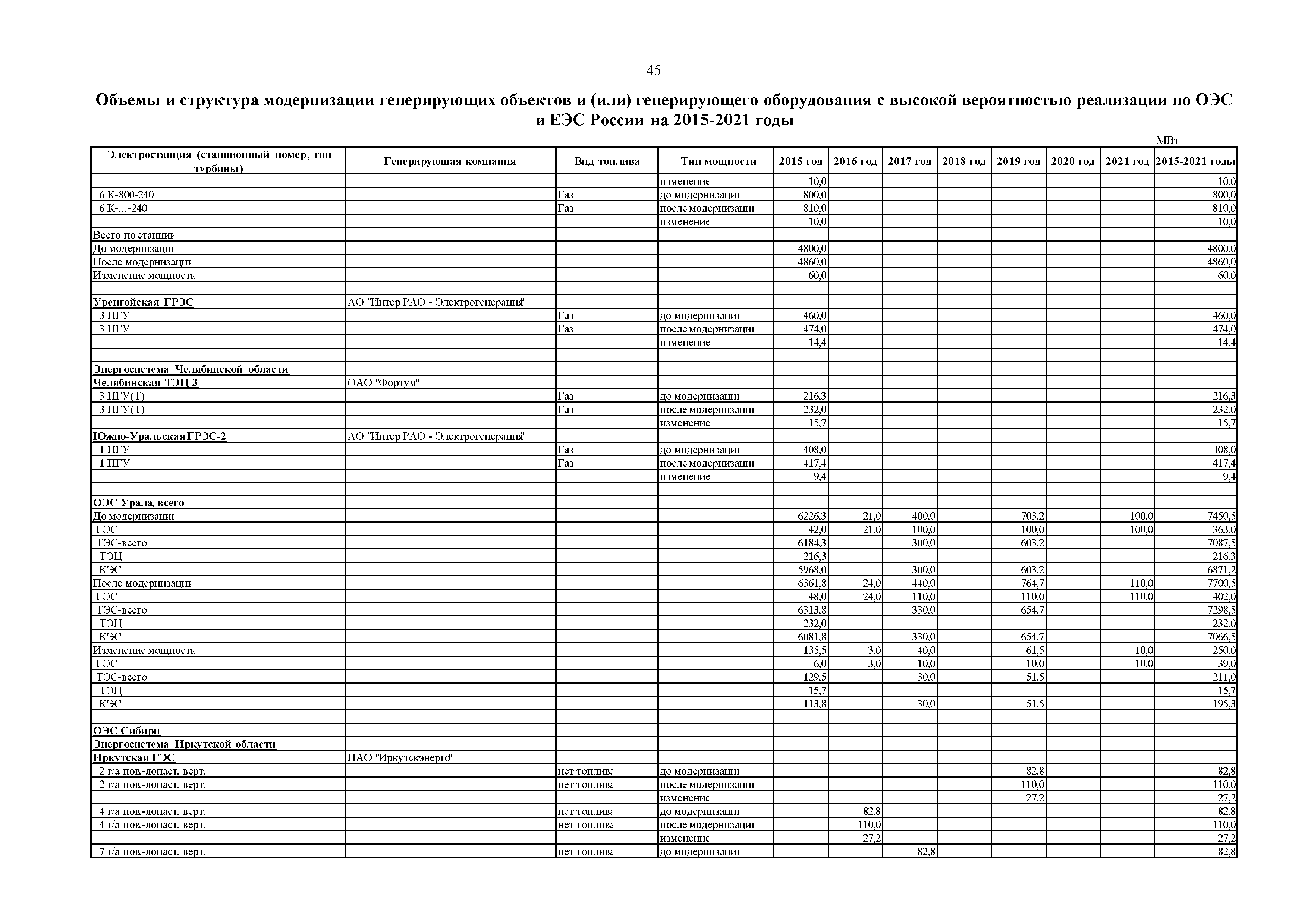
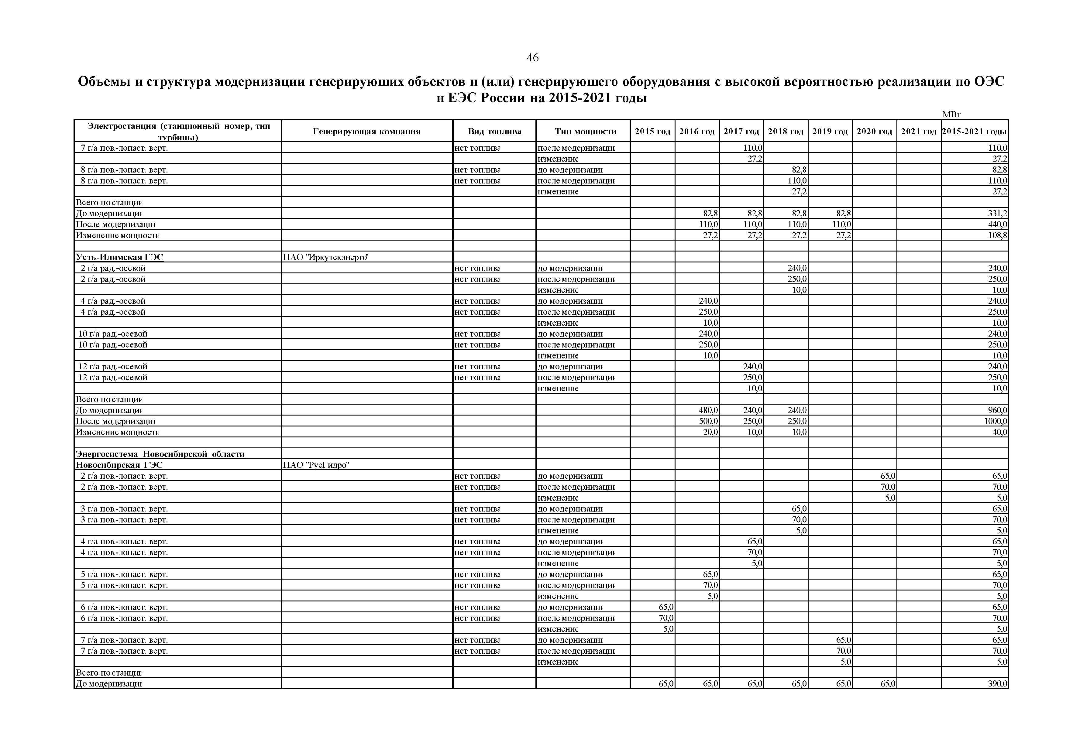
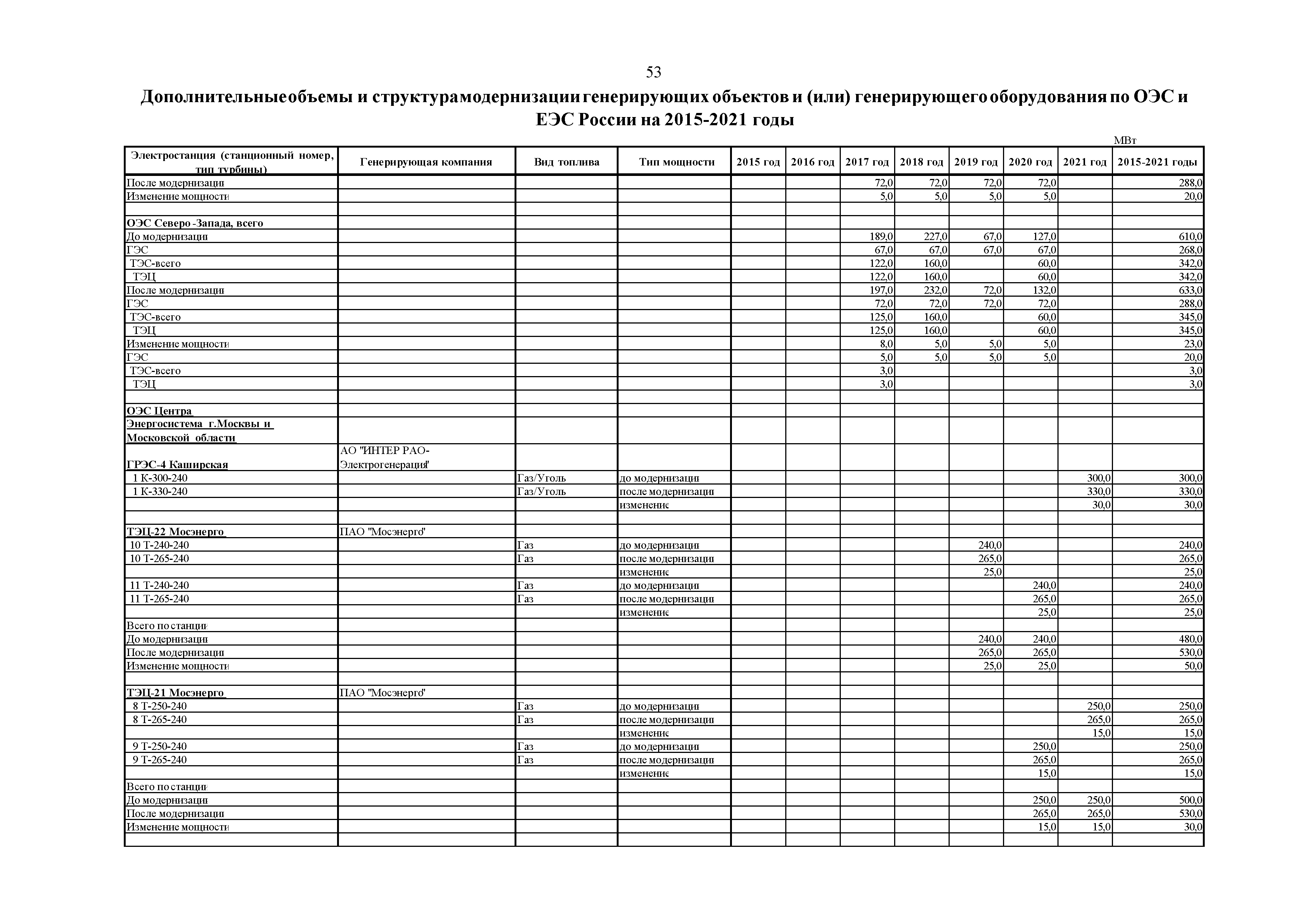
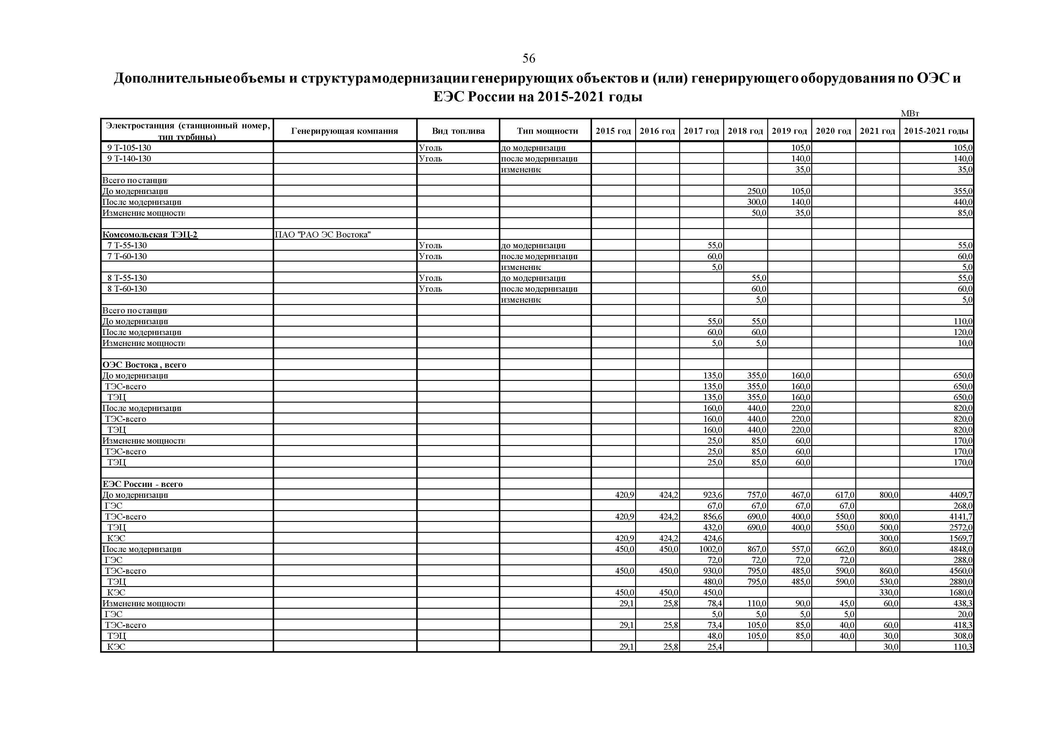
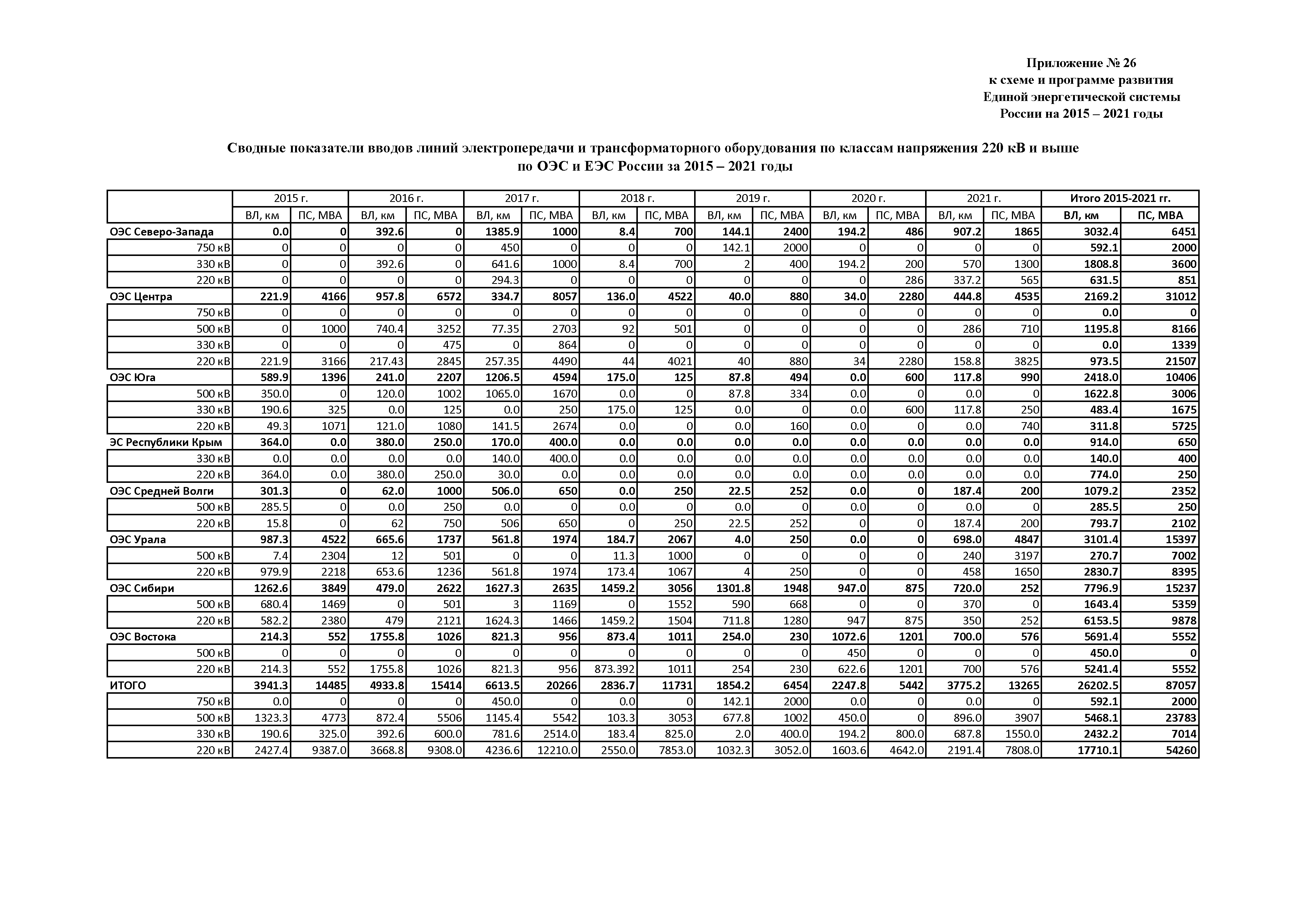
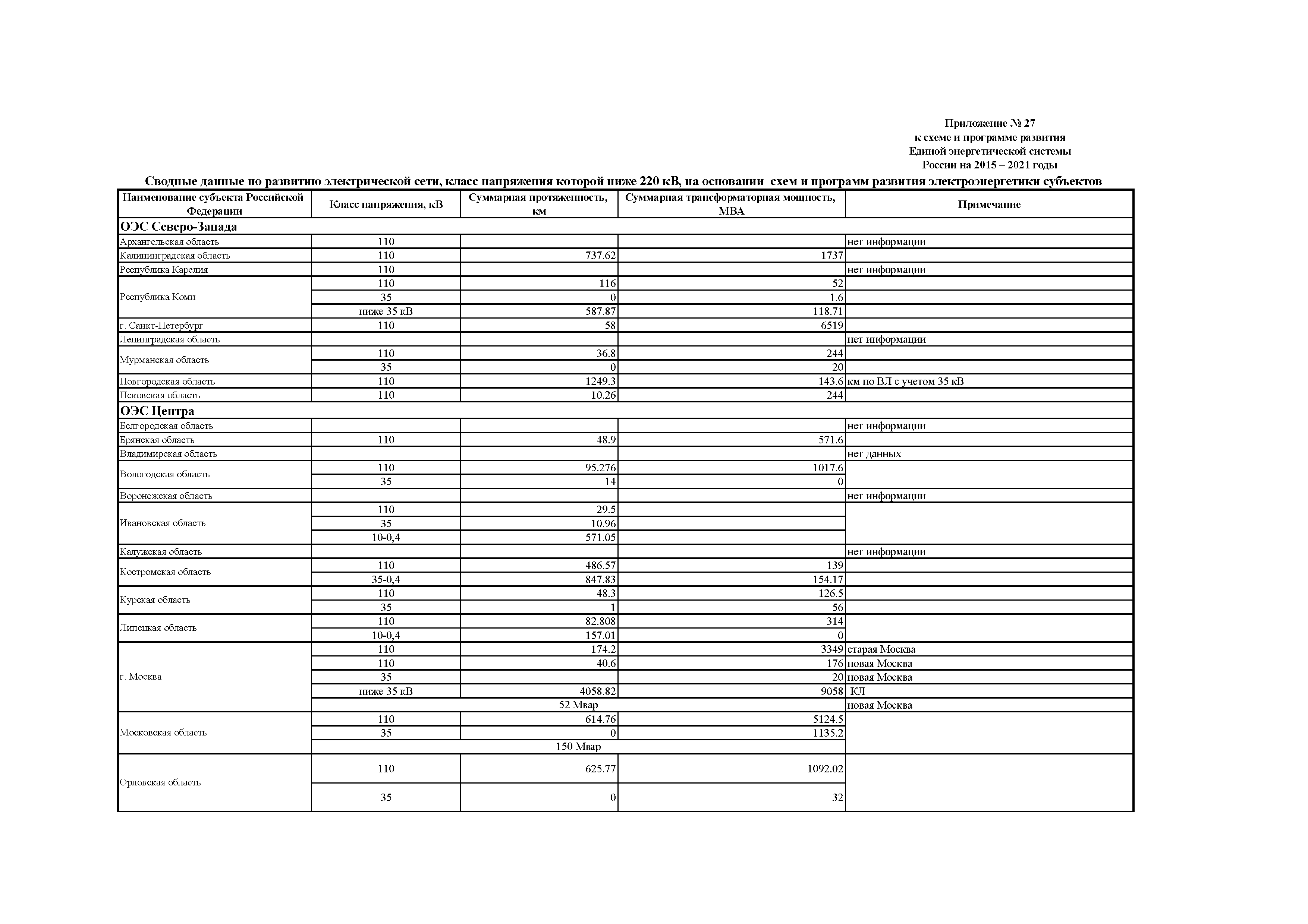
Схема и программа развития Единой энергетической системы России на 2015 - 2021 годы| Статус: | действует | | Название рус.: | Схема и программа развития Единой энергетической системы России на 2015 - 2021 годы | | Дата добавления в базу: | 12.02.2016 | | Дата актуализации: | 01.01.2021 | | Дата введения: | 09.09.2015 | | Область применения: | Основной целью схемы и программы является содействие развитию сетевой инфраструктуры и генерирующих мощностей, а также обеспечению удовлетворения долгосрочного и среднесрочного спроса на электрическую энергию и мощность | | Оглавление: | 1. Основные цели и задачи 2. Прогноз спроса на электрическую энергию по единой энергетической системе России и территориям субъектов Российской Федерации на 2015 - 2021 годы 3. Прогноз потребления мощности и характеристики режимов потребления электрической энергии Единой энергетической системы России, объединенных энергетических систем и территорий субъектов Российской Федерации на 2015 - 2021 годы 4. Прогноз требуемого увеличения мощностей для