Скачать Национальный доклад О ходе и результатах реализации в 2014 году государственной программы развития сельского хозяйства и регулирования рынков сельскохозяйственной продукции, сырья и продовольствия на 2013 - 2020 годыДата актуализации: 01.01.2021
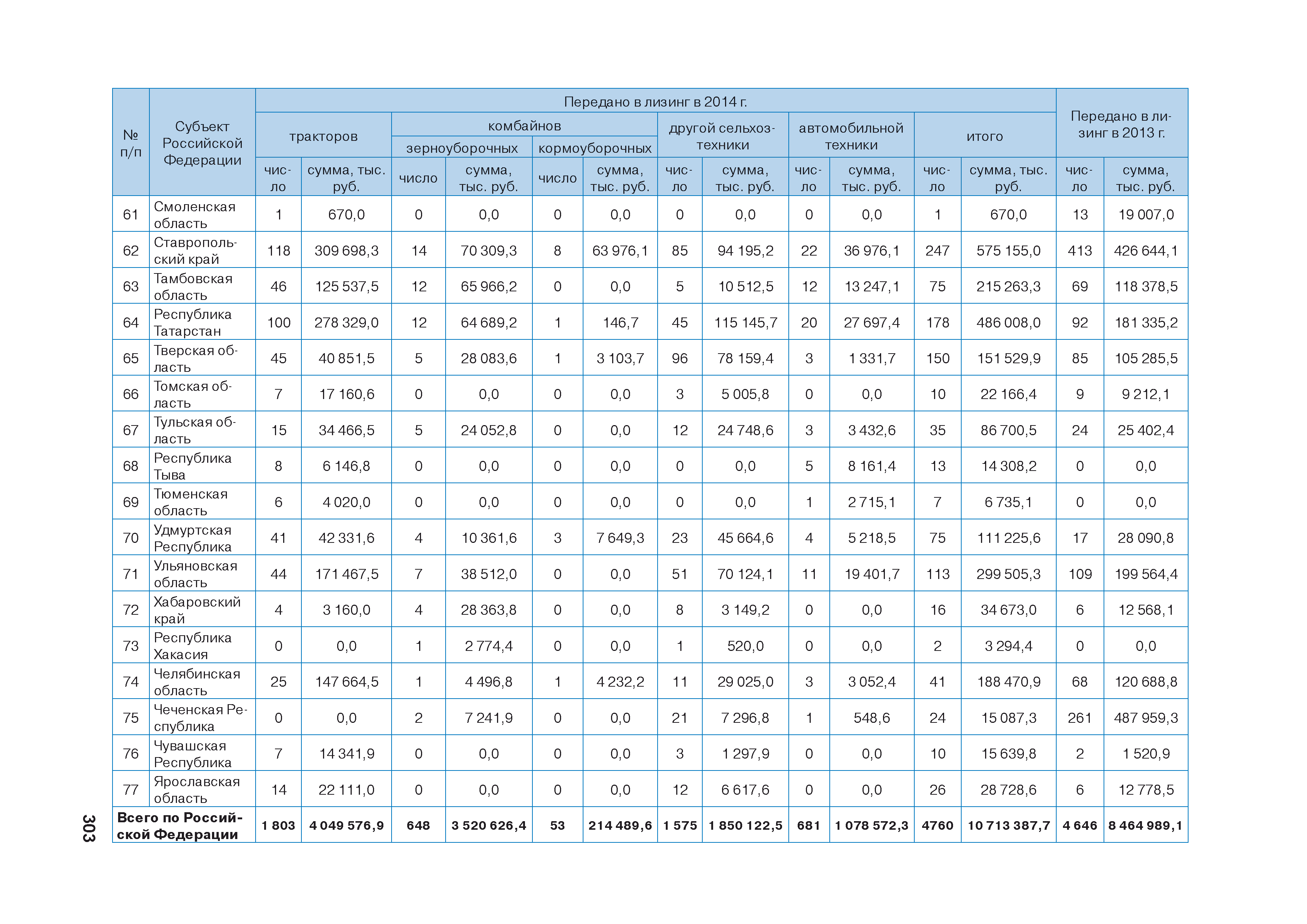
Национальный доклад "О ходе и результатах реализации в 2014 году государственной программы развития сельского хозяйства и регулирования рынков сельскохозяйственной продукции, сырья и продовольствия на 2013 - 2020 годы"| Статус: | действует | | Название рус.: | Национальный доклад "О ходе и результатах реализации в 2014 году государственной программы развития сельского хозяйства и регулирования рынков сельскохозяйственной продукции, сырья и продовольствия на 2013 - 2020 годы" | | Дата добавления в базу: | 12.02.2016 | | Дата актуализации: | 01.01.2021 | | Область применения: | Государственная программа определяет цели, задачи и направления развития сельского хозяйства, финансовое обеспечение и механизмы реализации предусмотренных мероприятий и показатели их результативности. Государственная программа предусматривает комплексное развитие всех отраслей и подотраслей, а также сфер деятельности агропромышленного комплекса с учетом членства России во Всемирной торговой организации, ее участия в региональных объединениях на экономическом пространстве СНГ. При этом выделяются два уровня приоритетов. | | Оглавление: | Раздел 1. Цели государственной программы и динамика развития сельского хозяйства Раздел 2. Подпрограмма "Развитие подотрасли растениеводства, переработки и реализации продукции растениеводства" 2.1. Основное мероприятие "Развитие элитного семеноводства" 2.2. Основное мероприятие "Развитие садоводства, поддержка закладки и ухода за многолетними насаждениями и виноградниками" 2.3. Основное мероприятие "Развитие производства продукции растениеводства в защищенном грунте" 2.4. Основное мероприятие "Поддержка экономически значимых программ субъектов Российской Федерации в области растениеводства" 2.5. Основное мероприятие "Поддержка сельскохозяйственных товаропроизводителей в районах Крайнего Севера и приравненных к ним местностях" 2.6. Основное мероприятие "Государственная поддержка кредитования подотрасли растениеводства, переработки ее продукции, развития инфраструктуры и логистического обеспечения рынков продукции растениеводства" 2.7. Основное мероприятие "Управление рисками в подотраслях растениеводства" 2.8. Основное мероприятие "Поддержка доходов сельскохозяйственных товаропроизводителей в области растениеводства" 2.9. Основное мероприятие "Регулирование рынков продукции растениеводства" Раздел 3. Подпрограмма "Развитие подотрасли животноводства, переработки и реализации продукции животноводства" 3.1. Ресурсное обеспечение подпрограммы 3.2. Основное мероприятие "Племенное животноводство" 3.3. Основное мероприятие "Развитие молочного скотоводства" 3.4. Основное мероприятие "Развитие овцеводства и козоводства" 3.5. Основное мероприятие "Развитие северного оленеводства и табунного коневодства" 3.6. Предупреждение распространения и ликвидация африканской чумы свиней на территории Российской Федерации 