Скачать Положение о национальном парке УграДата актуализации: 01.01.2021 |
| Статус: | действует |
| Название рус.: | Положение о национальном парке "Угра" |
| Дата добавления в базу: | 01.02.2017 |
| Дата актуализации: | 01.01.2021 |
| Дата введения: | 25.01.2016 |
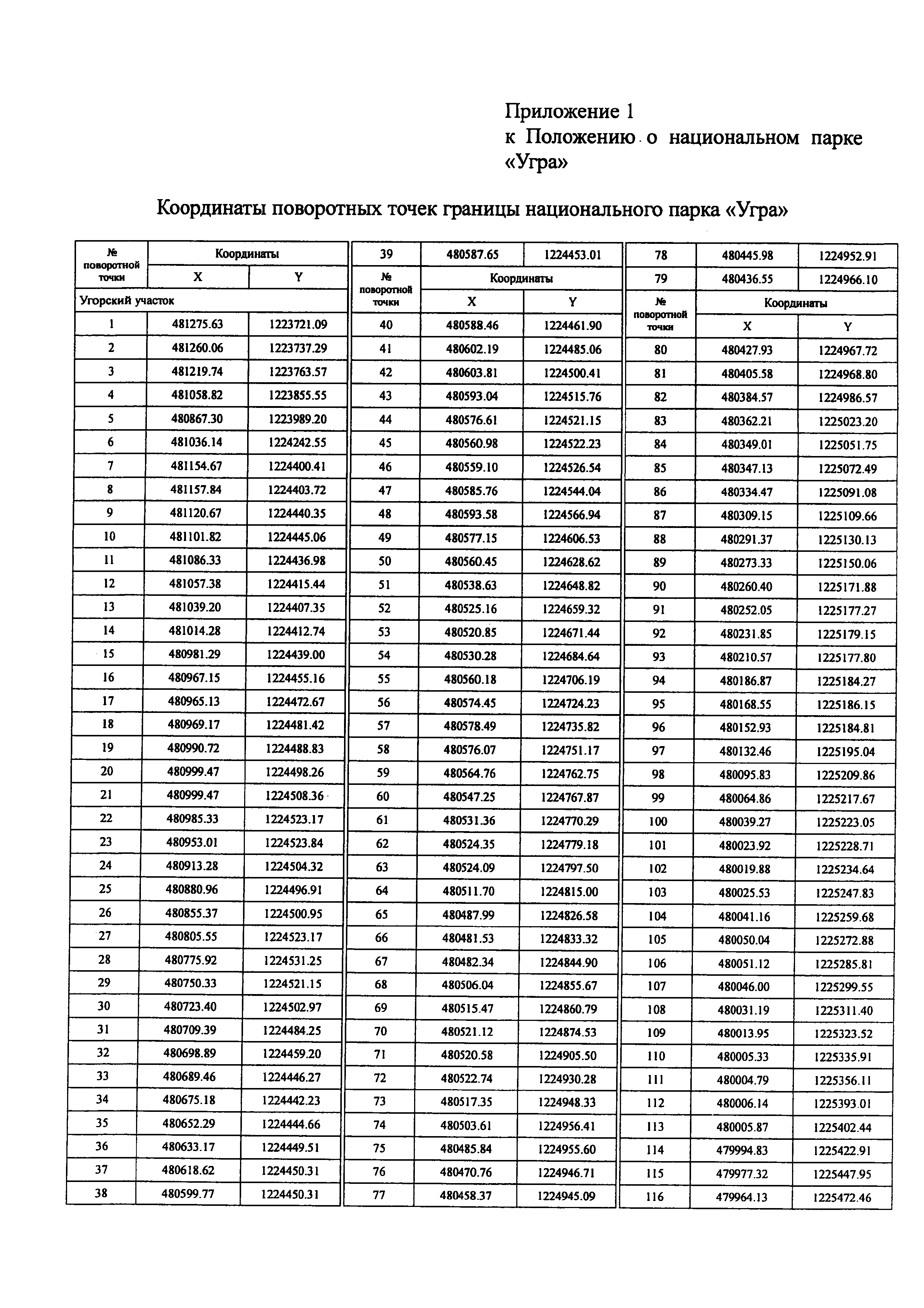
| Оглавление: | 1. Общие положения II. Задачи национального парка III. Режим особой охраны территории национального парка IV. Государственный надзор в области охраны и использования территории национального парка Приложение 1. Координаты поворотных точек границы национального парка "Угра" Приложение 2. Состав и описание границ функциональных зон национального парка "Угра" 1. Заповедная зона 2. Особо охраняемая зона 3. Рекреационная зона 4. Зона охраны объектов культурного наследия (памятников истории и культуры) народов Российской Федерации 5. Зона хозяйственного назначения Приложение 3. Карта-схема функционального зонирования территории национального парка "Угра" |
| Утверждён: | 03.12.2015 Министерство природных ресурсов и экологии Российской Федерации (524) |
| Издан: | Официальный интернет-портал правовой информации (www.pravo.gov.ru) (от 14.01.2016 г. Номер опубликования: 0001201601140002) |
| Нормативные ссылки: |
|










































































































































