Скачать Административный регламент по предоставлению Федеральной службой по аккредитации государственной услуги по аттестации экспертов по аккредитации, внесению изменений в сведения реестра экспертов по аккредитации, предоставлению сведений из реестра экспертов по аккредитацииДата актуализации: 01.01.2021
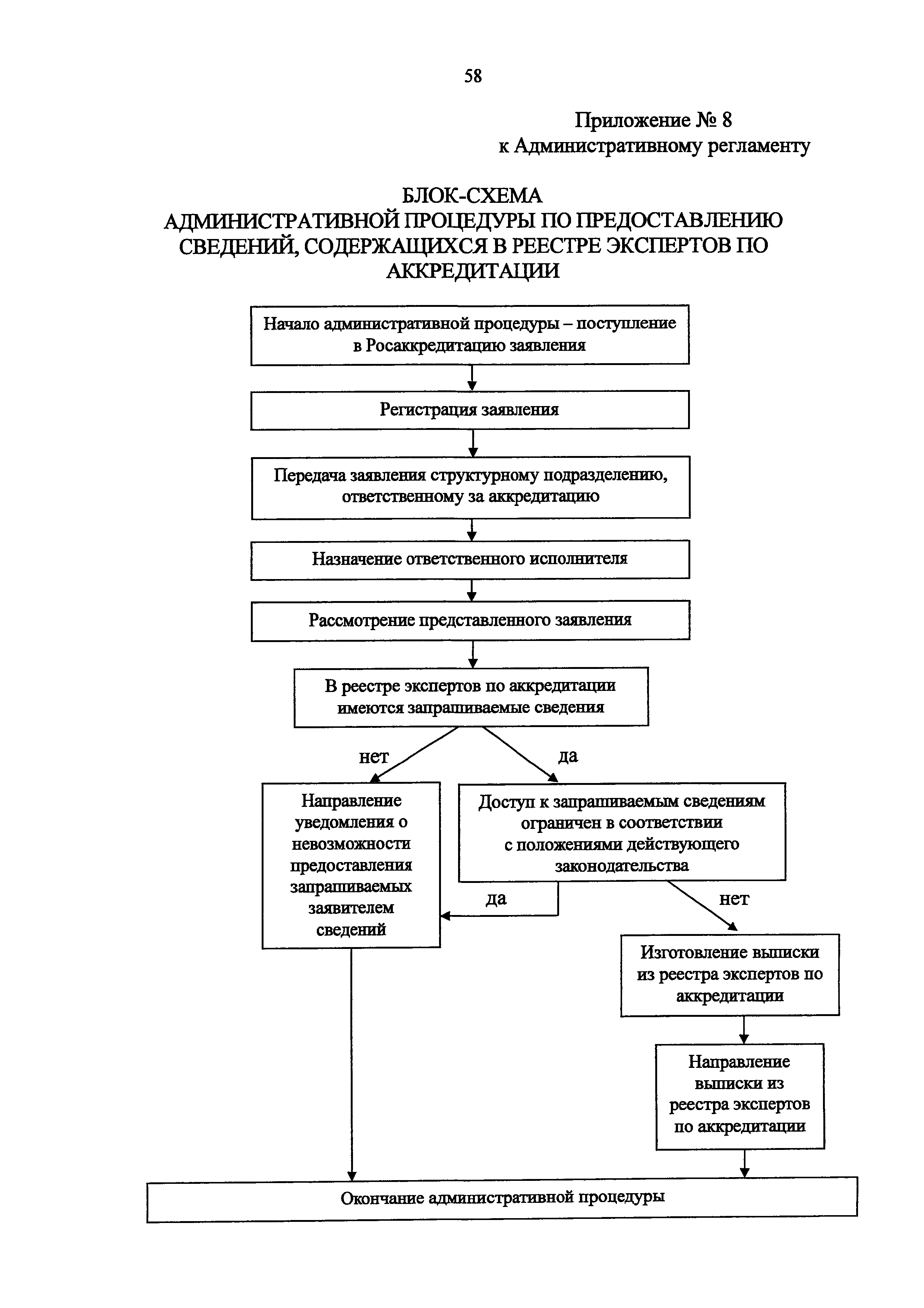
Административный регламент по предоставлению Федеральной службой по аккредитации государственной услуги по аттестации экспертов по аккредитации, внесению изменений в сведения реестра экспертов по аккредитации, предоставлению сведений из реестра экспертов по аккредитации| Статус: | утратил силу | | Название рус.: | Административный регламент по предоставлению Федеральной службой по аккредитации государственной услуги по аттестации экспертов по аккредитации, внесению изменений в сведения реестра экспертов по аккредитации, предоставлению сведений из реестра экспертов по аккредитации | | Дата добавления в базу: | 01.02.2017 | | Дата актуализации: | 01.01.2021 | | Дата введения: | 22.02.2016 | | Дата окончания срока действия: | 27.11.2020 | | Область применения: | Административный регламент по предоставлению Федеральной службой по аккредитации государственной услуги по аттестации экспертов по аккредитации, внесению изменений в сведения реестра экспертов по аккредитации, предоставлению сведений из реестра экспертов по аккредитации определяет сроки и последовательность административных процедур (действий) Федеральной службы по аккредитации, ее территориальных органов, структурных подразделений и должностных лиц при взаимодействии с заявителями в процессе предоставления государственной услуги по аттестации экспертов по аккредитации, внесению изменений в сведения реестра экспертов по аккредитации, предоставлению сведений из реестра экспертов по аккредитации | | Оглавление: | I. Общие положения II. Стандарт предоставления государственной услуги III. Состав, последовательность и сроки выполнения административных процедур (действий), требования к порядку их выполнения, в том числе особенности выполнения административных процедур (действий) в электронной форме IV. Формы контроля за исполнением Административного регламента V. Досудебный (внесудебный) порядок обжалования решений и действий (бездействия) Росаккредитации, а также должностных лиц Росаккредитации Приложение № 1 Приложение № 2 Приложение № 3 Приложение № 4 Приложение № 5 Приложение № 6 Приложение № 7 Приложение № 8 | | Утверждён: | 27.07.2015 Минэкономразвития России (501)