3.7. Основное мероприятие "Обеспечение проведения противоэпизоотических мероприятий в субъектах Российской Федерации" 3.8. Основное мероприятие "Поддержка экономически значимых региональных программ развития сельского хозяйства субъектов Российской Федерации в области животноводства" 3.9. Основное мероприятие "Государственная поддержка кредитования подотрасли животноводства, переработки ее продукции, развития инфраструктуры и логистического обеспечения рынков продукции животноводства" 3.10.Основное мероприятие "Управление рисками в подотраслях животноводства" 3.11. Основное мероприятие "Регулирование рынков продукции животноводства" Раздел 4. Подпрограмма "Развитие мясного скотоводства" 4.1. Ресурсное обеспечение подпрограммы 4.2. Выполнение целевых индикаторов и показателей 4.3. Развитие племенной базы мясного скотоводства 4.4. Поддержка экономически значимых программ субъектов Российской Федерации в области мясного скотоводства Раздел 5. Подпрограмма "Поддержка малых форм хозяйствования" 5.1. Выполнение задач и целевых показателей(индикаторов) подпрограммы 5.2. Ресурсное обеспечение подпрограммы 5.3. Основное мероприятие "Поддержка начинающих фермеров" 5.4. Основное мероприятие "Развитие семейных животноводческих ферм на базе крестьянских (фермерских) хозяйств" 5.5. Основное мероприятие "Государственная поддержка кредитования малых форм хозяйствования" 5.6. Основное мероприятие "Оформление земельных участков в собственность крестьянских (фермерских) хозяйств" 5.7. Основное мероприятие "Грантовая поддержка сельскохозяйственных потребительских кооперативов на развитие материально-технической базы" 5.8. Дополнительная поддержка малых форм хозяйствования Раздел 6. Подпрограмма "Техническая и технологическая модернизация, инновационное развитие" 6.1. Ресурсное обеспечение подпрограммы "Техническая и технологическая модернизация, инновационное развитие" 6.2. Достижение целей и выполнение целевых индикаторов и показателей подпрограммы "Техническая и технологическая модернизация, инновационное развитие" 6.3. Обновление парка сельскохозяйственной техники 6.4. Реализация перспективных инновационных проектов в агропромышленном комплексе Раздел 7. Подпрограмма "Обеспечение реализации государственной программы развития сельского хозяйства и регулирования рынков сельскохозяйственной продукции, сырья и продовольствия на 2013 - 2020 годы 7.1. Основное мероприятие "Осуществление мер по совершенствованию системы финансового оздоровления сельскохозяйственных товаропроизводителей" 7.2. Основное мероприятие "Повышение эффективности системы налогообложения, направленной на стимулирование инновационной и инвестиционной деятельности" 7.3. Формирование государственных информационных ресурсов в сферах обеспечения продовольственной безопасности и управления агропромышленным комплексом 7.4. Выполнение государственных услуг и работ в рамках реализации Государственной программы Раздел 8. Федеральная целевая программа устойчивое развитие сельских территорий на 2014 - 2017 годы и на период до 2020 года 8.1. Ресурсное обеспечение 8.2. Выполнение основных целевых индикаторов и показателей 8.3. Региональные особенности и проблемы реализации 