Скачать ГОСТ 33512.3-2015 Топливо твердое из бытовых отходов. Определение содержания влаги высушиванием. Часть 3. Влага аналитическаяДата актуализации: 01.01.2021
|
| Обозначение: | ГОСТ 33512.3-2015 |
| Обозначение англ: | GOST 33512.3-2015 |
| Статус: | введен впервые |
| Название рус.: | Топливо твердое из бытовых отходов. Определение содержания влаги высушиванием. Часть 3. Влага аналитическая |
| Название англ.: | Solid recovered fuels. Determination of moisture content using the oven dry method. Part 3. Moisture in general analysis sample |
| Дата добавления в базу: | 01.02.2017 |
| Дата актуализации: | 01.01.2021 |
| Дата введения: | 01.01.2017 |
| Область применения: | Стандарт распространяется на все виды твердого топлива из бытовых отходов и устанавливает метод определения аналитической влаги высушиванием. |
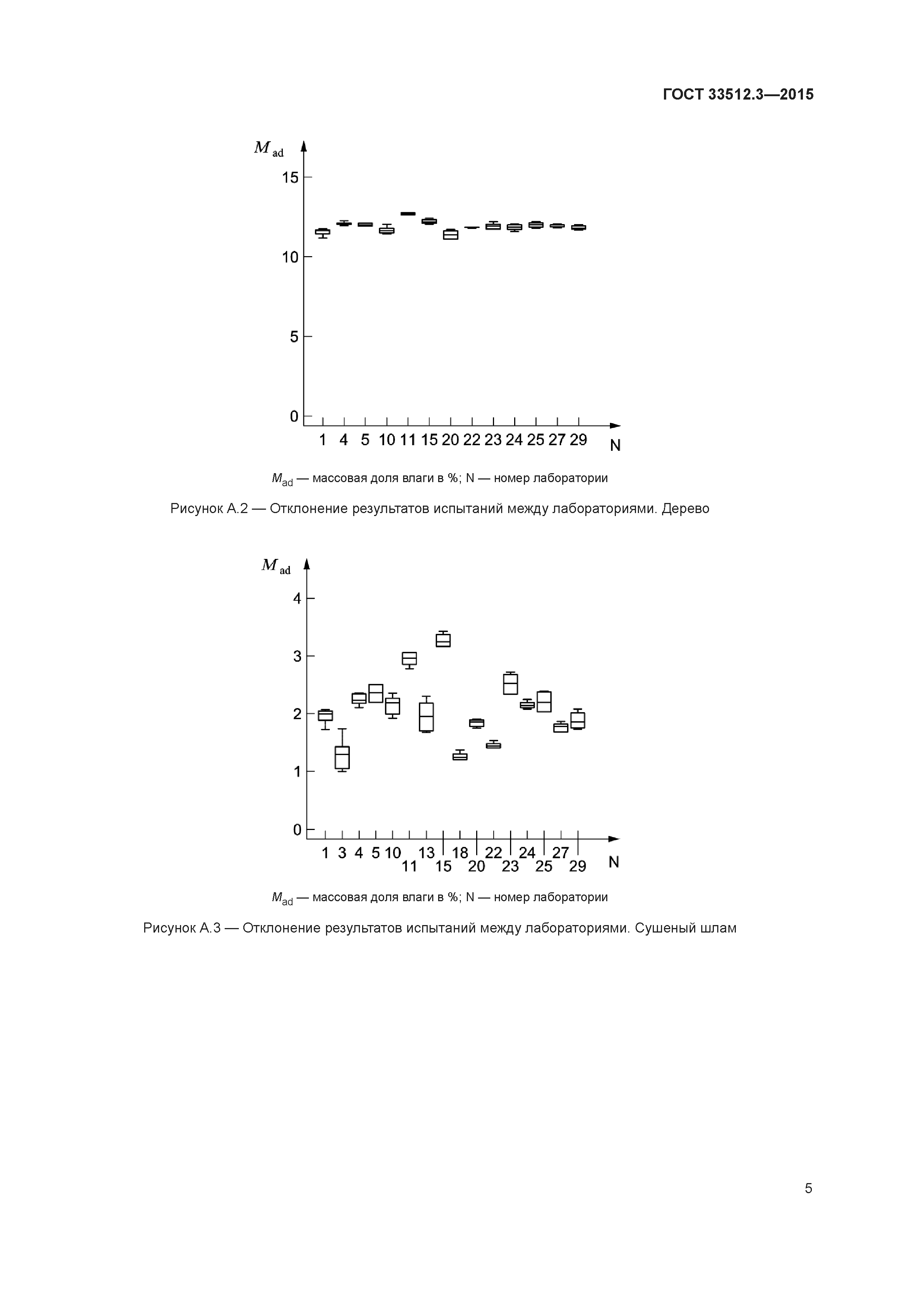
| Оглавление: | 1 Область применения 2 Нормативные ссылки 3 Термины и определения 4 Сущность метода 5 Оборудование и требования к нему 6 Подготовка проб 7 Проведение испытания 8 Обработка результатов 9 Прецизионность 10 Протокол испытаний Приложение А (справочное) Результаты межлабораторных испытаний Библиография |
| Разработан: | ФГУП ВНИИ СМТ |
| Утверждён: | 29.09.2015 Межгосударственный Совет по стандартизации, метрологии и сертификации (Inter-Governmental Council on Standardization, Metrology, and Certification 80-П) 28.10.2015 Федеральное агентство по техническому регулированию и метрологии (1656-ст) |
| Издан: | Стандартинформ (2016 г. ) |
| Нормативные ссылки: |
|