| | Нормативные ссылки: |   Федеральный закон 63-ФЗ «Об электронной подписи» Постановление 373 «О разработке и утверждении административных регламентов осуществления государственного контроля (надзора) и административных регламентов предоставления государственных услуг»  Федеральный закон 210-ФЗ «Об организации предоставления государственных и муниципальных услуг» Постановление 845 «О Федеральной службе по аккредитации»  Федеральный закон 412-ФЗ «Об аккредитации в национальной системе аккредитации»  «Методика отбора экспертов по аккредитации для выполнения работ в области аккредитации» Приказ 282 «Об утверждении формы заявления о выборе экспертной организации экспертом по аккредитации» Приказ 289 «Об утверждении Требований к эксперту по аккредитации и Правил аттестации экспертов по аккредитации» «Перечень областей аттестации экспертов по аккредитации» «Правила формирования и ведения реестра аккредитованных лиц, реестра экспертов по аккредитации, реестра технических экспертов, реестра экспертных организаций и предоставления сведений из указанных реестров» Указ 86 «О единой национальной системе аккредитации» «Правила подачи и рассмотрения жалоб на решения и действия (бездействие) федеральных органов исполнительной власти и их должностных лиц, федеральных государственных служащих, должностных лиц государственных внебюджетных фондов Российской Федерации, государственных корпораций, наделенных в соответствии с федеральными законами полномочиями по предоставлению государственных услуг в установленной сфере деятельности, и их должностных лиц, организаций, предусмотренных частью 1.1 статьи 16 Федерального закона "Об организации предоставления государственных и муниципальных услуг", и их работников, а также многофункциональных центров предоставления государственных и муниципальных услуг и их работников» «Правила определения видов электронной подписи, использование которых допускается при обращении за получением государственных и муниципальных услуг»  «Положение об аттестационной комиссии Федеральной службы по аккредитации» Приказ 671 «О признании утратившим силу приказа Минэкономразвития России от 27 июля 2015 г. N 501 "Об утверждении Административного регламента предоставления Федеральной службой по аккредитации государственной услуги по аттестации экспертов по аккредитации, внесению изменений в сведения реестра экспертов по аккредитации, предоставлению сведений из реестра экспертов по аккредитации"»
|
                                                          
|