8.4. Эффективность реализации федеральной целевой программы Раздел 9. Федеральная целевая программа развитие мелиорации земель сельскохозяйственного назначения России на 2014 - 2020 годы 9.1. Ресурсное обеспечение программы в 2014 году 9.2. Выполнение целевых показателей (индикаторов) 9.3. Региональные особенности и проблемы реализации 9.4. Эффективность реализации федеральной целевой программы Раздел 10. Прогноз развития сельского хозяйства на 2015 годы Раздел 11. Выводы и предложения Приложение 2.1. Финансирование субсидий на возмещение части процентной ставки по краткосрочным кредитам (займам) на развитие растениеводства, переработки и реализации продукции растениеводства в 2014 г., млн руб. Приложение 2.2. Кредитование сезонных полевых работ (по состоянию на 31 декабря), млн руб. Приложение 2.3. Финансирование субсидий на возмещение части процентной ставки по инвестиционным кредитам (займам) на развитие растениеводства, переработки и развития инфраструктуры и логистического обеспечения рынков продукции растениеводства в 2014 г., млн руб. Приложение 2.4. Финансирование субсидий на возмещение части процентной ставки по инвестиционным кредитам (займам) на развитие растениеводства, переработки и развития инфраструктуры и логистического обеспечения рынков продукции растениеводства в 2014 г., млн руб. Приложение 3.1. Группировка субъектов Российской Федерации по темпам прироста (сокращения) поголовья крупного рогатого скота в хозяйствах всех категорий (2014 г. К 2013 г.)* Приложение 3.2. Группировка субъектов Российской Федерации по темпам прироста (сокращения) поголовья коров в хозяйствах всех категорий (2014 г. К 2013 г.)* Приложение 3.3. Группировка субъектов Российской Федерации по темпам прироста (сокращения) поголовья свиней в хозяйствах всех категорий (2014 г. К 2013 г.)* Приложение 3.4. Группировка субъектов Российской Федерации по темпам прироста (сокращения) поголовья птицы в хозяйствах всех категорий (2014 г. к 2013 г.)* Приложение 3.5. Группировка субъектов Российской Федерации по темпам прироста (сокращения) поголовья овец и коз в хозяйствах всех категорий (2014 г. К 2013 г.)* Приложение 3.6. Группировка субъектов Российской Федерации по темпам прироста (снижения) объемов производства скота и птицы на убой (в живой массе) в хозяйствах всех категорий (2014 г. К 2013 г.) Приложение 3.7. Группировка субъектов Российской Федерации по темпам прироста (снижения) объемов производства свиней на убой (в живой массе) в хозяйствах всех категорий (2014 г. К 2013 г.) Приложение 3.8. Группировка субъектов Российской Федерации по темпам прироста (снижения) среднесуточных привесов свиней на выращивании и откорме в сельскохозяйственных организациях, не относящихся к субъектам малого предпринимательства (2014 г. К 2013 г.) * Приложение 3.9. Группировка субъектов Российской Федерации по темпам прироста (снижения) объемов производства птицы на убой (в живой массе) в хозяйствах всех категорий (2014 г. К 2013 г.) Приложение 3.10. Группировка субъектов Российской Федерации по темпам прироста (снижения) объемов производства крупного рогатого скота (КРС) на убой (в живой массе) в хозяйствах всех категорий (2014 г. К 2013 г.) Приложение 3.11. Группировка субъектов Российской Федерации по темпам прироста (снижения) среднесуточных привесов крупного рогатого скота на выращивании и откорме в сельскохозяйственных организациях, не относящихся к субъектам малого предпринимательства (2014 г. К 2013 г.)