Скачать ГОСТ Р 56715.4-2015 Проектный менеджмент. Системы проектного менеджмента. Часть 4. Данные и модель данныхДата актуализации: 01.01.2021
|
| Обозначение: | ГОСТ Р 56715.4-2015 |
| Обозначение англ: | GOST R 56715.4-2015 |
| Статус: | введен впервые |
| Название рус.: | Проектный менеджмент. Системы проектного менеджмента. Часть 4. Данные и модель данных |
| Название англ.: | Project management. Project management systems. Part 4. Data, data model |
| Дата добавления в базу: | 01.02.2017 |
| Дата актуализации: | 01.01.2021 |
| Дата введения: | 01.07.2016 |
| Область применения: | Стандарт устанавливает модель данных программного обеспечения, применяемого в области проектного менеджмента и может использоваться совместно с DIN 69901-1, DIN 69901-2, DIN 69901-3 и DIN 69901-5: a) разработчиками программного обеспечения в области проектного менеджмента; b) разработчиками программного обеспечения, применяемого для обмена данными с другими системами в области проектного менеджмента; c) организациями, которые хотят внедрить, поддерживать и улучшить свое программное обеспечение в области проектного менеджмента; d) всеми лицами, в составе организации и/или вне ее, кто проводит консультации в отношении выбора подходящего программного обеспечения для системы проектного менеджмента. |
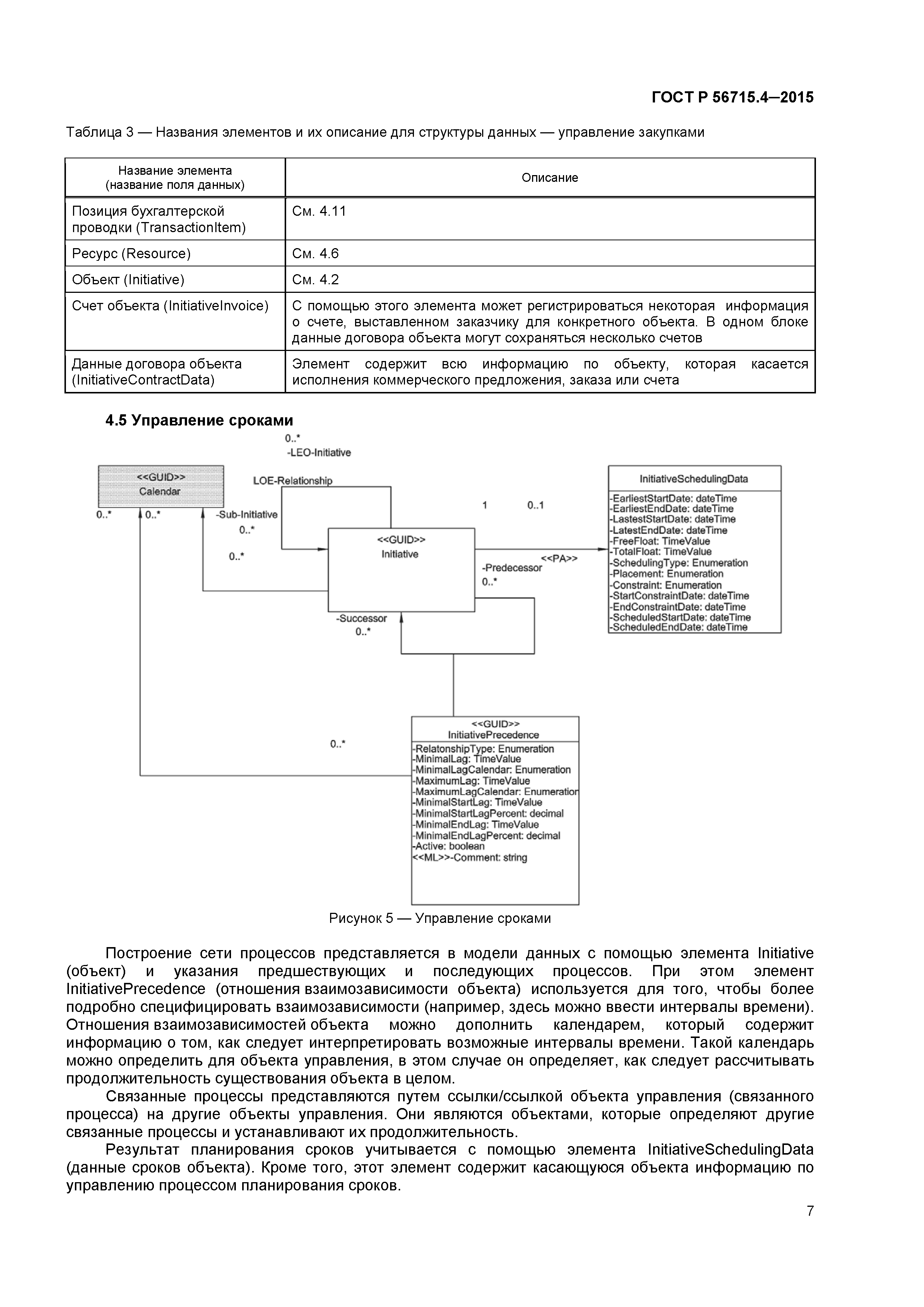
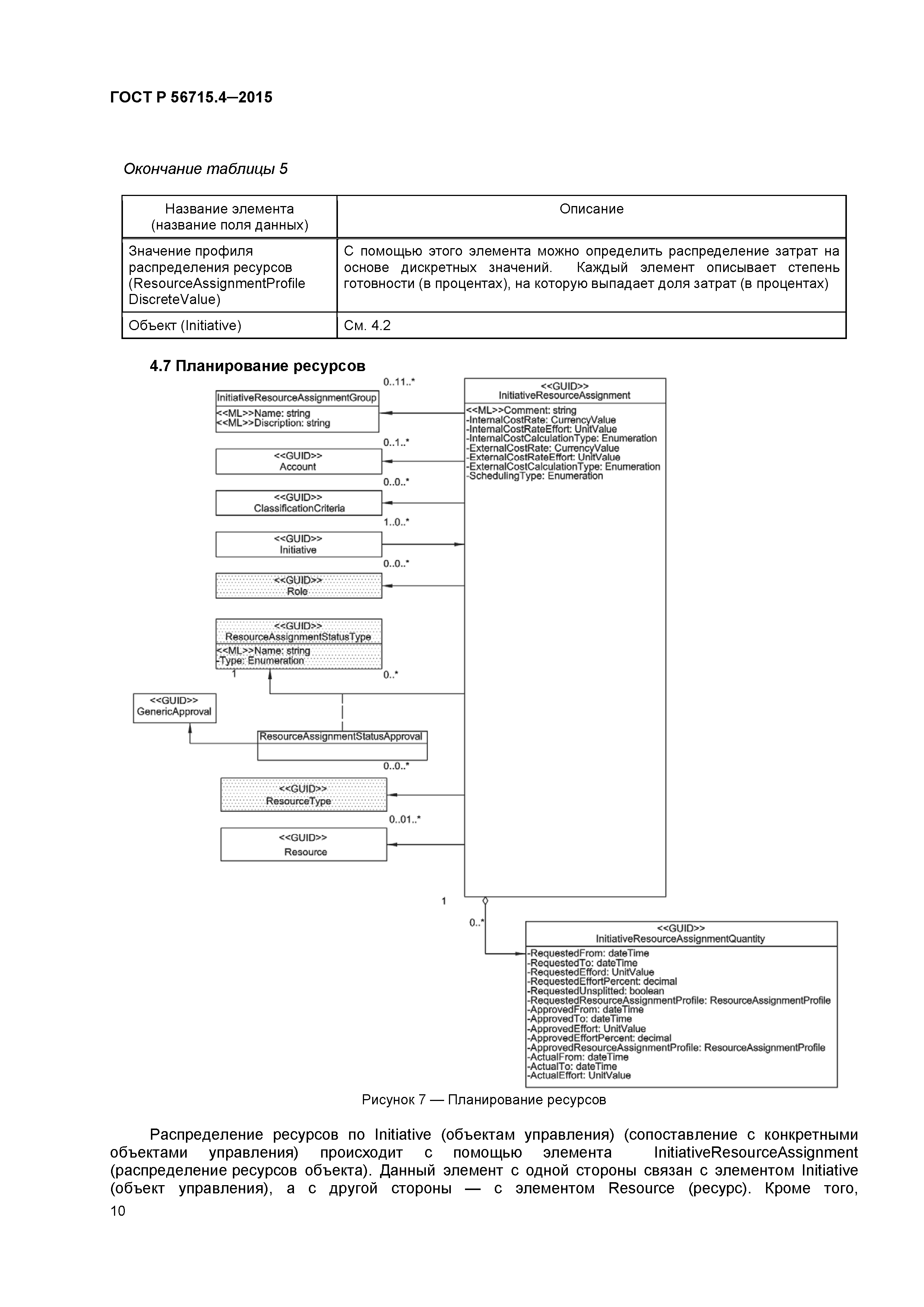
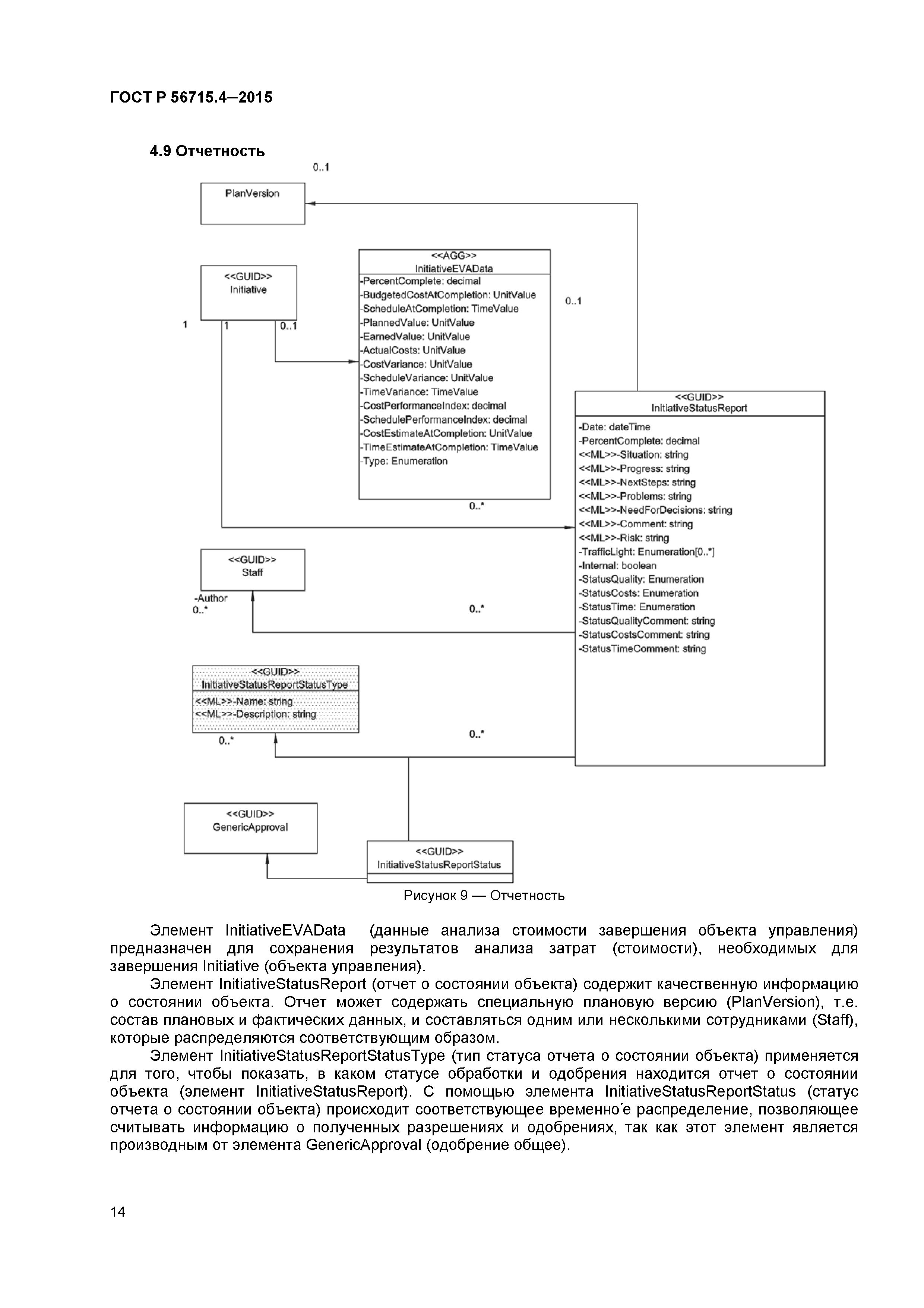
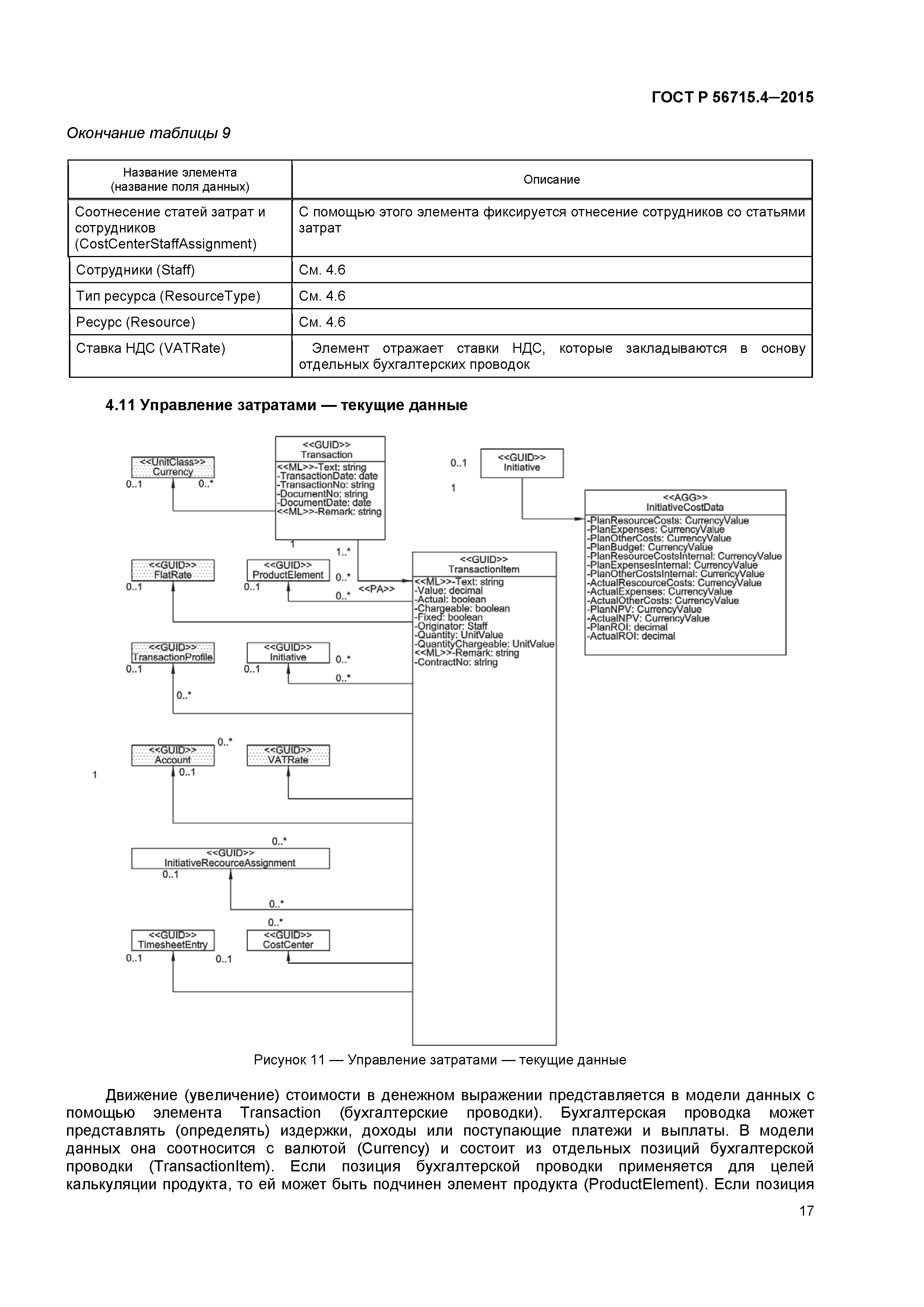
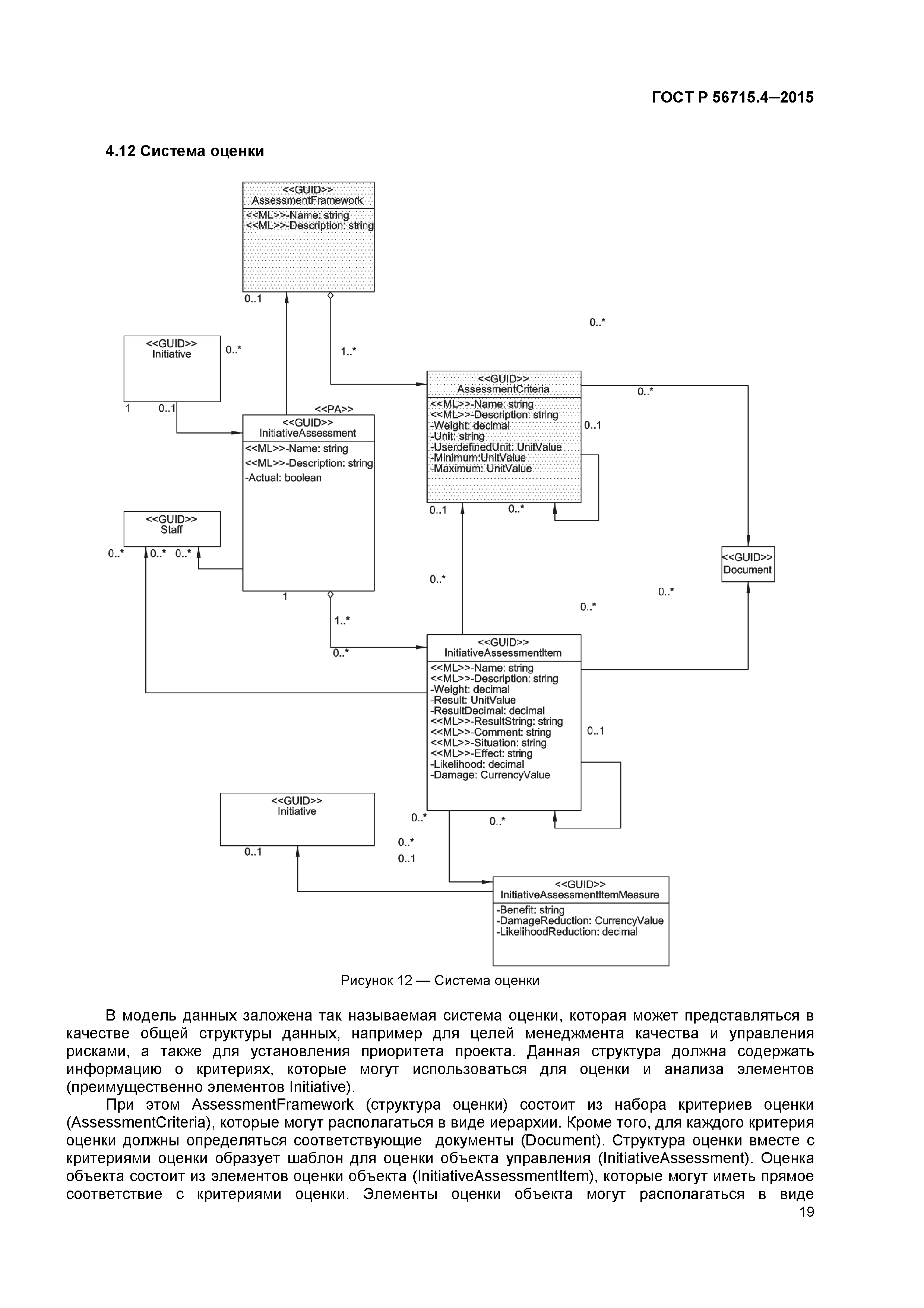
| Оглавление: | 1 Область применения 2 Нормативные ссылки 3 Термины и определения 4 Описание модели данных 4.1 Общие положения 4.2 Исходные данные проекта 4.3 Планирование продукта и результата 4.4 Управление закупками 4.5 Управление сроками 4.6 Исходные данные о ресурсах 4.7 Планирование ресурсов 4.8 Управление ресурсами 4.9 Отчетность 4.10 Управление затратами — исходные данные 4.11 Управление затратами — текущие данные 4.12 Система оценки 4.13 документация и сроки Приложение А (справочное) Наименования полей атрибута/класса и их соответствие отдельным моделям данных Приложение ДА (справочное) Сведения о соответствии ссылочных международного стандарта и стандартов DIN национальным стандартам Российской Федерации и действующему в этом качестве межгосударственному стандарту Библиография |
| Разработан: | АО НИЦ КД ЗАО Проектная ПРАКТИКА АНО Международная академия качества бизнеса |
| Утверждён: | 17.11.2015 Росстандарт (1827-ст) |
| Издан: | Стандартинформ (2016 г. ) |
| Нормативные ссылки: |
|






































