Скачать Административный регламент предоставления Министерством энергетики Российской Федерации государственной услуги по утверждению нормативов удельного расхода топлива при производстве электрической энергии, а также нормативов удельного расхода топлива при производстве тепловой энергии источниками тепловой энергии в режиме комбинированной выработки электрической и тепловой энергии с установленной мощностью производства электрической энергии 25 мегаватт и болееДата актуализации: 01.01.2021 |
| Статус: | действует |
| Название рус.: | Административный регламент предоставления Министерством энергетики Российской Федерации государственной услуги по утверждению нормативов удельного расхода топлива при производстве электрической энергии, а также нормативов удельного расхода топлива при производстве тепловой энергии источниками тепловой энергии в режиме комбинированной выработки электрической и тепловой энергии с установленной мощностью производства электрической энергии 25 мегаватт и более |
| Дата добавления в базу: | 12.02.2016 |
| Дата актуализации: | 01.01.2021 |
| Дата введения: | 24.11.2015 |
| Область применения: | Административный регламент предоставления Министерством энергетики Российской Федерации государственной услуги по утверждению нормативов удельного расхода топлива при производстве электрической энергии, а также нормативов удельного расхода топлива при производстве тепловой энергии источниками тепловой энергии в режиме комбинированной выработки электрической и тепловой энергии с установленной мощностью производства электрической энергии 25 мегаватт и более определяет сроки и последовательность административных процедур (действий) предоставления государственной услуги |
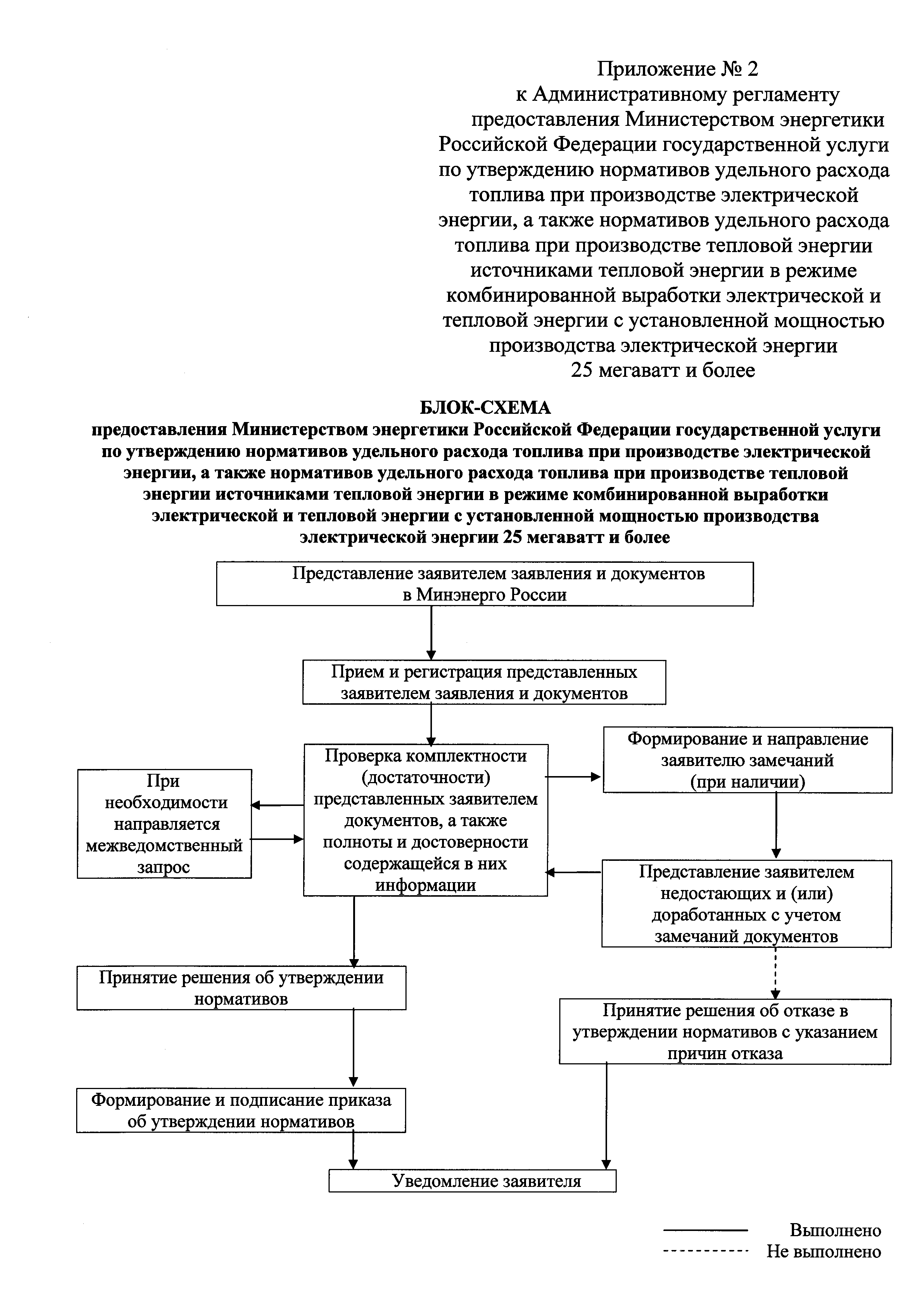
| Оглавление: | I. Общие положения II. Стандарт предоставления государственной услуги III. Состав, последовательность и сроки выполнения административных процедур, требования к порядку их выполнения, в том числе особенности выполнения административных процедур в электронной форме IV. Порядок и формы контроля за предоставлением государственной услуги V. Досудебный (внесудебный) порядок обжалования решений и действий (бездействия) Минэнерго России, а также его должностных лиц Приложение № 1. Заявление об утверждении нормативов удельного расхода топлива при производстве электрической энергии, а также нормативов удельного расхода топлива при производстве тепловой энергии источниками тепловой энергии в режиме комбинированной выработки электрической и тепловой энергии с установленной мощностью производства электрической энергии 25 мегаватт и более Приложение № 2. Блок-схема предоставления Министерством энергетики Российской Федерации государственной услуги по утверждению нормативов удельного расхода топлива при производстве электрической энергии, а также нормативов удельного расхода топлива при производстве тепловой энергии источниками тепловой энергии в режиме комбинированной выработки электрической и тепловой энергии с установленной мощностью производства электрической энергии 25 мегаватт и более |
| Утверждён: | 22.09.2015 Министерство энергетики РФ (Russian Federation Ministry of Energy 660) |
| Издан: | Официальный интернет-портал правовой информации (www.pravo.gov.ru) (от 13.11.2015 г. Номер опубликования: 0001201511130021) |
| Нормативные ссылки: |
|






























