Скачать ГОСТ Р 56691-2015 Безопасность потребительских товаров. Руководящие указания для поставщиков и распространителей продукцииДата актуализации: 01.01.2021
|
| Обозначение: | ГОСТ Р 56691-2015 |
| Обозначение англ: | GOST R 56691-2015 |
| Статус: | введен впервые |
| Название рус.: | Безопасность потребительских товаров. Руководящие указания для поставщиков и распространителей продукции |
| Название англ.: | Consumer product safety. Guidelines for producers and suppliers |
| Дата добавления в базу: | 01.02.2017 |
| Дата актуализации: | 01.01.2021 |
| Дата введения: | 01.09.2016 |
| Область применения: | Стандарт представляет собой практическое руководство для производителей и поставщиков продукции по оценке и управлении безопасностью потребительских товаров и содержит приложения, предназначенные для оценки рисков и управления рисками, для соблюдения необходимых требований. |
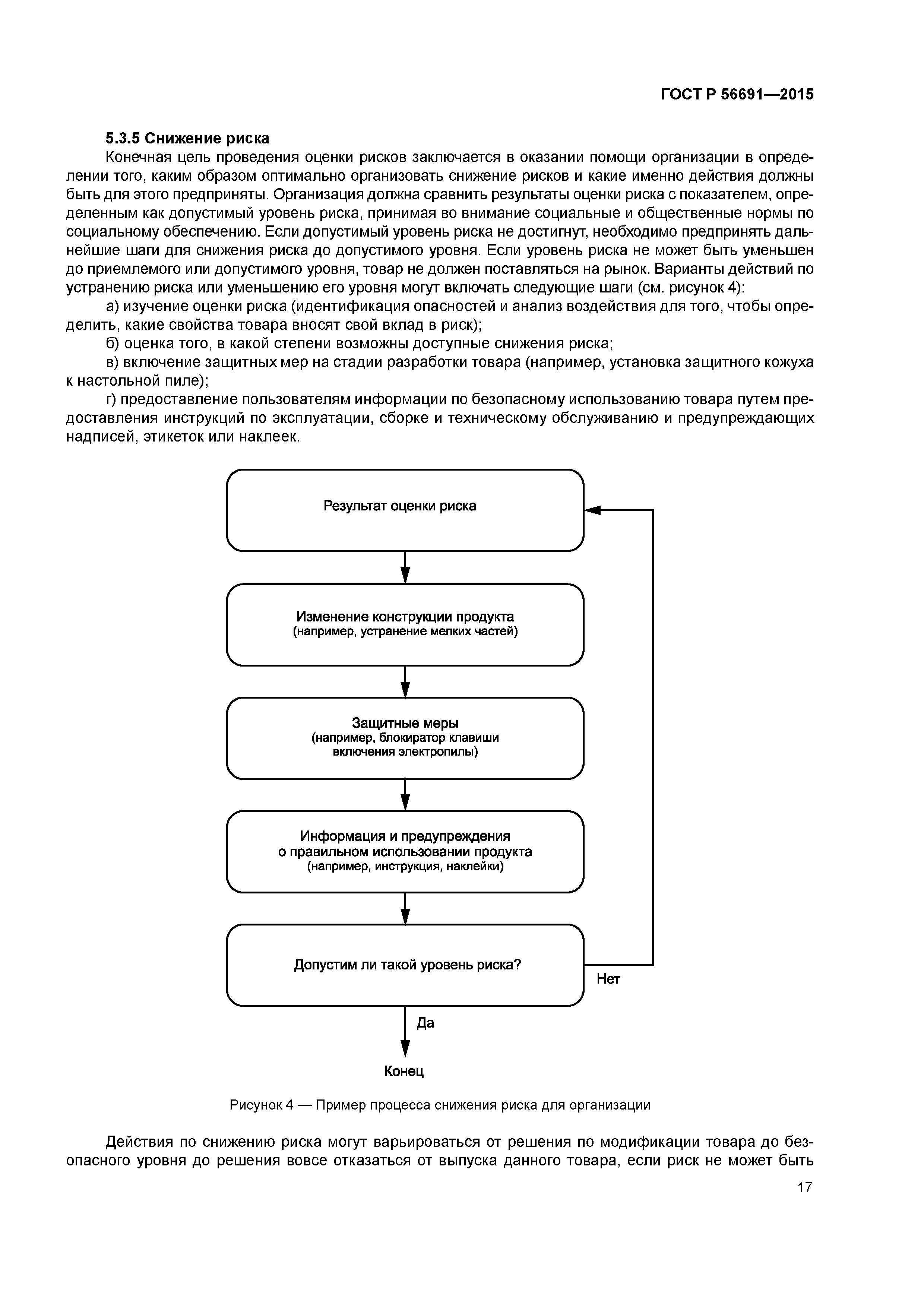
| Оглавление: | 1 Область применения 2 Термины и определения 3 Основные принципы при обеспечении безопасности потребительских товаров 3.1 Общие положения 3.2 Поддержание культуры безопасности продукции в рамках организации 3.3 Поддержание культуры безопасности продукции за пределами организации 3.4 Закладка принципов безопасности на этапе проектирования 3.5 Постоянное улучшение 3.6 Превентивный подход 3.7 Обмен информацией 4 Общие требования 4.1 Общие положения 4.2 Обеспечение безопасных потребительских товаров 4.3 Постоянное улучшение 4.4 Применимые законы, нормативы и стандарты 4.5 Идентификация и прослеживаемость потребительской продукции 4.6 Роль потребителя 5 Безопасность при разработке 5.1 Общие положения 5.2 Проектная спецификация 5.3 Учет требований безопасности при проектировании 5.4 Документирование процесса разработки товара 6 Безопасность продукции при производстве 6.1 Основные принципы в процессе производства 6.2 Планирование производства 6.3 Серийное производство 6.4 Постпроизводство 6.5 Поддержка производства 7 Безопасность при размещении товара на рынке 7.1 Общие положения 7.2 Проверка перед покупкой 7.3 Превентивный сбор данных и их анализ 7.4 Текущая оценка соответствия стандартам безопасности 7.5 Гарантия и сервисное обслуживание 7.6 Исследование инцидента Приложение А (справочное) Информация и руководящие указания для малых предприятий Приложение Б (справочное) Опасность и оценка риска Приложение В (справочное) План управления безопасностью продукции Библиография |
| Разработан: | АНО Российский институт потребительских испытаний (РИПИ) |
| Утверждён: | 09.11.2015 Федеральное агентство по техническому регулированию и метрологии (1738-ст) |
| Издан: | Стандартинформ (2016 г. ) |
| Нормативные ссылки: |
|







