* Приложение 3.12. Группировка регионов по приросту реализации племенного молодняка крупного рогатого скота (2014 г. К 2013 г.) Приложение 3.13. Группировка по доле племенных коров в общем маточном поголовье крупного рогатого скота по состоянию на 01.01.2015* Приложение 3.15. Группировка субъектов Российской Федерации по темпам прироста (снижения) производства молока в хозяйствах всех категорий (2013 г. К 2012 г.) Приложение 3.16. Группировка субъектов Российской Федерации по продуктивности коров в сельскохозяйственных организациях, не относящихся к субъектам малого предпринимательства, 2014 г.* Приложение 4.1. Группировка субъектов Российской Федерации по темпам прироста (снижения) поголовья мясного и помесного скота (мясное скотоводство) в сельскохозяйственных организациях, крестьянских (фермерских) хозяйствах, включая индивидуальных предпринимателей (2014 г. К 2013 г.) * Приложение 6.1. Производители и объемы реализации сельскохозяйственной техники Приложение 6.2. Самоходные машины в агропромышленном комплексе, зарегистрированные в органах Гостехнадзора* Приложение 6.3. Приобретение основных видов сельскохозяйственной техники в Российской Федерации и энергообеспеченность сельскохозяйственных организаций Приложение 6.4. Поставка ОАО "Росагролизинг" техники и технологического оборудования в 2014 году в лизинг (за счет средств федерального бюджета, инвестированных в уставный капитал, и возвратных лизинговых платежей) Приложение 8.1. Ресурсное обеспечение Программы по мероприятиям и источникам их финансирования, 2014 г., млн руб. Приложение 8.2 Выполнение основных целевых индикаторов и показателей ФЦП УРСТ, 2014 г. Приложение 8.3. Рейтинг субъектов Российской Федерации по выполнению планового задания по вводу (приобретению) жилья в рамках Программы, 2014 г. Приложение 8.4. Рейтинг субъектов Российской Федерации по выполнению планового задания по вводу распределительных газовых сетей в сельской местности, 2014 г. Приложение 8.5. Рейтинг субъектов Российской Федерации по выполнению планового задания по вводу локальных водопроводов в сельской местности, 2014 г. Приложение 8.6. Группировка субъектов Российской Федерации по общей площади жилого помещения, построенного (приобретенного) в рамках ФЦП УРСТ, в среднем на одну семью, 2014 г. Приложение 8.7. Выполнение целевых индикаторов ФЦП УРСТ, характеризующих эффективность реализации мероприятий Программы, 2014 г. | | Разработан: | Минсельхоз России
| | Утверждён: | 06.05.2015 Правительство Российской Федерации (803-р)
|
                                                                                                                                                                                                                                                                                                                                                                     
|