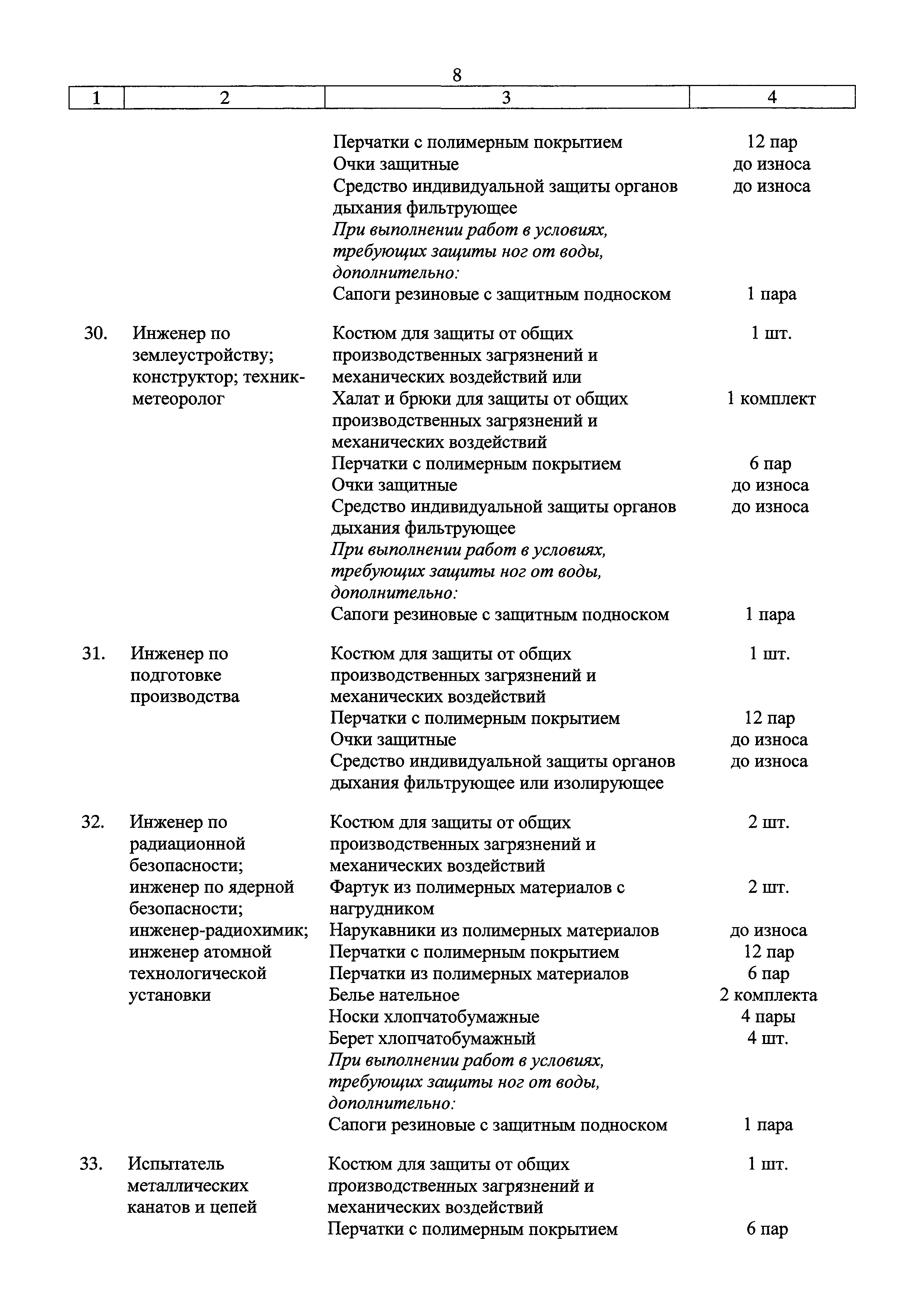
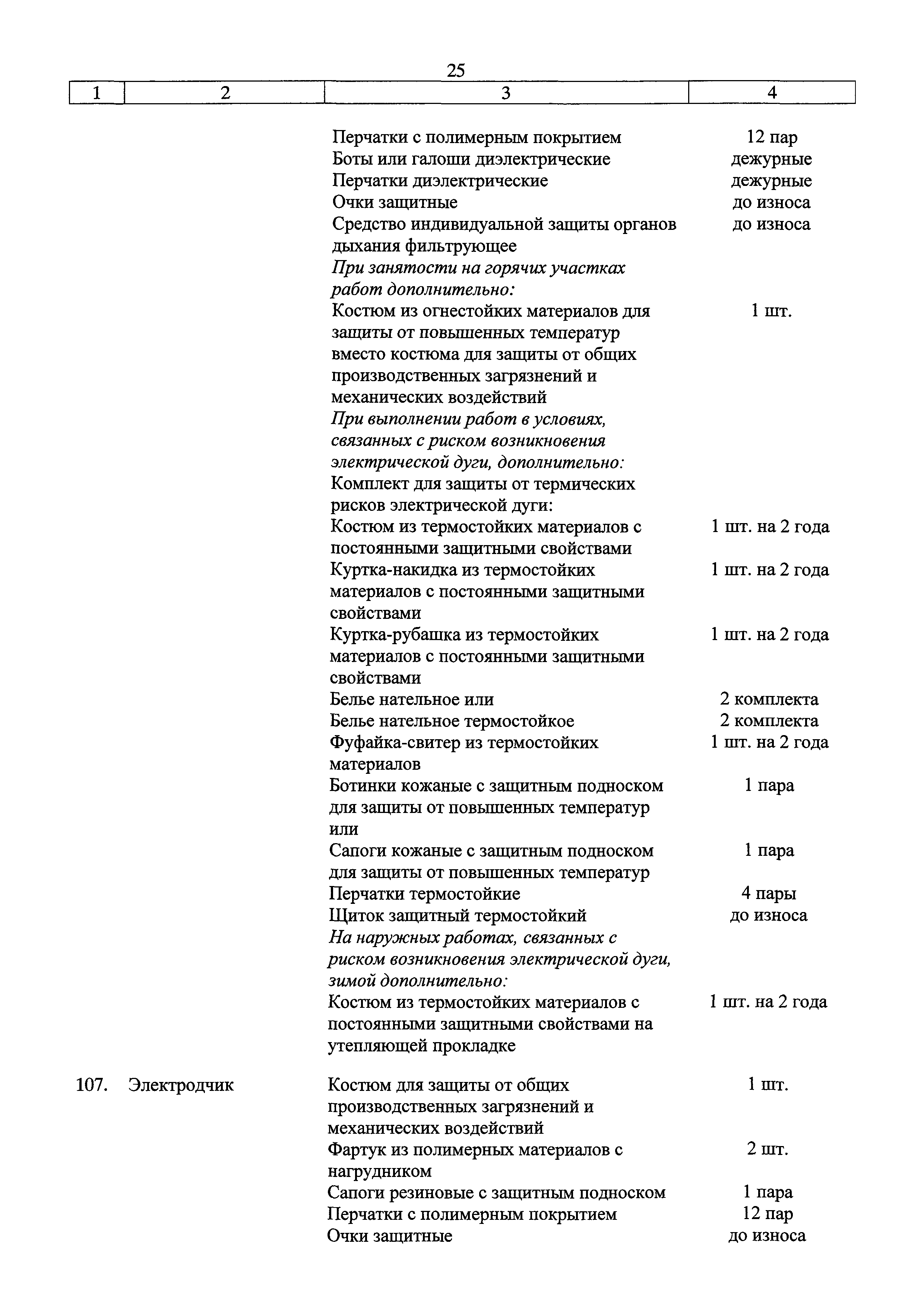
Скачать Типовые нормы бесплатной выдачи специальной одежды, специальной обуви и других средств индивидуальной защиты работникам судостроительных и судоремонтных организаций, занятым на работах с вредными и (или) опасными условиями труда, а также на работах, выполняемых в особых температурных условиях или связанных с загрязнениемДата актуализации: 01.01.2021
Типовые нормы бесплатной выдачи специальной одежды, специальной обуви и других средств индивидуальной защиты работникам судостроительных и судоремонтных организаций, занятым на работах с вредными и (или) опасными условиями труда, а также на работах, выполняемых в особых температурных условиях или связанных с загрязнением| Статус: | действует | | Название рус.: | Типовые нормы бесплатной выдачи специальной одежды, специальной обуви и других средств индивидуальной защиты работникам судостроительных и судоремонтных организаций, занятым на работах с вредными и (или) опасными условиями труда, а также на работах, выполняемых в особых температурных условиях или связанных с загрязнением | | Дата добавления в базу: | 12.02.2016 | | Дата актуализации: | 01.01.2021 | | Дата введения: | 09.03.2016 | | Утверждён: | 03.11.2015 Министерство труда и социальной защиты РФ (844н)
| | Издан: | Официальный интернет-портал правовой информации (www.pravo.gov.ru) (от 08.12.2015 г. Номер опубликования: 0001201512080034)
|
                             
|