удовлетворения спроса на электрическую энергию на период 2015 - 2021 годов 5. Прогноз развития действующих и предполагаемых к сооружению новых генерирующих мощностей 5.1. Территории ЕЭС России, на которых необходимо сооружение генерирующих объектов, отсутствующих в планах каких-либо собственников 5.1.1. Бодайбинский и Мамско-Чуйский энергорайоны энергосистемы Иркутской области 5.1.2. Юго-западный энергорайон энергосистемы Краснодарского края 6. Балансы мощности и электрической энергии ЕЭС России ОЭС на 2015 - 2021 годы 6.1. Балансы мощности 6.2. Анализ режимно-балансовой ситуации в центральной части ОЭС Северо-Запада 6.3. Балансы электрической энергии 7. Развитие генерирующих объектов и электрических сетей 220 кВ и выше по энергосистеме Республики Крым и города Севастополь на период 2015 - 2021 годов 7.1. Прогноз спроса на электрическую энергию и мощность по энергосистеме Республики Крым и города Севастополь 7.2. Прогноз уровней электрических нагрузок энергосистемы Республики Крым и города Севастополь 7.3. Развитие генерирующих мощностей энергосистемы Республики Крым и города Севастополь на период 2015 - 2021 годов 7.4. Балансы мощности и электрической энергии 7.5. Развитие магистральных и распределительных электрических сетей энергосистемы Республики Крым и города