Скачать ГОСТ Р МЭК 80001-1-2015 Информатизация здоровья. Менеджмент рисков в информационно-вычислительных сетях с медицинскими приборами. Часть 1. Роли, ответственности и действияДата актуализации: 01.01.2021
|
| Обозначение: | ГОСТ Р МЭК 80001-1-2015 |
| Обозначение англ: | GOST R IEC 80001-1-2015 |
| Статус: | введен впервые |
| Название рус.: | Информатизация здоровья. Менеджмент рисков в информационно-вычислительных сетях с медицинскими приборами. Часть 1. Роли, ответственности и действия |
| Название англ.: | Health informatics. Risk management for IT-networks incorporating medical devices. Part 1. Roles, responsibilities and activities |
| Дата добавления в базу: | 01.02.2017 |
| Дата актуализации: | 01.01.2021 |
| Дата введения: | 01.11.2016 |
| Область применения: | Стандарт применяется после того, как медицинский прибор был приобретен ответственной организацией и планируется его подключение в ИТ-сеть. Стандарт применяется на всем жизненном цикле ИТ-сетей, содержащих медицинские приборы. Стандарт применяется в тех случаях, когда нет отдельного производителя медицинских приборов, принимающего на себя ответственность за обеспечение основных свойств ИТ-сетей с медицинским прибором. |
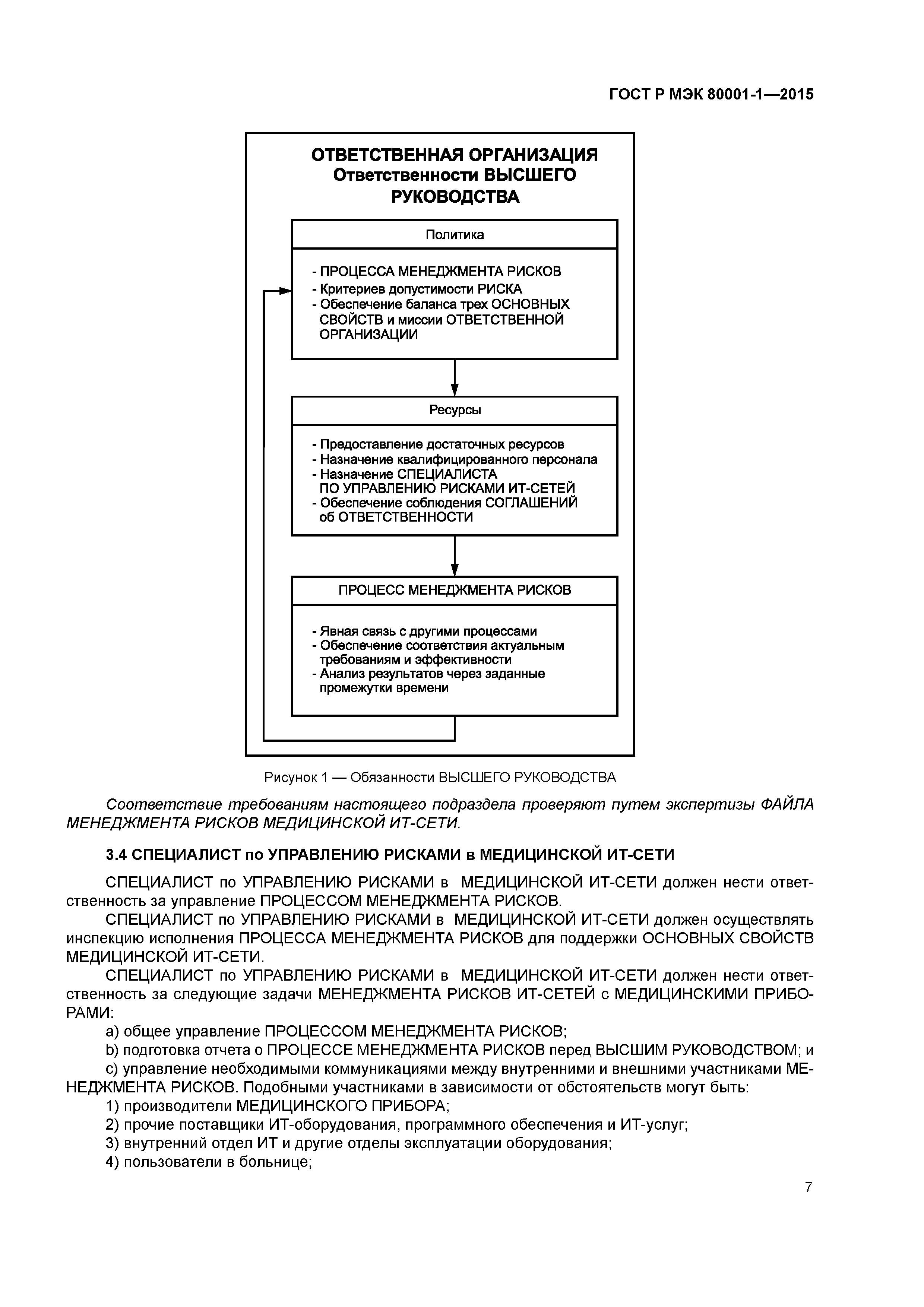
| Оглавление: | 1 Область применения 2 Термины и определения 3 Роли и ответственности 3.1 Общие положения 3.2 ОТВЕТСТВЕННАЯ ОРГАНИЗАЦИЯ 3.3 Ответственность ВЫСШЕГО РУКОВОДСТВА 3.4 СПЕЦИАЛИСТ по УПРАВЛЕНИЮ РИСКАМИ в МЕДИЦИНСКОЙ ИТ-СЕТИ 3.5 Производители МЕДИЦИНСКИХ ПРИБОРОВ 3.6 Поставщики прочих информационных технологий 4 МЕНЕДЖМЕНТ РИСКОВ в жизненном цикле МЕДИЦИНСКИХ ИТ-СЕТЕЙ 4.1 Обзор 4.2 МЕНЕДЖМЕНТ РИСКОВ, осуществляемый ОТВЕТСТВЕННОЙ ОРГАНИЗАЦИЕЙ 4.3 Планирование и документальное оформление МЕНЕДЖМЕНТА РИСКОВ в МЕДИЦИНСКОЙ ИТ-СЕТИ 4.4 МЕНЕДЖМЕНТ РИСКОВ в МЕДИЦИНСКОЙ ИТ-СЕТИ 4.5 УПРАВЛЕНИЕ ИЗМЕНЕНИЯМИ И ВЕРСИЯМИ и УПРАВЛЕНИЕ КОНФИГУРАЦИЕЙ 4.6 МЕНЕДЖМЕНТ РИСКОВ в действующей сети 5 Управление документацией 5.1 Процедура управления документацией 5.2 ФАЙЛ МЕНЕДЖМЕНТА РИСКОВ в МЕДИЦИНСКОЙ ИТ-СЕТИ Приложение А (справочное) Обоснование Приложение В (справочное) Обзор отношений при реализации МЕНЕДЖМЕНТА РИСКОВ Приложение С (справочное) Об области применения настоящего стандарта Приложение D (справочное) Связь с [10] Библиография |
| Разработан: | Фирма Интерстандарт ЦНИИОИЗ Минздрава России |
| Утверждён: | 28.12.2015 Федеральное агентство по техническому регулированию и метрологии (2222-ст) |
| Издан: | Стандартинформ (2016 г. ) |






































