Скачать ГОСТ Р 56837-2015 Информатизация здоровья. Менеджмент информационной безопасности удаленного технического обслуживания медицинских приборов и медицинских информационных систем. Часть 1. Требования и анализ рисковДата актуализации: 01.01.2021
|
| Обозначение: | ГОСТ Р 56837-2015 |
| Обозначение англ: | GOST R 56837-2015 |
| Статус: | введен впервые |
| Название рус.: | Информатизация здоровья. Менеджмент информационной безопасности удаленного технического обслуживания медицинских приборов и медицинских информационных систем. Часть 1. Требования и анализ рисков |
| Название англ.: | Health informatics. Information security management for remote maintenance of medical devices and medical information systems. Part 1. Requirements and risk analysis |
| Дата добавления в базу: | 01.02.2017 |
| Дата актуализации: | 01.01.2021 |
| Дата введения: | 01.11.2016 |
| Область применения: | Предметом стандарта являются услуги удаленного технического обслуживания (СУО), предоставляемые поставщиками медицинского оборудования или информационными медицинскими системами (провайдерами СУО) для информационных систем в медицинских учреждениях. Кроме этого в данном стандарте предоставлен пример выполнения анализа риска, необходимого для защиты информационных активов обеих сторон (в первую очередь, самой информационной системы и персональных медицинских данных) безопасным и эффективным (в