Севастополь на 2015 - 2021 годы 8. Прогноз спроса на топливо организаций электроэнергетики ЕЭС России (без учета децентрализованных источников) на период 2015 - 2021 годы 9. Развитие магистральных и распределительных сетей с учетом требований по обеспечению регулирования (компенсации) реактивной электрической мощности на 2015 - 2021 годы 10. Требования к развитию релейной защиты и автоматики, средств диспетчерского и технологического управления 11. Оценка прогнозных объектов капитальных вложений в сооружение генерирующих мощностей, объектов электросетевого хозяйства, номинальный класс напряжения которых составляет 220 кВ и выше, на 2015 - 2021 годы 12. Схема развития ЕЭС России Приложение № 1. Прогноз спроса на электрическую энергию по ОЭС ЕЭС России на период 2015 - 2021 годов. Базовый вариант Приложение № 2. Прогноз спроса на электрическую энергию по ОЭС ЕЭС России на период 2015 - 2021 годов. Умеренно-оптимистичный вариант Приложение № 3. Объемы вывода из эксплуатации генерирующих объектов и (или) генерирующего оборудования по ОЭС и ЕЭС России на 2015 - 2021 годы Приложение № 4. Дополнительные объемы вывода из эксплуатации генерирующих объектов и (или) генерирующего оборудования по ОЭС и ЕЭС России на 2015 - 2021 годы Приложение № 5. Объемы и структура вводов генерирующих объектов и (или) генерирующего оборудования с высокой вероятностью реализации по ОЭС и ЕЭС России на 2015 - 2021 годы Приложение № 6. Дополнительные объемы и структура вводов генерирующих объектов и (или) генерирующего оборудования по ОЭС и ЕЭС России на 2015 - 2021 годы Приложение № 7. Объемы и структура модернизации генерирующих объектов и (или) генерирующего оборудования с высокой вероятностью реализации по ОЭС и ЕЭС России на 2015 - 2021 годы Приложение № 8. Объемы и структура реконструкции объектов и (или) генерирующего оборудования с высокой вероятностью реализации по ОЭС и ЕЭС России на 2015 - 2021 годы Приложение № 9. Объемы и структура перемаркировки генерирующего оборудования с высокой вероятностью реализации по ОЭС и ЕЭС России на 2015 - 2021 годы Приложение № 10. Дополнительные объемы и структура модернизации генерирующих объектов и (или) генерирующего оборудования по ОЭС и ЕЭС России на 2015 - 2021 годы Приложение № 11. Дополнительные объемы и структура реконструкции объектов и (или) генерирующего оборудования с высокой вероятностью реализации по ОЭС и ЕЭС России на 2015 - 2021 годы Приложение № 12. Дополнительные объемы и структура перемаркировки генерирующих объектов и (или) генерирующего оборудования по ОЭС и ЕЭС России на 2015 - 2021 годы