Скачать ГОСТ 33570-2015 Ресурсосбережение. Обращение с отходами. Методология идентификации. Зарубежный опытДата актуализации: 01.01.2021
|
| Обозначение: | ГОСТ 33570-2015 |
| Обозначение англ: | GOST 33570-2015 |
| Статус: | введен впервые |
| Название рус.: | Ресурсосбережение. Обращение с отходами. Методология идентификации. Зарубежный опыт |
| Название англ.: | Resources saving. Waste treatment. Identification methodology. International experience |
| Дата добавления в базу: | 01.02.2017 |
| Дата актуализации: | 01.01.2021 |
| Дата введения: | 01.08.2016 |
| Область применения: | Стандарт устанавливает положения и требования к методологии идентификации наилучших доступных технологий, в соответствии с которыми хозяйствующий субъект (юридическое лицо или индивидуальный предприниматель) добивается ресурсо- и энергосбережения с одновременным снижением техногенной нагрузки на окружающую среду. |
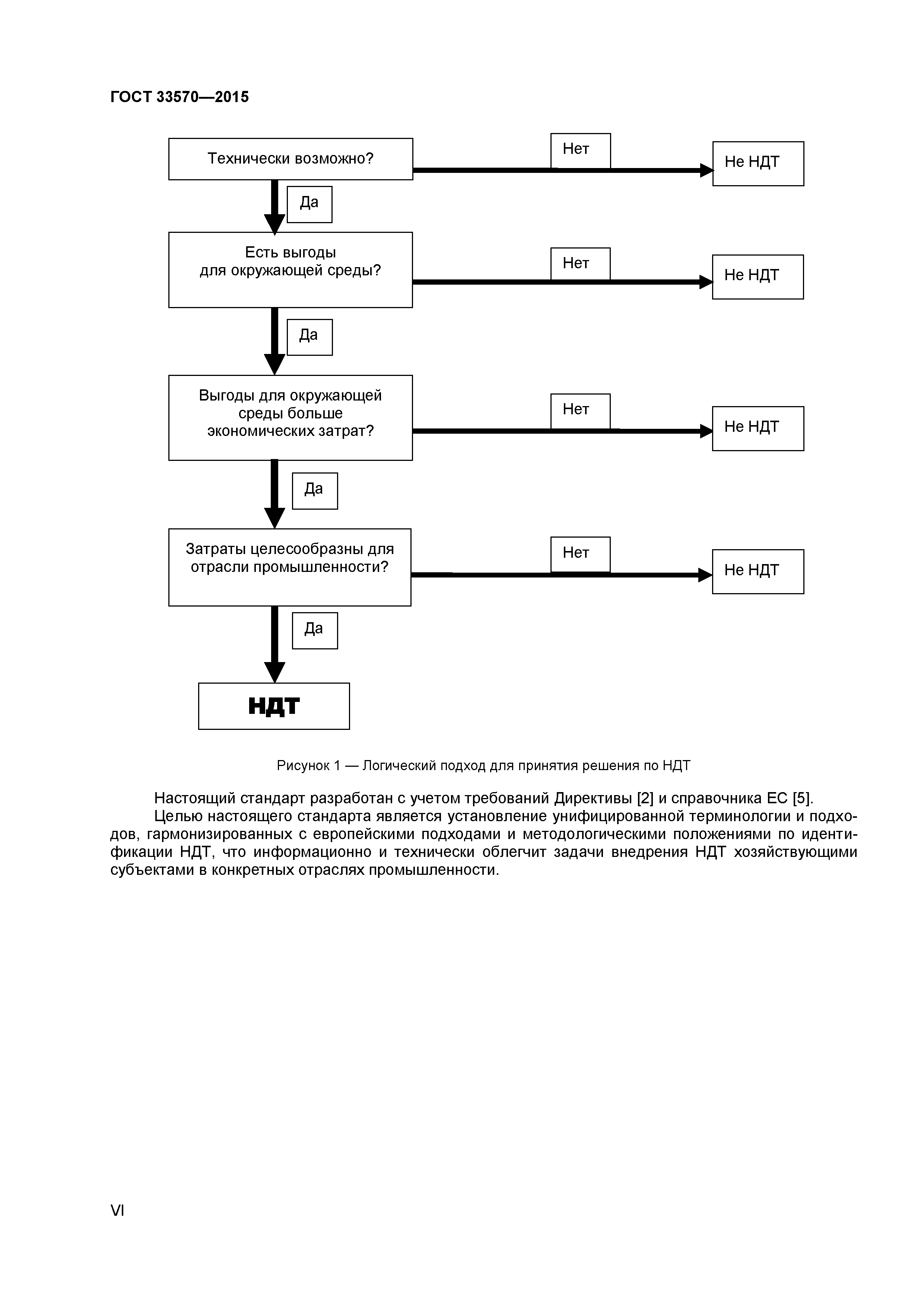
| Оглавление: | 1 Область применения 2 Нормативные ссылки 3 Термины, определения и сокращения 4 Методология и порядок оценки аспектов комплексного воздействия хозяйственной деятельности на окружающую среду и экономической целесообразности их внедрения при идентификации наилучшей доступной технологии 5 Внедрение наилучшей доступной технологии Приложение А (справочное) Положения директивы 2008/1/ЕС и европейской практики, принимаемые во внимание при выборе наилучших доступных технологий Приложение Б (справочное) Перечень справочников ЕС по наилучшим доступным технологиям Библиография |
| Разработан: | ФГУП ВНИИ СМТ |
| Утверждён: | 27.10.2015 Межгосударственный Совет по стандартизации, метрологии и сертификации (Inter-Governmental Council on Standardization, Metrology, and Certification 81-П) 12.11.2015 Федеральное агентство по техническому регулированию и метрологии (1774-ст) |
| Издан: | Стандартинформ (2016 г. ) |
| Нормативные ссылки: |



















