Скачать ГОСТ Р ИСО 11064-2-2015 Эргономическое проектирование центров управления. Часть 2. Принципы организации комплексов управленияДата актуализации: 01.01.2021
|
| Обозначение: | ГОСТ Р ИСО 11064-2-2015 |
| Обозначение англ: | GOST R ISO 11064-2-2015 |
| Статус: | введен впервые |
| Название рус.: | Эргономическое проектирование центров управления. Часть 2. Принципы организации комплексов управления |
| Название англ.: | Ergonomic design of control centres. Part 2. Principles for the arrangement of control suites |
| Дата добавления в базу: | 01.02.2017 |
| Дата актуализации: | 01.01.2021 |
| Дата введения: | 01.12.2016 |
| Область применения: | В стандарте установлены принципы эргономического проектирования центров управления и, в частности, компоновки помещений и пространства комплекса управления. Принципы основаны на анализе функций и задач, для решения которых используют зал управления и функционально связанные с ним помещения. Стандарт включает в себя идентификацию функциональных зон, вычисление необходимого пространства для каждой функциональной зоны, определение функциональных связей между ними и разработку предварительной компоновки комплекса управления с целью содействия выполнению всех видов деятельности комплекса управления. |
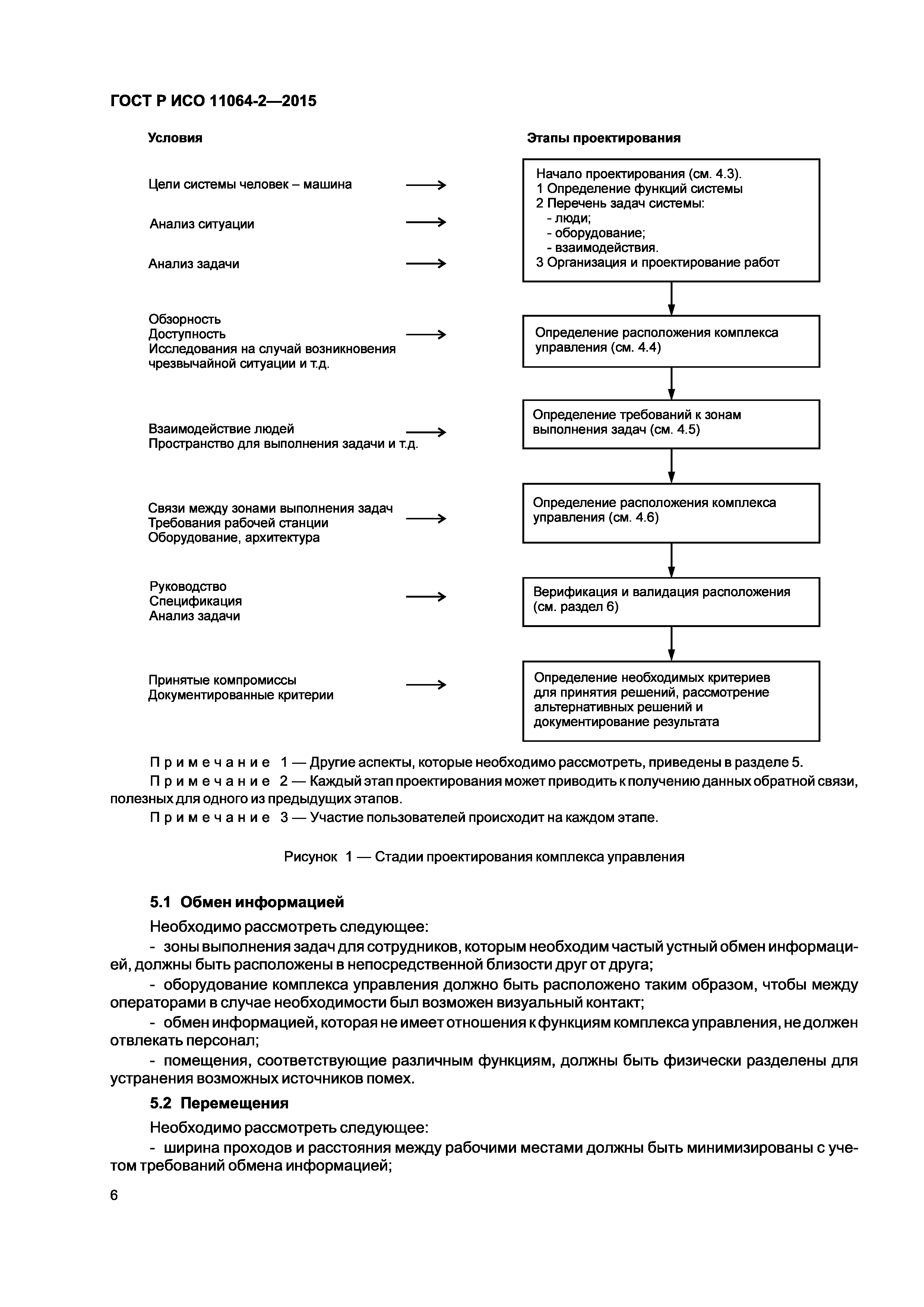
| Оглавление: | 1 Область применения 2 Нормативные ссылки 3 Термины и определения 4 Процедура проектирования компоновки комплекса управления 5 Эргономические аспекты, требующие исследования 6 Верификация и валидация расположения комплекса управления Приложение А (справочное) Некоторые детали исследований для конкретных помещений и зон выполнения задач Приложение ДА (справочное) Сведения о соответствии ссылочных международных стандартов национальным стандартам Российской Федерации Библиография |
| Разработан: | АО НИЦ КД |
| Утверждён: | 29.10.2015 Федеральное агентство по техническому регулированию и метрологии (1665-ст) |
| Издан: | Стандартинформ (2016 г. ) |
| Нормативные ссылки: |
|















