Скачать ГОСТ Р 56922-2016 Системная и программная инженерия. Тестирование программного обеспечения. Часть 3. Документация тестированияДата актуализации: 01.01.2021
|
| Обозначение: | ГОСТ Р 56922-2016 |
| Обозначение англ: | GOST R 56922-2016 |
| Статус: | введен впервые |
| Название рус.: | Системная и программная инженерия. Тестирование программного обеспечения. Часть 3. Документация тестирования |
| Название англ.: | Software and systems engineering. Software testing. Part 3. Test documentation |
| Дата добавления в базу: | 01.02.2017 |
| Дата актуализации: | 01.01.2021 |
| Дата введения: | 01.06.2017 |
| Область применения: | Стандарт определяет шаблоны документации тестирования программного обеспечения, которые могут использоваться в любой организации, любом проекте или каком-либо действии тестирования проекта. |
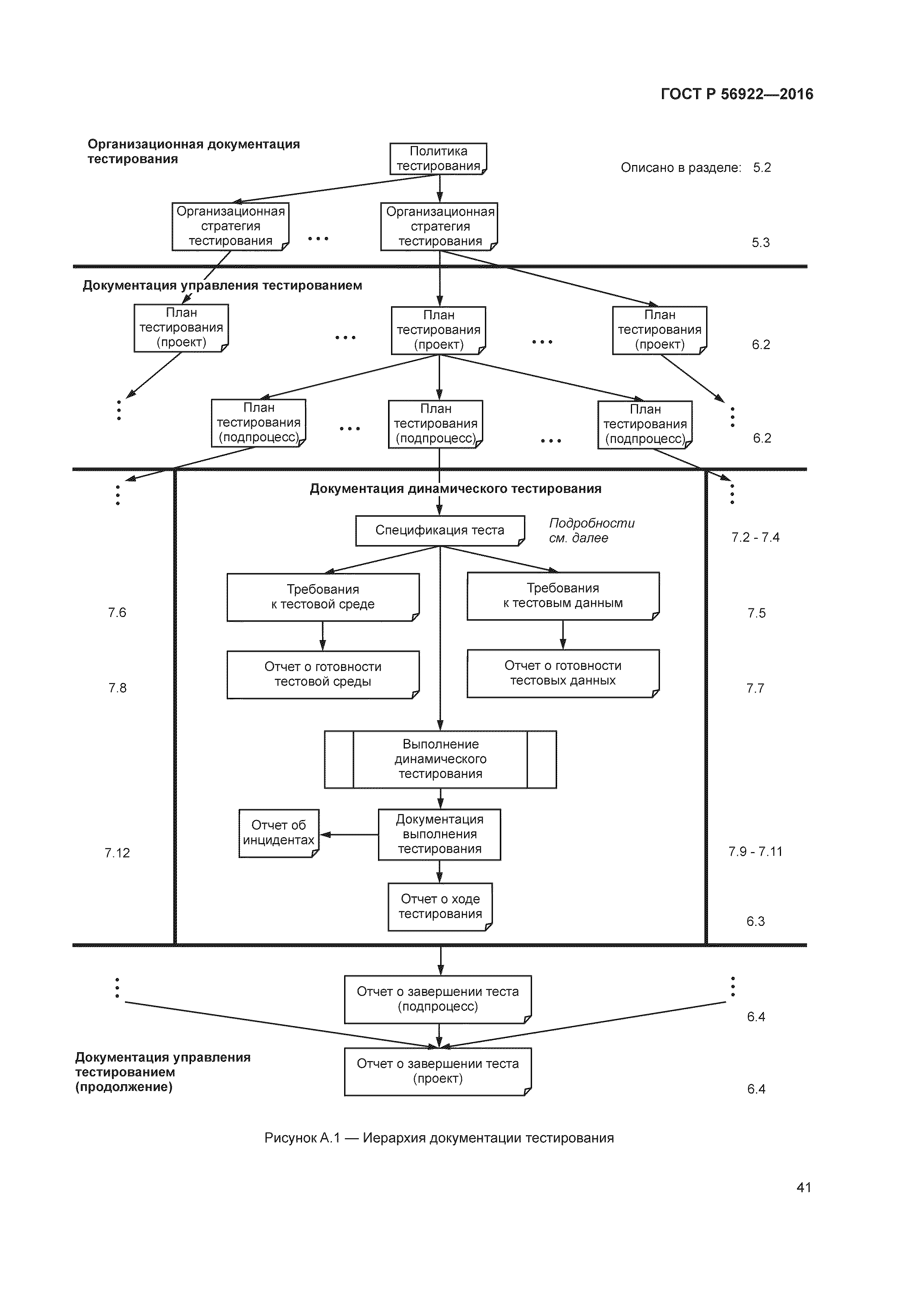
| Оглавление: | 1 Область применения 2 Соответствие 2.1 Предполагаемое соответствие 2.2 Типы соответствия 3 Нормативные ссылки. 4 Термины и определения 5 Документация Организационного Процесса Тестирования 5.1 Общие сведения 5.2 Политика Тестирования 5.3 Организационная Стратегия Тестирования 6 Документация Процессов Управления Тестированием 6.1 Общие сведения 6.2 План Тестирования 6.3 Отчет о Ходе Тестирования 6.4 Отчет о Завершении Тестирования 7 Документация Процессов динамического Тестирования 7.1 Общие сведения 7.2 Спецификация Проекта Тестирования 7.3 Спецификация Контрольных Примеров 7.4 Спецификация Процедур Тестирования 7.5 Требования к Тестовым данным 7.6 Требования к Тестовой Среде 7.7 Отчет о Готовности Тестовых данных 7.8 Отчет о Готовности Тестовой Среды 7.9 Фактические Результаты 7.10 Результат Тестирования 7.11 Журнал Выполнения Теста 7.12 Отчетность об Инцидентах Тестирования Приложение А (справочное) Обзор и Схемы документов Приложение В (справочное) Связь нормативных требований ИСО/МЭК/ИИЭР 29119-2 с информационными элементами ИСО/МЭК/ИИЭР 29119-3 Приложение С (справочное) Общие Сведения о Примерах Приложение D (справочное) Политика Тестирования Приложение Е (справочное) Организационная Стратегия Тестирования Приложение F (справочное) План Тестирования Приложение G (справочное) Отчет о Ходе Тестирования Приложение Н (справочное) Отчет о Завершении Тестирования Приложение I (справочное) Спецификация Проекта Тестирования Приложение J (справочное) Спецификация Контрольного Примера Приложение К (справочное) Спецификация Процедур Тестирования Приложение L (справочное) Требования к Тестовым данным Приложение М (справочное) Требования к Тестовой Среде Приложение N (справочное) Отчет о Готовности Тестовых данных Приложение О (справочное) Отчет о Готовности Тестовой Среды Приложение Р (справочное) Фактические Результаты Приложение Q (справочное) Результаты Тестирования Приложение R (справочное) Журнал Выполнения Теста Приложение S (справочное) Отчет об Инциденте Приложение Т (справочное) Взаимосвязь с существующими стандартами Приложение ДА (справочное) Сведения о соответствии ссылочных международных стандартов национальным стандартам Российской Федерации Библиография |
| Разработан: | ООО ИАВЦ |
| Утверждён: | 18.05.2016 Федеральное агентство по техническому регулированию и метрологии (333-ст) |
| Издан: | Стандартинформ (2016 г. ) |
















































































































