Скачать ГОСТ 33645-2015 Методы испытаний химической продукции, представляющей опасность для окружающей среды. Оценка метаморфоза земноводныхДата актуализации: 01.01.2021
|
| Обозначение: | ГОСТ 33645-2015 |
| Обозначение англ: | GOST 33645-2015 |
| Статус: | введен впервые |
| Название рус.: | Методы испытаний химической продукции, представляющей опасность для окружающей среды. Оценка метаморфоза земноводных |
| Название англ.: | Testing of chemicals of environmental hazard. The amphibian metamorphosis assay |
| Дата добавления в базу: | 01.02.2017 |
| Дата актуализации: | 01.01.2021 |
| Дата введения: | 01.09.2016 |
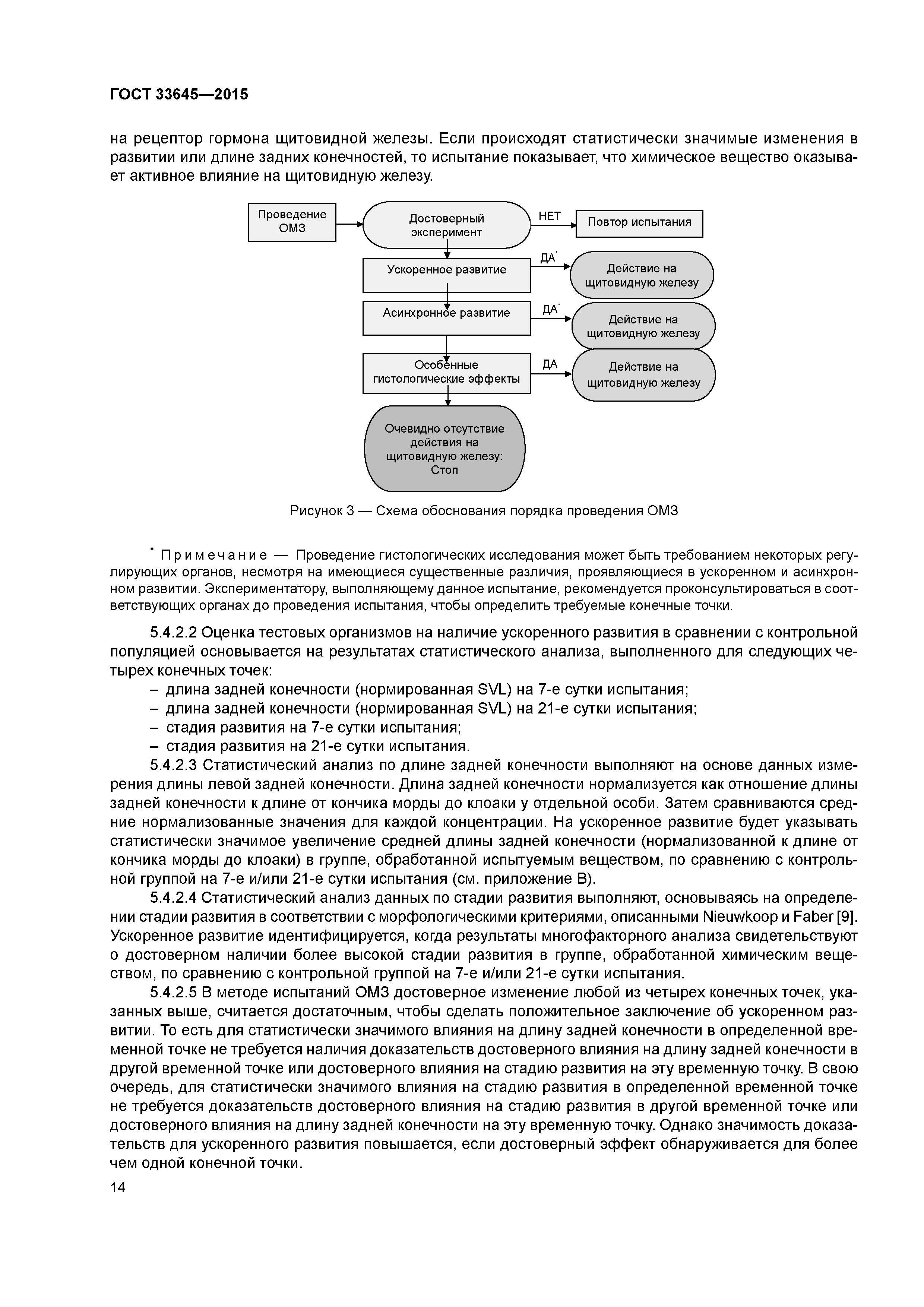
| Область применения: | Стандарт устанавливает процедуру оценки метаморфоза земноводных (ОМЗ). |
| Оглавление: | 1 Область применения 2 Принцип метода 3 Описание метода 3.1 Тестовые виды 3.2 Оборудование и материалы 3.3 Химическая контролируемость 3.4 Система воздействия 3.5 Содержание организмов 3.6 Химический анализ 3.7 Внесение испытуемых веществ в систему 3.8 Выбор испытуемых концентраций 4 Проведение испытания 4.1 Начало и проведение испытания 4.2 Наблюдения 4.3 Определение биологических конечных точек 4.4 Основные конечные точки 5 Данные и отчет о проведении испытания 5.1 Сбор данных 5.2 Критерии качества и приемлемости/достоверности испытания 5.3 Достоверность испытания 5.4 Схема обоснования порядка проведения ОМЗ 5.5 Статистические анализы 5.6 Обсуждение данных специфических анализов Приложение А (рекомендуемое) Экспериментальные условия оценки метаморфоза земноводных в течение 21 сут Приложение Б (рекомендуемое) Отчетные таблицы для первичных и итоговых данных. Приложение В (рекомендуемое) Альтернативный анализ массы и длины в случае наличия поздней стадии развития у более чем 20 % головастиков при одной или более концентрациях испытуемого вещества Приложение ДА (справочное) Сравнение структуры международного документа со структурой настоящего стандарта Библиография |
| Разработан: | ФГУП ВНИИ СМТ |
| Утверждён: | 27.10.2015 Межгосударственный Совет по стандартизации, метрологии и сертификации (Inter-Governmental Council on Standardization, Metrology, and Certification 81-П) 18.11.2015 Федеральное агентство по техническому регулированию и метрологии (1866-ст) |
| Издан: | Стандартинформ (2016 г. ) |









































