Скачать ТССЦ Белгородская область 04-2001 Часть IV. Бетонные, железобетонные и керамические изделия, нерудные материалы, товарные бетоны и растворыДата актуализации: 01.01.2021
|
| Обозначение: | ТССЦ Белгородская область 04-2001 |
| Обозначение англ: | 04-2001 |
| Статус: | действует |
| Название рус.: | Часть IV. Бетонные, железобетонные и керамические изделия, нерудные материалы, товарные бетоны и растворы |
| Дата добавления в базу: | 12.02.2016 |
| Дата актуализации: | 01.01.2021 |
| Область применения: | Территориальные сметные цены на материалы, изделия и конструкции, применяемые в строительстве предназначены для определения сметной стоимости строительно-монтажных работ (ремонтно-строительных) работ, а также при разработке Территориальных единичных расценок на строительные, монтажные и ремонтно-строительные работы |
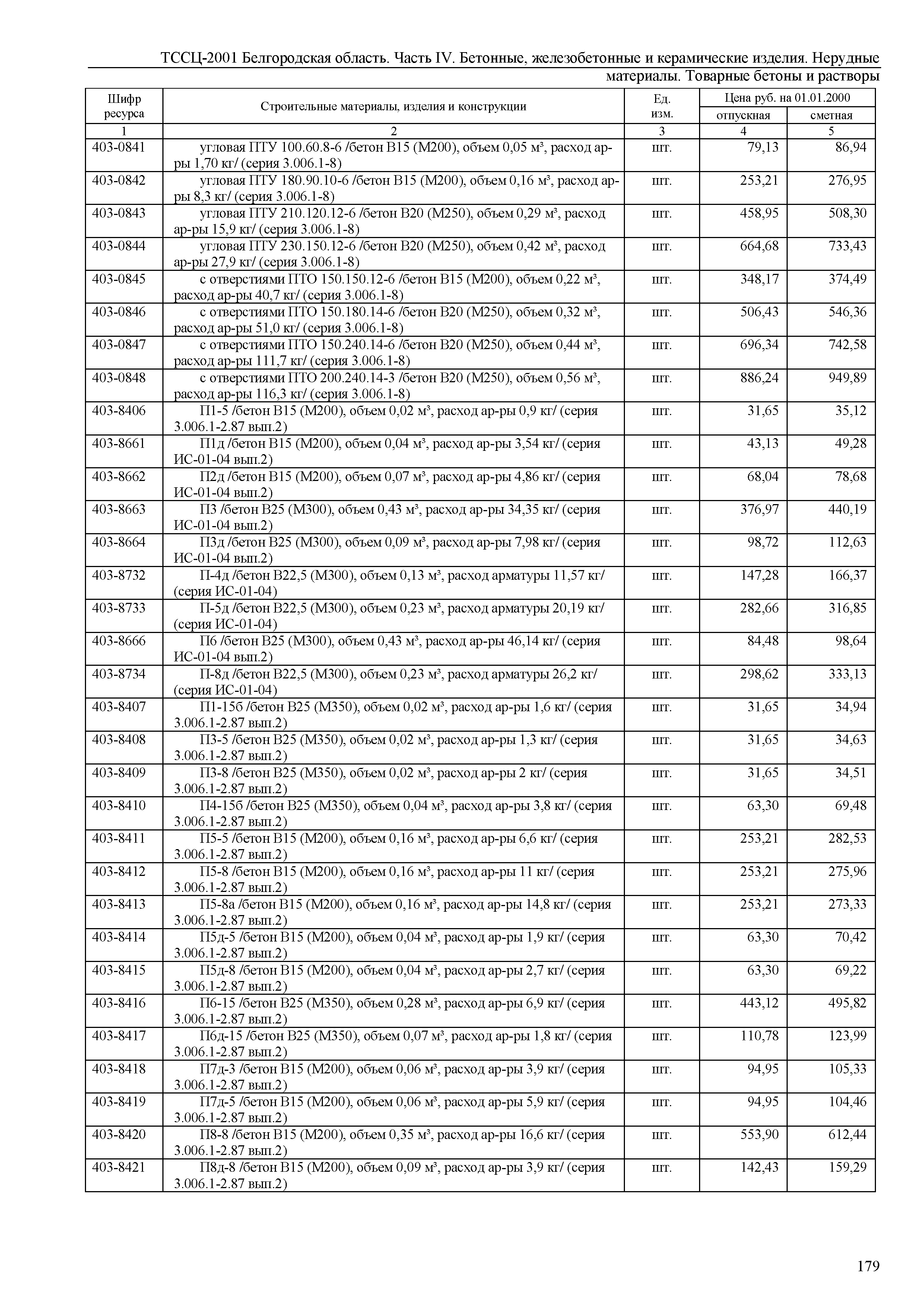
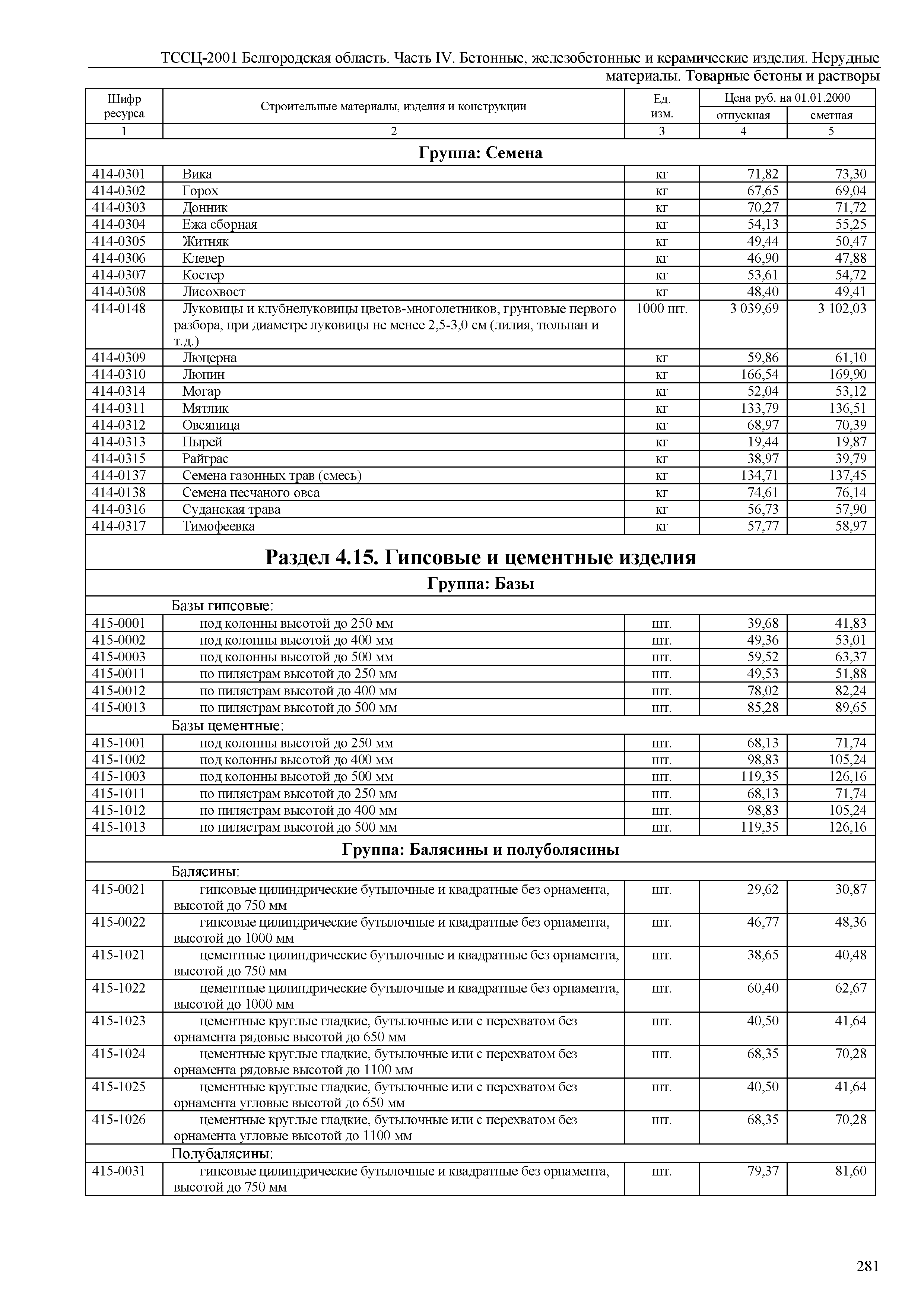
| Оглавление: | Раздел 4.01. Бетоны Подраздел: Бетоны готовые к употреблению Подраздел: Сухие бетонные смеси Раздел 4.02. Растворы строительные Подраздел: Растворы готовые к употреблению Подраздел: Сухие растворные смеси Раздел 4.03. Бетонные и железобетонные изделия Подраздел: Бетонные изделия Подраздел: Железобетонные изделия Раздел 4.04. Кирпич, камни, черепица Подраздел: Кирпич Подраздел: Камни, черепица Раздел 4.05. Известь и гипсовые вяжущие Раздел 4.06. Заполнители керамзитовые, шунгизитовые, аглопоритовые и друге Раздел 4.07. Земля, глина, торф, грунт, грунтовые смеси Раздел 4.08. Щебень, гравий, песок и смеси из природных материалов Подраздел: Щебень, гравий Подраздел: Песок Подраздел: Смеси Подраздел: Материалы из отсевов дробления изверженных и осадочных горных пород Раздел 4.09. Щебень, песок, шлак и смеси из металлургических шлаков Раздел 4.10. Продукция асфальтобетонная и асфальтобитумная Подраздел: Материалы Подраздел: Смеси асфальтобетонные дорожные, аэродромные и асфальтобетон Подраздел: Асфальт литой Раздел 4.11. Вода, пар, сжатый воздух, электроэнергия Раздел 4.12. Изделия облицовочные из природного камня Подраздел: Изделия архитектурно-строительные Подраздел: Плиты декоративные на основе природного камня Раздел 4.13. Камни бортовые, мостовые и стеновые из природного камня Раздел 4.14. Материалы для озеленения Раздел 4.15. Гипсовые и цементные изделия Алфавитный указатель |
| Утверждён: | 31.12.2014 Министерство строительства и жилищно-коммунального хозяйства Российской Федерации (937/пр) |



































































































































































































































































































































































































































































































































