экономическом смысле) способом. Стандарт включает в себя: - каталог сценариев использования для СУО; - каталог информационных активов в медицинских учреждениях и провайдеров СУО; - пример анализа риска, основанный на вариантах использования. |
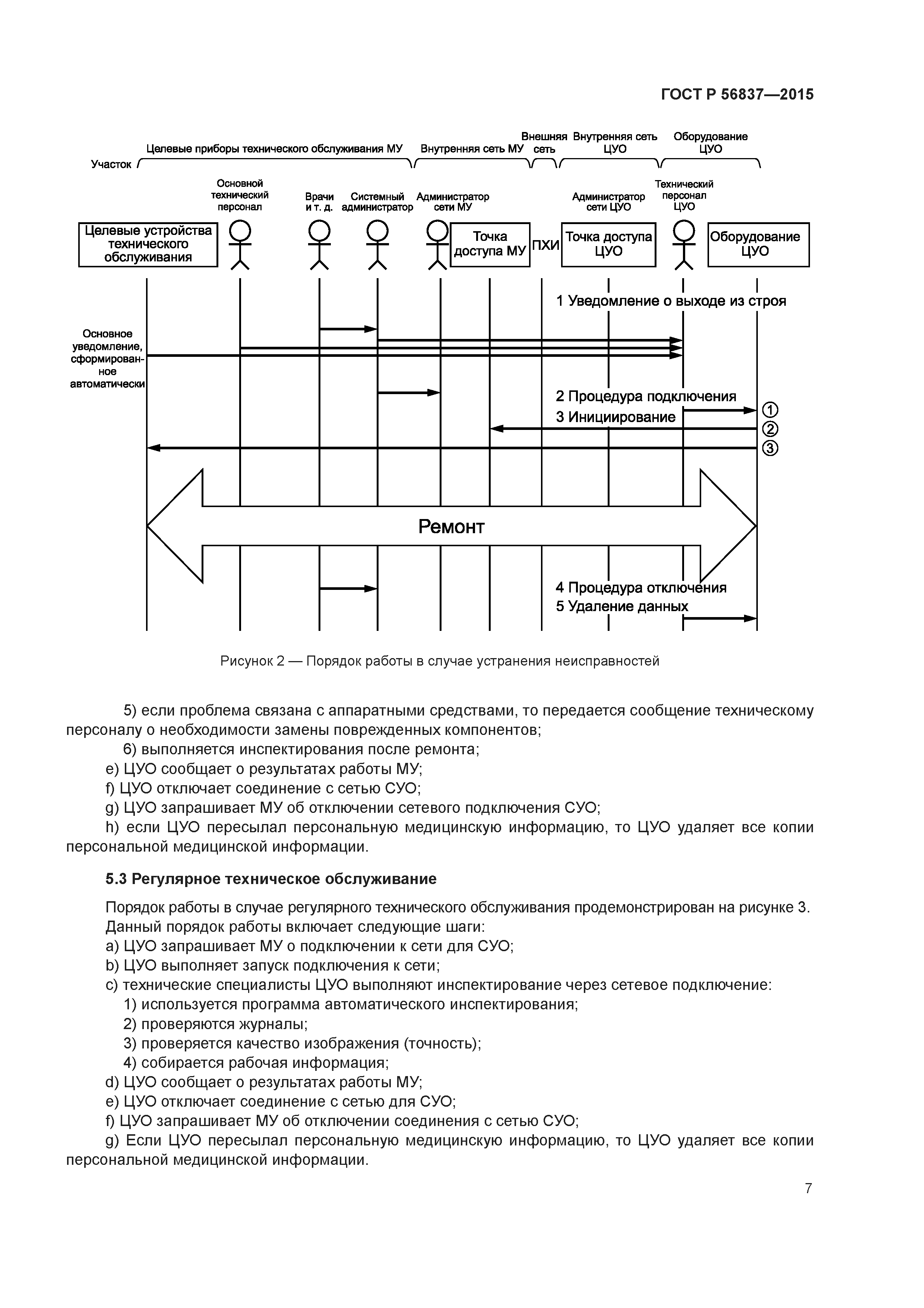
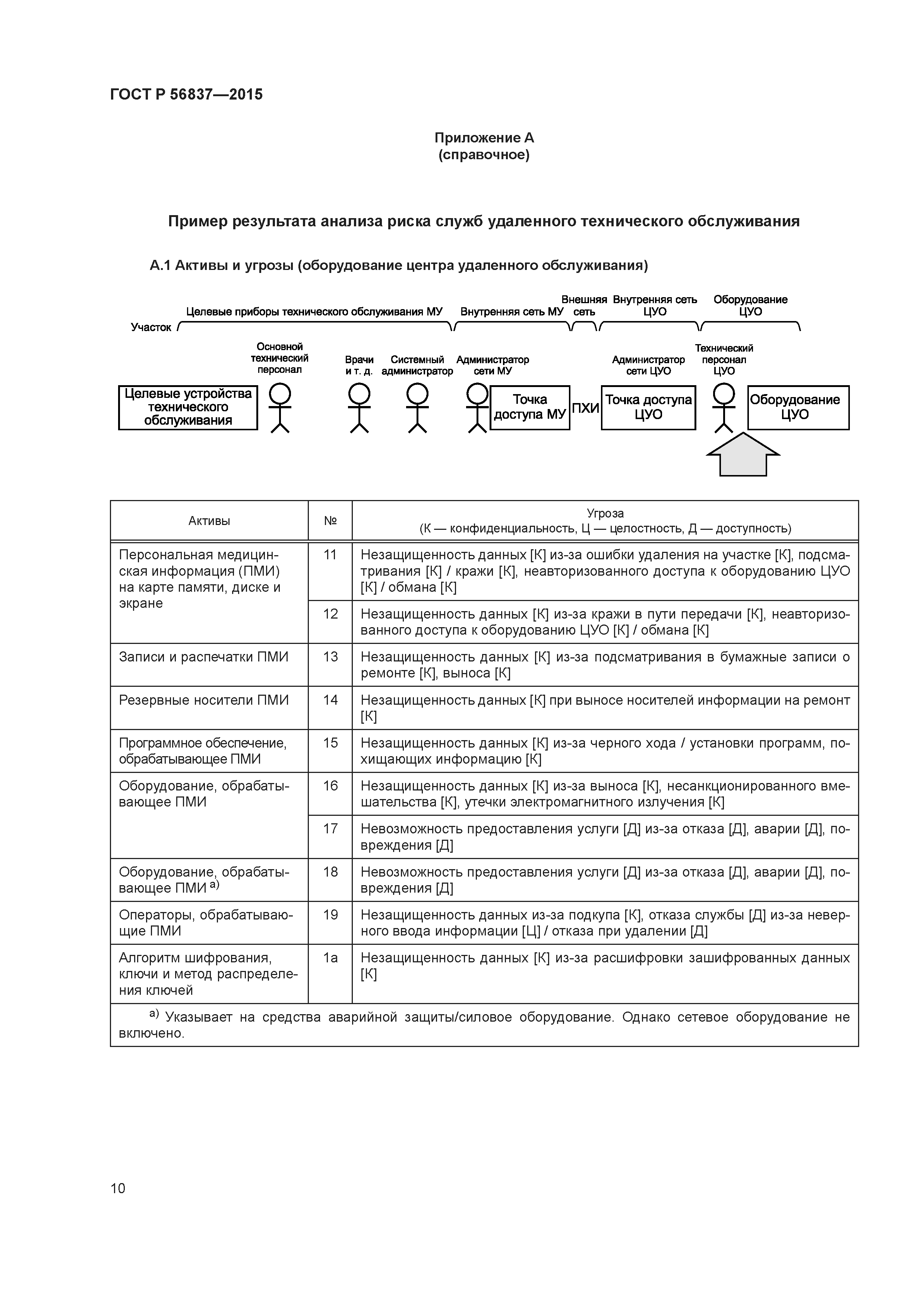
| Оглавление: | 1 Область применения 2 Термины и определения 3 Сокращения 4 Описание защиты служб удаленного технического обслуживания 4.1 Содержание защиты служб удаленного технического обслуживания 4.2 Требования к защите служб удаленного технического обслуживания 4.3 Роли центра удаленного технического обслуживания и медицинской организации 5 Варианты использования служб удаленного технического обслуживания 5.1 Введение 5.2 Устранение неисправностей при перебоях в работе 5.3 Регулярное техническое обслуживание 5.4 Обновление программного обеспечения 6 Анализ рисков 6.1 Общие положения 6.2 Критерии анализа риска Приложение А (справочное) Пример результата анализа риска служб удаленного технического обслуживания Библиография |
| Разработан: | ФГБУ ЦНИИОИЗ Минздрава ФБУ Консультационно-внедренческая фирма в области международной стандартизации и сертификации - Фирма ИНТЕРСТАНДАРТ |
| Утверждён: | 28.12.2015 Федеральное агентство по техническому регулированию и метрологии (2225-ст) |
| Издан: | Стандартинформ (2016 г. ) Стандартинформ (2018 г. ) |



















