Скачать ГОСТ Р 56854-2016 Прутки прессованные из алюминиевых сплавов для судостроения. Технические условияДата актуализации: 01.01.2021
|
| Обозначение: | ГОСТ Р 56854-2016 |
| Обозначение англ: | GOST R 56854-2016 |
| Статус: | введен впервые |
| Название рус.: | Прутки прессованные из алюминиевых сплавов для судостроения. Технические условия |
| Название англ.: | Extruded bars of aluminium alloy for shipbuilding. Specifications |
| Дата добавления в базу: | 01.02.2017 |
| Дата актуализации: | 01.01.2021 |
| Дата введения: | 01.11.2016 |
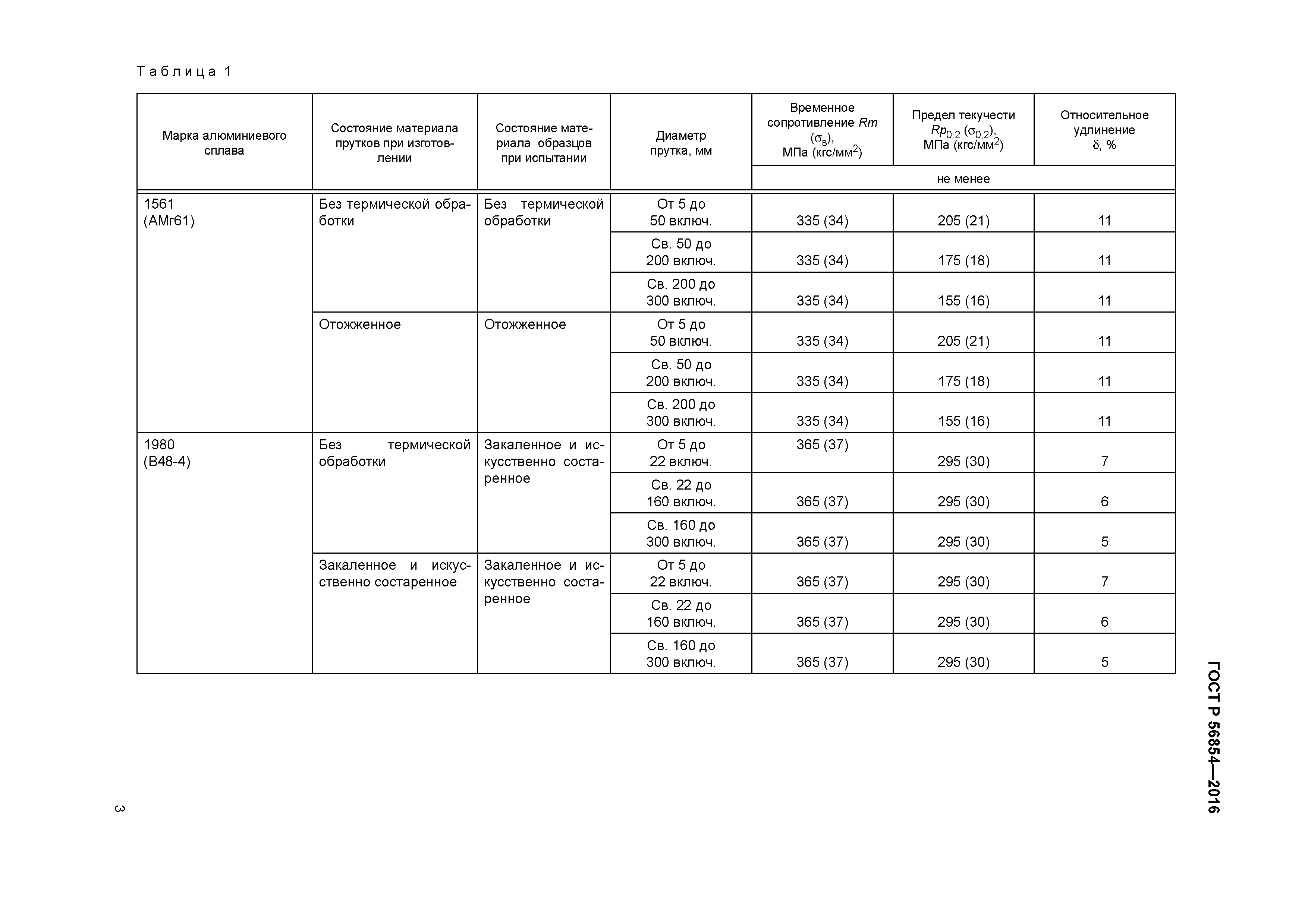
| Область применения: | Стандарт распространяется на прессованные прутки из алюминиевых сплавов марок 1561 (АМг61) и 1980 (В48-4), предназначенные для применения в судостроении. |
