Скачать Административный регламент Федеральной службы по надзору в сфере природопользования по предоставлению государственной услуги по установлению предельно допустимых выбросов и временно согласованных выборовДата актуализации: 01.01.2021 |
| Статус: | действует |
| Название рус.: | Административный регламент Федеральной службы по надзору в сфере природопользования по предоставлению государственной услуги по установлению предельно допустимых выбросов и временно согласованных выборов |
| Дата добавления в базу: | 12.02.2016 |
| Дата актуализации: | 01.01.2021 |
| Дата введения: | 09.01.2016 |
| Область применения: | Административный регламент Федеральной службы по надзору в сфере природопользования по предоставлению государственной услуги по установлению предельно допустимых выбросов и временно согласованных выбросов определяет сроки и последовательность административных процедур (действий) Росприроднадзора и ее территориальных органов, порядок взаимодействия между структурными подразделениями Росприроднадзора и территориальных органов Росприроднадзора, их должностными лицами, взаимодействия Росприроднадзора и территориальных органов Росприроднадзора с заявителями, иными органами государственной власти при предоставлении государственной услуги |
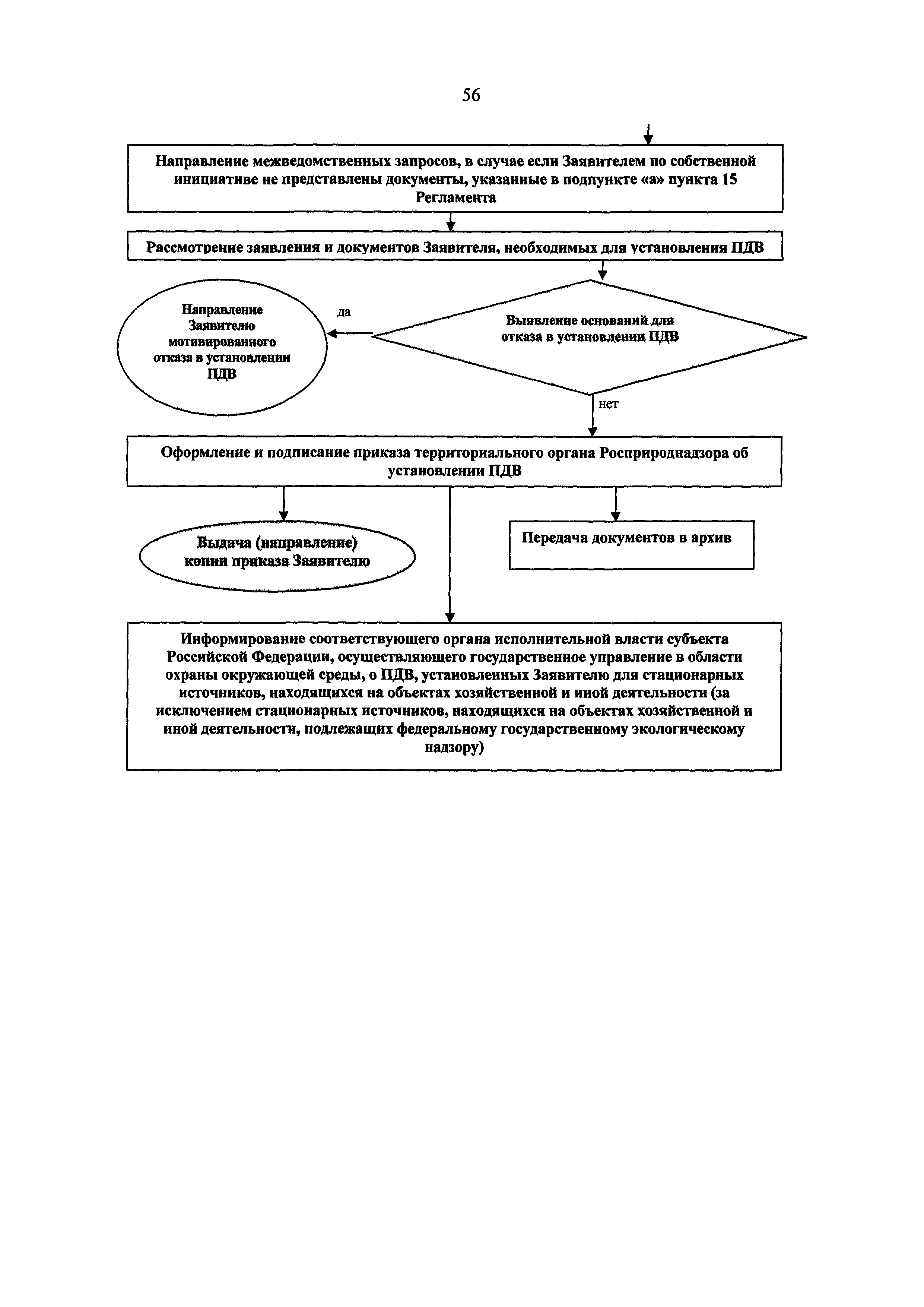
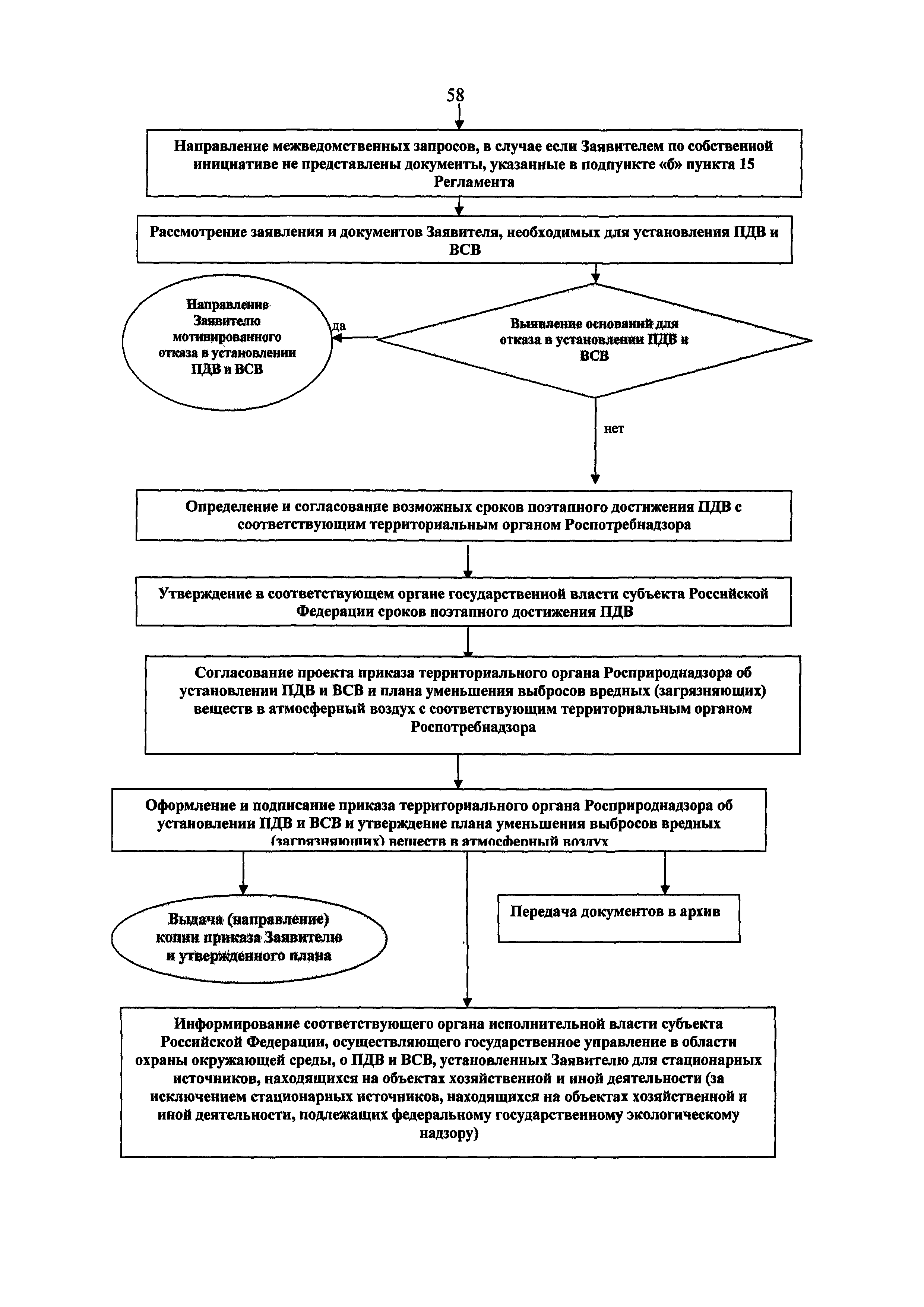
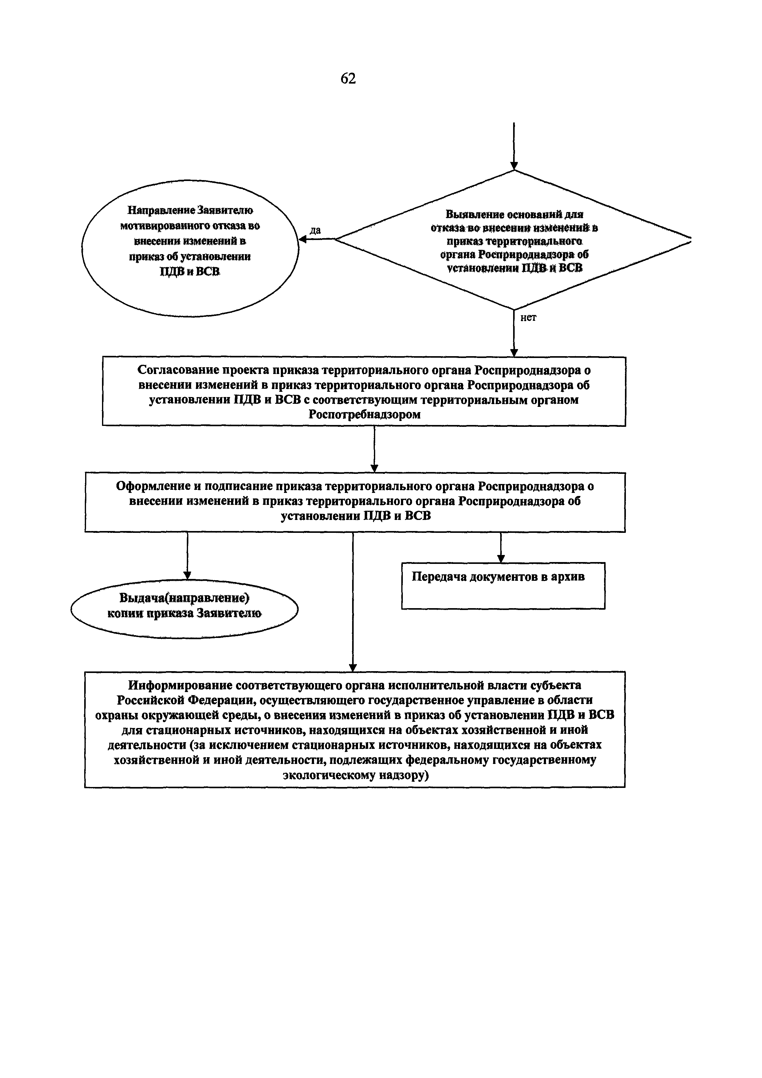
| Оглавление: | I. Общие положения II. Стандарт предоставления государственной услуги III. Состав, последовательность и сроки выполнения административных процедур, требования к порядку их выполнения IV. Формы контроля за предоставлением государственной услуги V. Досудебный (внесудебный) порядок обжалования решений и действий (бездействия) территориальных органов Росприроднадзора и их должностных лиц, предоставляющих государственную услугу Приложение № 1 Приложение № 2. Заявление об установлении предельно допустимых выбросов Приложение № 3. Заявление об установлении предельно допустимых выбросов и временно согласованных выбросов Приложение № 4. Заявление о внесении изменений в приказ территориального органа Росприроднадзора об установлении предельно допустимых выбросов Приложение № 5. Заявление о внесении изменений в приказ территориального органа Росприроднадзора об установлении предельно допустимых выбросов и временно согласованных выбросов Приложение № 6. Блок-схема предоставления государственной услуги установления ПДВ Приложение № 7. Блок-схема предоставления государственной услуги установления ПДВ и ВСВ Приложение № 8. Блок-схема исполнения административной процедуры по внесению изменений в приказ территориального органа Росприроднадзора об установлении ПДВ Приложение № 8. Блок-схема исполнения административной процедуры по внесению изменений в приказ территориального органа Росприроднадзора об установлении ПДВ и ВСВ |
| Утверждён: | 29.09.2015 Министерство природных ресурсов и экологии Российской Федерации (414) |
| Издан: | Официальный интернет-портал правовой информации (www.pravo.gov.ru) (от 29.12.2015 г. Номер опубликования: 0001201512290041) |
| Нормативные ссылки: |
|





























