Приложение № 13. Перспективные балансы мощности по ОЭС и ЕЭС России с учетом вводов, мероприятий по выводу из эксплуатации, модернизации, реконструкции и перемаркировке с высокой вероятностью реализации для базового варианта электропотребления Приложение № 14. Региональная структура перспективных балансов мощности с учетом вводов и мероприятий по выводу из эксплуатации, модернизации, реконструкции и перемаркировке с высокой вероятностью реализации. Базовый вариант электропотребления на 2015 - 2021 годы Приложение № 15. Перспективные балансы мощности по ОЭС и ЕЭС России с учетом дополнительных вводов, мероприятий по выводу из эксплуатации, модернизации, реконструкции и перемаркировке для базового варианта электропотребления Приложение № 16. Перспективные балансы мощности по ОЭС и ЕЭС России с учетом вводов, мероприятий по выводу из эксплуатации, модернизации, реконструкции и перемаркировке с высокой вероятностью реализации для умеренно-оптимистичного варианта электропотребления Приложение № 17. Региональная структура перспективных балансов мощности с учетом вводов и мероприятий по выводу из эксплуатации, модернизации, реконструкции и перемаркировке с высокой вероятностью реализации. Умеренно-оптимистичный вариант электропотребления на 2015 - 2021 годы Приложение № 18. Перспективные балансы мощности по ОЭС и ЕЭС России с учетом дополнительных вводов, мероприятий по выводу из эксплуатации, модернизации, реконструкции и перемаркировке для умеренно-оптимистичного варианта электропотребления Приложение № 19. Перспективные балансы мощности по ОЭС и ЕЭС России с учетом вводов с высокой вероятностью реализации на 2015 - 2021 годы для базового варианта электропотребления Приложение № 20. Региональная структура перспективных балансов электрической энергии с учетом вводов с высокой вероятностью реализации на 2015 - 2021 годы. Базовый вариант электропотребления Приложение № 21. Перспективные балансы электрической энергии по ОЭС и ЕЭС России с учетом дополнительных вводов и мероприятий по выводу из эксплуатации, модернизации, реконструкции и перемаркировке на 2015 - 2021 годы для базового варианта электропотребления Приложение № 22. Перспективные балансы электрической энергии по ОЭС и ЕЭС России с учетом вводов с высокой вероятностью реализации на 2015 - 2021 годы для умеренно-оптимистичного варианта электропотребления Приложение № 23. Региональная структура перспективных балансов электрической энергии с учетом вводов с высокой вероятностью реализации на 2015 - 2021 годы для умеренно-оптимистического варианта электропотребления Приложение № 24. Перспективные балансы электрической энергии по ОЭС и ЕЭС России с учетом дополнительных вводов и мероприятий по выводу из эксплуатации, модернизации, реконструкции и перемаркировке на 2015 - 2021 годы для умеренно-оптимистичного варианта электропотребления Приложение № 25. Вводы электросетевых объектов напряжением 220 кВ и выше за период 2015 - 2021 годов Приложение № 26. Сводные показатели вводов линий электропередачи и трансформаторного оборудования по классам напряжения 220 кВ и выше по ОЭС и ЕЭС России за 2015 - 2021 годы Приложение № 27. Сводные данные по развитию электрической сети, класс и напряжения которой ниже 220 кВ, на основании схем и программ развития электроэнергетики субъектов | | Утверждён: | 09.09.2015 Министерство энергетики РФ (Russian Federation Ministry of Energy 627)
| | Нормативные ссылки: | |
                                                                                                                                                                                                                                                                                                                                                                                                                                                        
|