Скачать ГОСТ Р 56602-2015 Слаботочные системы. Кабельные системы. Термины и определенияДата актуализации: 01.01.2021
|
| Обозначение: | ГОСТ Р 56602-2015 |
| Обозначение англ: | GOST R 56602-2015 |
| Статус: | введен впервые |
| Название рус.: | Слаботочные системы. Кабельные системы. Термины и определения |
| Название англ.: | Low voltage systems. Cable systems. Terms and definitions |
| Дата добавления в базу: | 01.02.2017 |
| Дата актуализации: | 01.01.2021 |
| Дата введения: | 01.03.2016 |
| Область применения: | Стандарт устанавливает термины и определения понятий в области слаботочных систем и подсистем любых технических систем, являющихся слаботочными, в том числе кабельных систем, систем передачи данных, синхронизации и уплотнения, обеспечивающих автоматизацию процессов сбора, обработки и передачи информации. |
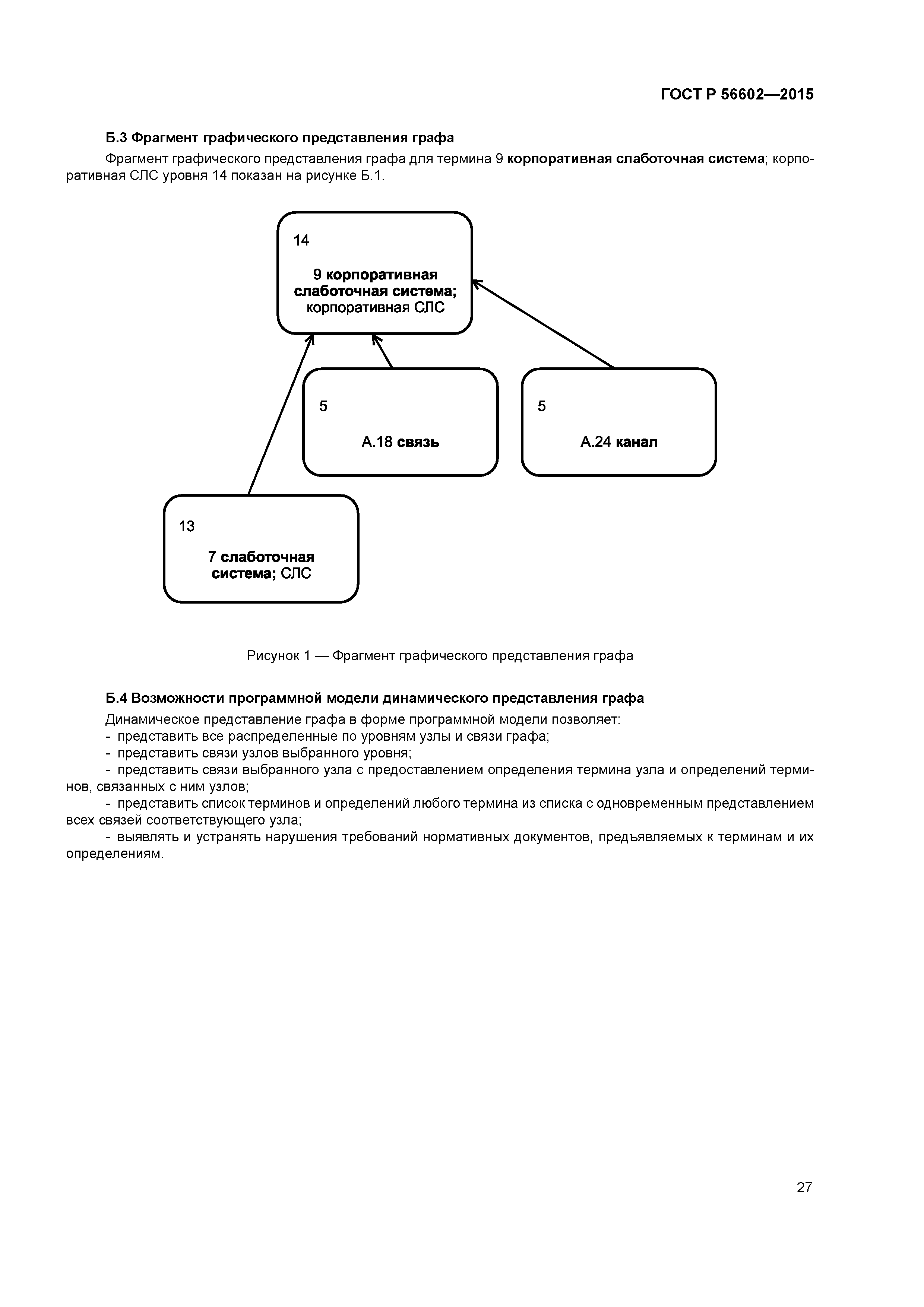
| Оглавление: | 1 Область применения 2 Нормативные ссылки 3 Термины и определения Алфавитный указатель терминов на русском языке Приложение А (справочное) Термины и определения общетехнических понятий, необходимых для понимания текста стандарта Приложение Б (справочное) Классификационная схема принятой в стандарте системы понятий Библиография |
| Разработан: | СРО НП Дело ТелеКом |
| Утверждён: | 02.10.2015 Федеральное агентство по техническому регулированию и метрологии (1146-ст) |
| Издан: | Стандартинформ (2016 г. ) |
| Нормативные ссылки: |
|































