Скачать Нормативы утилизации отходов от использования товаров

Дата актуализации: 01.01.2021

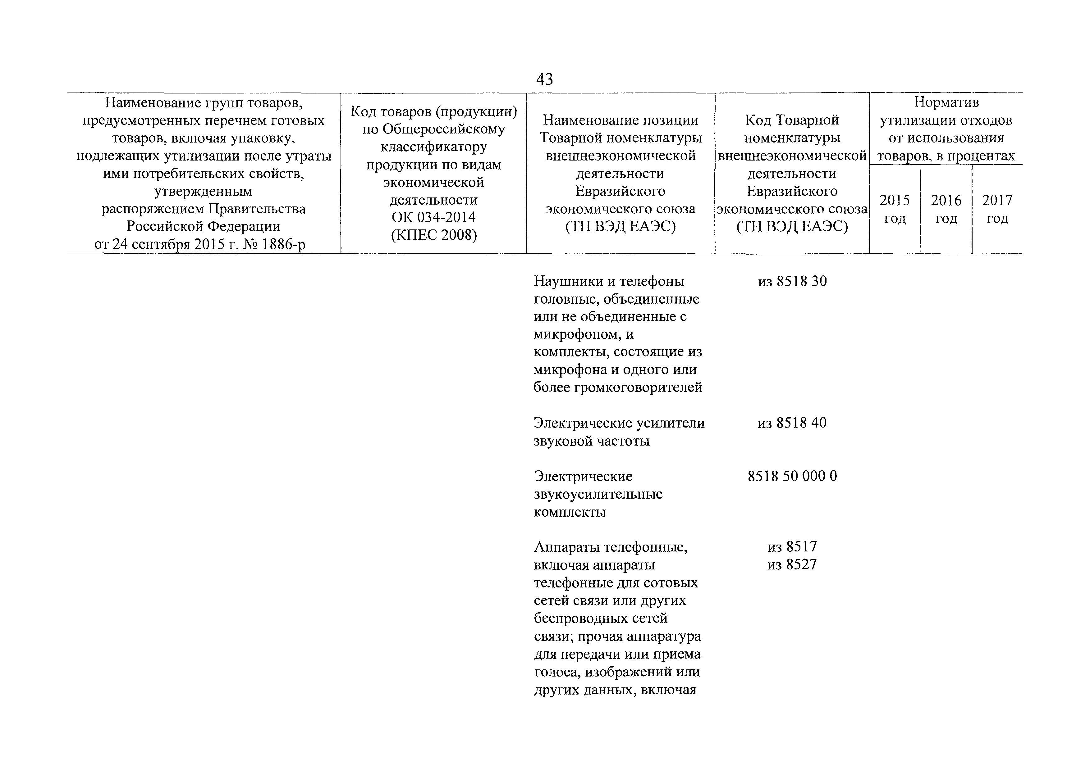
Нормативы утилизации отходов от использования товаров

Статус:утратил силу
Название рус.:Нормативы утилизации отходов от использования товаров
Дата добавления в базу:12.02.2016
Дата актуализации:01.01.2021
Дата введения:09.12.2015
Дата окончания срока действия:01.01.2018
Утверждён:04.12.2015 Правительство Российской Федерации (2491-р)
Издан: Официальный интернет-портал правовой информации (www.pravo.gov.ru) (от 09.12.2015 г. Номер опубликования: 0001201512090006)
Нормативные ссылки: