Скачать ГОСТ Р ИСО 13053-1-2015 Статистические методы. Количественные методы улучшения процессов Шесть сигм. Часть 1. Методология DMAICДата актуализации: 01.01.2021
|
| Обозначение: | ГОСТ Р ИСО 13053-1-2015 |
| Обозначение англ: | GOST R ISO 13053-1-2015 |
| Статус: | взамен |
| Название рус.: | Статистические методы. Количественные методы улучшения процессов "Шесть сигм". Часть 1. Методология DMAIC |
| Название англ.: | Statistical methods. Quantitative methods in process improvement «Six Sigma». Part 1. DMAIC methodology |
| Дата добавления в базу: | 01.02.2017 |
| Дата актуализации: | 01.01.2021 |
| Дата введения: | 01.07.2016 |
| Область применения: | В стандарте установлена методология совершенствования бизнеса, «Шесть сигм». |
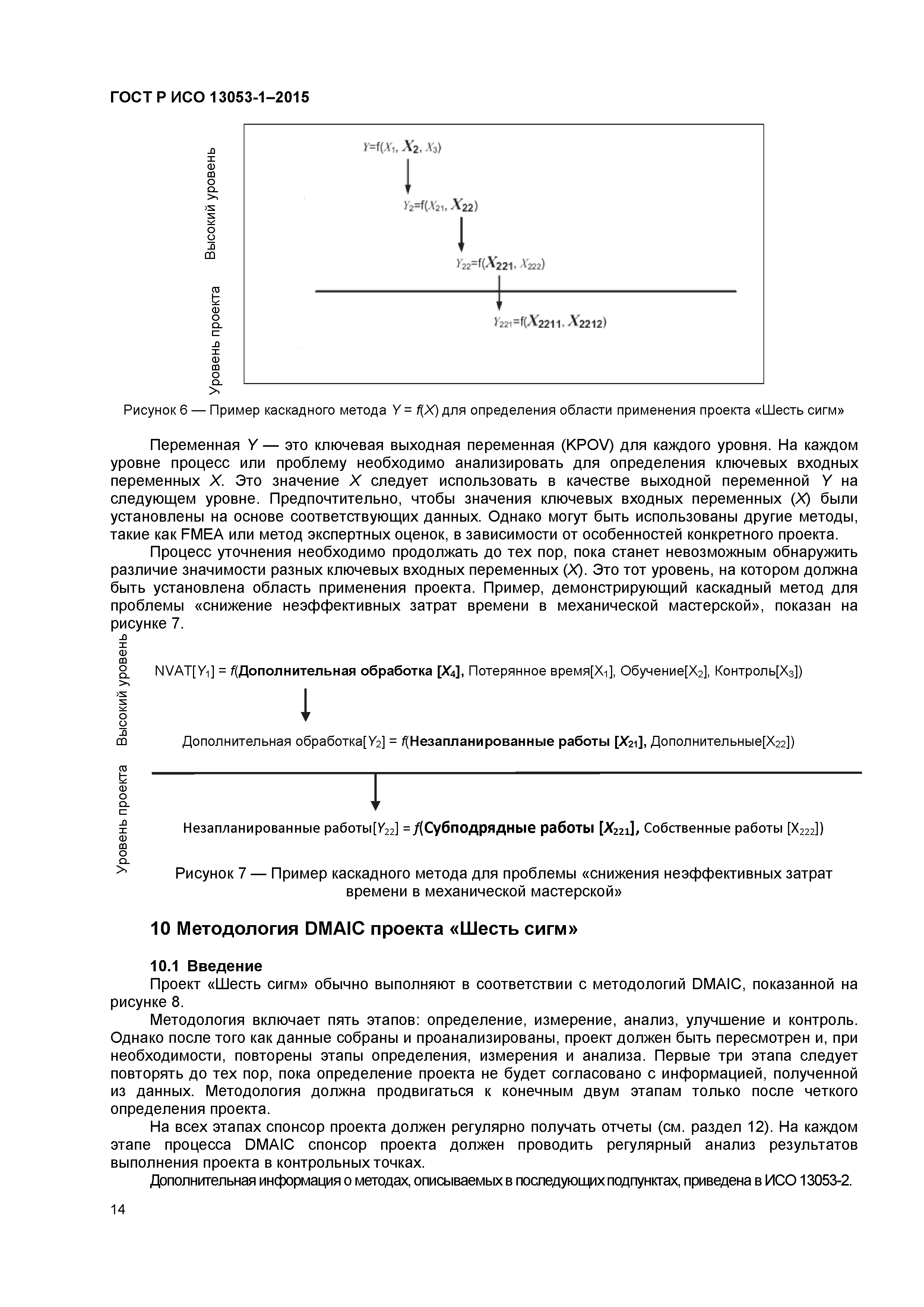
| Оглавление: | 1 Область применения 2 Нормативные ссылки 3 Обозначения и сокращения 4 Основы подхода концепции «Шесть сигм» в организации 5 Количественные показатели в методологии «Шесть сигм» 6 Функции персонала 7 Необходимая минимальная компетентность 8 Минимальные требования к обучению для выполнения проекта «Шесть сигм» 9 Определение приоритетности и выбор проекта «Шесть сигм» 10 Методология DMAIC проекта «Шесть сигм» 11 Методология проекта «Шесть сигм». Типовые методы 12 Мониторинг проекта «Шесть сигм» 13 Критические факторы для успеха проекта «Шесть сигм» 14 Инфраструктура «Шесть сигм» в организации Приложение А (справочное) Количество сигм Приложение В (справочное) Обучение Приложение ДА (справочное) Сведения о соответствии ссылочных международных стандартов национальным стандартам Российской Федерации Библиография |
| Разработан: | АО НИЦ КД |
| Утверждён: | 18.11.2015 Федеральное агентство по техническому регулированию и метрологии (1849-ст) |
| Издан: | Стандартинформ (2016 г. ) |
| Заменяет собой: | |
| Нормативные ссылки: |
|






