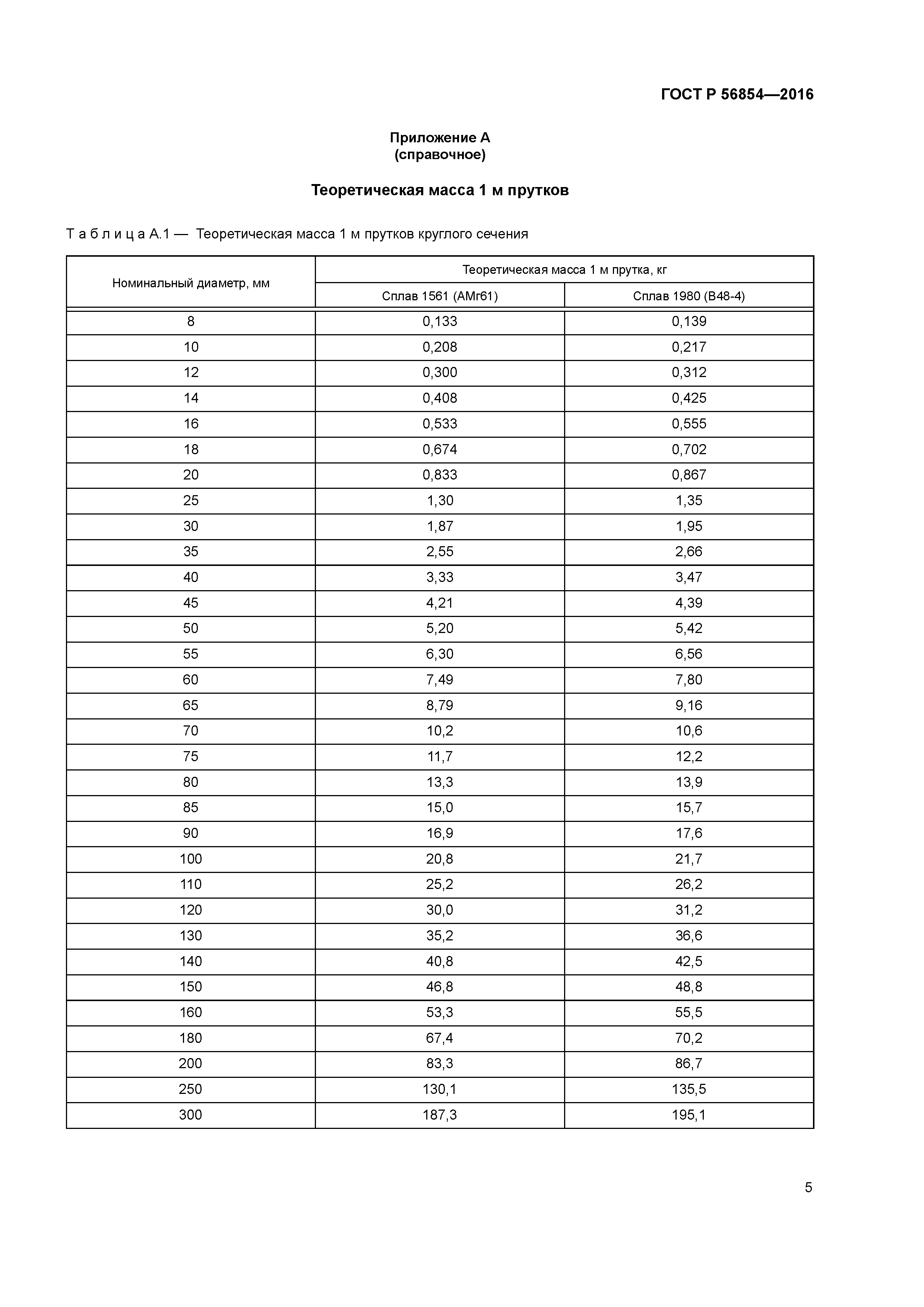
| Оглавление: | 1 Область применения 2 Нормативные ссылки 3 Классификация 4 Основные параметры и размеры 5 Технические требования 6 Правила приемки и методы испытаний 7 Консервация, упаковка, транспортирование и хранение 8 Гарантии предприятия-изготовителя Приложение А (справочное) Теоретическая масса 1 м прутков Библиография |
| Разработан: | ОАО ВИЛС ФГУП ЦНИИ КМ Прометей |
| Утверждён: | 16.02.2016 Федеральное агентство по техническому регулированию и метрологии (38-ст) |
| Издан: | Стандартинформ (2016 г. ) |
| Нормативные ссылки: |










