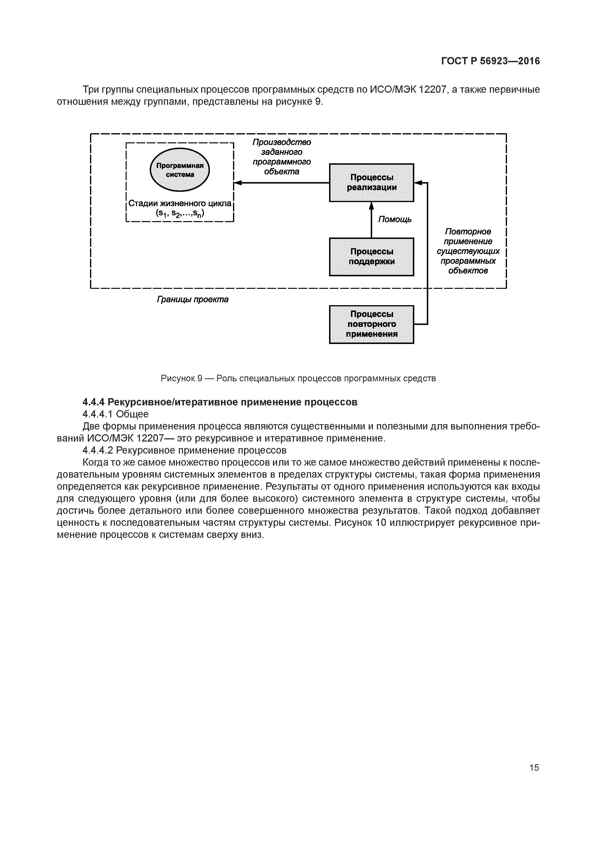
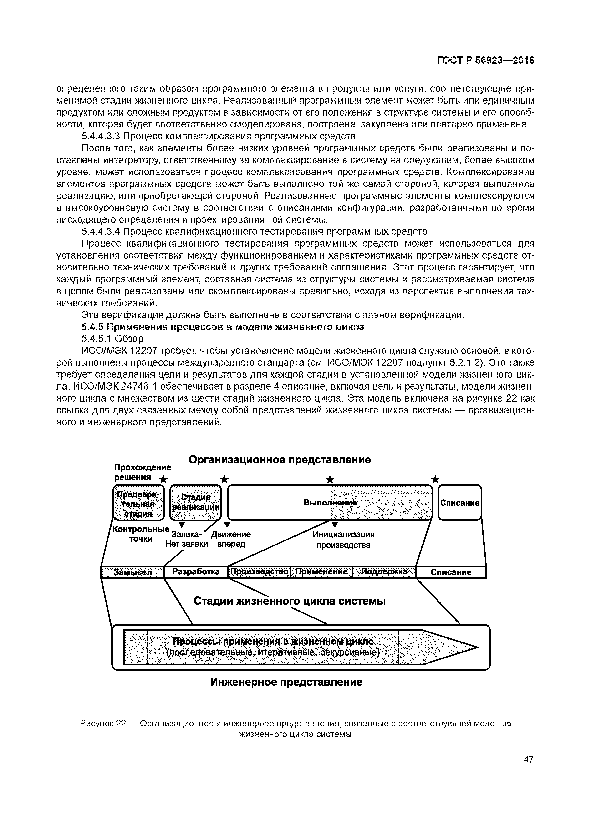
Скачать ГОСТ Р 56923-2016 Информационные технологии. Системная и программная инженерия. Управление жизненным циклом. Часть 3. Руководство по применению ИСО/МЭК 12207 (Процессы жизненного цикла программных средств)Дата актуализации: 01.01.2021
|
| Обозначение: | ГОСТ Р 56923-2016 |
| Обозначение англ: | GOST R 56923-2016 |
| Статус: | введен впервые |
| Название рус.: | Информационные технологии. Системная и программная инженерия. Управление жизненным циклом. Часть 3. Руководство по применению ИСО/МЭК 12207 (Процессы жизненного цикла программных средств) |
| Название англ.: | Information technology. Systems and software engineering. Life cycle management. Part 3.Guide to the application of ISO/IEC 12207 (Software life cycle processes) |
| Дата добавления в базу: | 01.02.2017 |
| Дата актуализации: | 01.01.2021 |
| Дата введения: | 01.06.2017 |
| Область применения: | Стандарт является руководством для применения ИСО/МЭК 12207. Стандарт применим к системе, жизненному циклу, процессу, организационным аспектам, проекту и понятиям адаптации, преимущественно через ссылку на ИСО/МЭК 24748-1 и ИСО/МЭК 12207. Это служит руководством при применении ИСО/МЭК 12207 от аспектов стратегии, планирования и применения в организациях до применения в проектах. |
| Оглавление: | 1 Область применения 2 Термины и определения 3 Обзор ИСО/МЭК 12207 3.1 Общие положения 3.2 Структура 3.3 Контекст 3.4 Сравнение с предыдущими версиями 4 Понятия применения 4.1 Обзор 4.2 Понятия программных средств 4.3 Понятия жизненного цикла 4.4 Понятия процессов 4.5 Организационные понятия 4.6 Понятия проекта 4.7 Понятия адаптации 5 Применение ИСО/МЭК 12207 5.1 Обзор 5.2 Стратегия применения 5.3 Применение в организациях 5.4 Применение к проектам Приложение А (справочное) Примечания для применения процессов ИСО/МЭК 12207 Приложение В (справочное) Использование повторно применяемых программных продуктов Библиография |
| Разработан: | ООО ИАВЦ |
| Утверждён: | 18.05.2016 Федеральное агентство по техническому регулированию и метрологии (334-ст) |
| Издан: | Стандартинформ (2016 г. ) |












































































































