Скачать ГОСТ 33244-2015 Информационные технологии. Обучение, образование и подготовка. Концептуальная эталонная модель компетенции и связанных объектовДата актуализации: 01.01.2021
|
| Обозначение: | ГОСТ 33244-2015 |
| Обозначение англ: | GOST 33244-2015 |
| Статус: | введен впервые |
| Название рус.: | Информационные технологии. Обучение, образование и подготовка. Концептуальная эталонная модель компетенции и связанных объектов |
| Название англ.: | Information technologies. Learning, education and training. Conceptual reference model for competency and related objects |
| Дата добавления в базу: | 01.02.2017 |
| Дата актуализации: | 01.01.2021 |
| Дата введения: | 01.11.2016 |
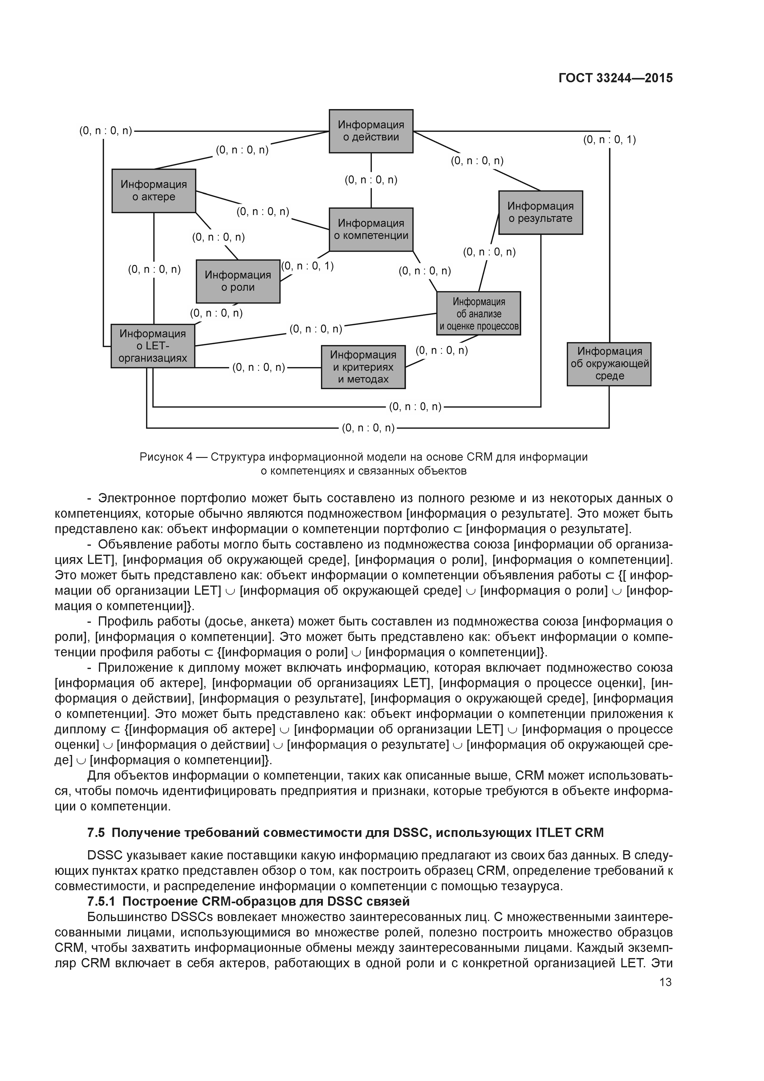
| Область применения: | Стандарт поддерживает концептуальную эталонную модель, которая включает в себя набор пунктов, атрибутов и отношений. Стандарт может быть использован для распознания связи между понятиями, представленными в ITLET системах, таких как компетенции, знания, навыки, возможности, квалификация, успеваемость, и цели обучения. Стандарт может быть использован для выявления связанных объектов, которые используются в передаче информации о компетенциях. Данный стандарт относится к обмену и объединению неоднородной информации, относящейся к области информационных технологических систем, использующихся в обучении, образовании и организации обучения, и их сообществ в целях управления, разработки, описания, передачи или оценки компетенций информации или других связанных объектах. Область применения дальнейшей разработки включает: - Стандарт поддерживает руководящие указания в отношении уровня подробности и точности, ожидания и необходимости к описанию отношений в концептуальной эталонной модели ITLET. Информационные технологические системы используются в обучении, образовании и организации обучения и их сообществ в целях управления, разработки, описания, передачи или оценки информации о компетенции или других связанных объектах в составе обучения, образования и подготовки. - Стандарт дает определение компетенции (ITLET), отдельно взятой компетенции, как это представляется в IT-системах. данное определение не является узконаправленным и признает уникальные проблемы представления информации о компетенциях в пределах IT-систем (некоторые из которых так же тщательно разобраны в 8.2). - Стандарт предназначен специально для внедрения необходимой контекстной информации, т.е. условий, которые могут, например, включать такую информацию, как место описания, отрезок времени, дата и время и т. д. - Обмен информацией о компетенции в области информационных технологических систем между организациями LET и их сообществами, унификация данных с их моделями в пределах области применения стандарта. - Стандарт рассматривает проблему конфиденциальности по отношению к системам информационных технологий, которые используются организациями LET в целях управления, разработки, описания, передачи или оценки информации о компетенциях или других связанных объектах. Стандарт обращает внимание на информацию об участниках, связанных элементах и соответствующих отношениях, включенных в состав информационных систем в LET, которые используются в целях управления разработки, описания, передачи или оценки информации о компетенции или других связанных объектах. |
| Оглавление: | 1 Область применения 1.1 Цель стандарта 1.2 Основное назначение стандарта 1.3 Область применения - аспекты, не рассматриваемые в настоящем стандарте 2 Термины и определения 3 Обозначения и сокращения 4 Введение в концептуальную эталонную модель ITLET для информации о компетенции и связанных объектов 5 Классы концептуальной эталонной модели ITLET для информации о компетенции и связанных объектов 5.1 Введение и подход 5.2 Определение классов и их описание 6 Свойства классов в концептуальной эталонной модели ITLET для информации о компетенции и связанных объектов 6.1 Введение и подход 6.2 Определение свойств и их описание 7 Использование концептуальной эталонной модели 7.1 Краткое описание 7.2 Обмен информацией о компетенции через цифровую сеть передачи данных 7.3 Объединение информации о компетенции и использование объектов информации о компетенции 7.4 Наследование DSSC запросов требований из ITLET CRM 7.5 Получение требований совместимости для DSSC, использующих ITLET CRM 7.6 Использование метаданных для построения объектов информации о компетенции 8 Представление информации о компетенции в составе систем информационных технологий, используемых для обучения, образования и подготовки 8.1 Краткое описание 8.2 Проблемы стандартизации для информации о компетенции в пределах контекста ITLET 8.3 Природа информации о компетенции, рассматриваемая в пределах контекста ITLET и обозначений информации о компетенции 9 Потенциальные области для продвижения международной стандартизации Приложение ДА (справочное) Сопоставление структуры настоящего стандарта со структурой примененного в нем международного документа Библиография |
| Разработан: | ФГБОУ ВПО Московский государственный технологический университет СТАНКИН |
| Утверждён: | 18.06.2015 Межгосударственный Совет по стандартизации, метрологии и сертификации (Inter-Governmental Council on Standardization, Metrology, and Certification 47) 17.11.2015 Федеральное агентство по техническому регулированию и метрологии (1833-ст) |
| Издан: | Стандартинформ (2016 г. ) Стандартинформ (2018 г. ) |






























