Скачать ГОСТ Р 56932-2016 Руководство по применению критериев классификации опасности химической продукции по воздействию на организм. Острая токсичность при попадании на кожуДата актуализации: 01.01.2021
|
| Обозначение: | ГОСТ Р 56932-2016 |
| Обозначение англ: | GOST R 56932-2016 |
| Статус: | введен впервые |
| Название рус.: | Руководство по применению критериев классификации опасности химической продукции по воздействию на организм. Острая токсичность при попадании на кожу |
| Название англ.: | Guidance on the application of the criteria of chemicals classification for health hazard. Acute dermal toxicity |
| Дата добавления в базу: | 01.02.2017 |
| Дата актуализации: | 01.01.2021 |
| Дата введения: | 01.01.2017 |
| Область применения: | Стандарт содержит руководящие принципы по выбору наиболее подходящих данных и применению критериев классификации опасности химической продукции, обладающей острой токсичностью по воздействию на организм при попадании на кожу. |
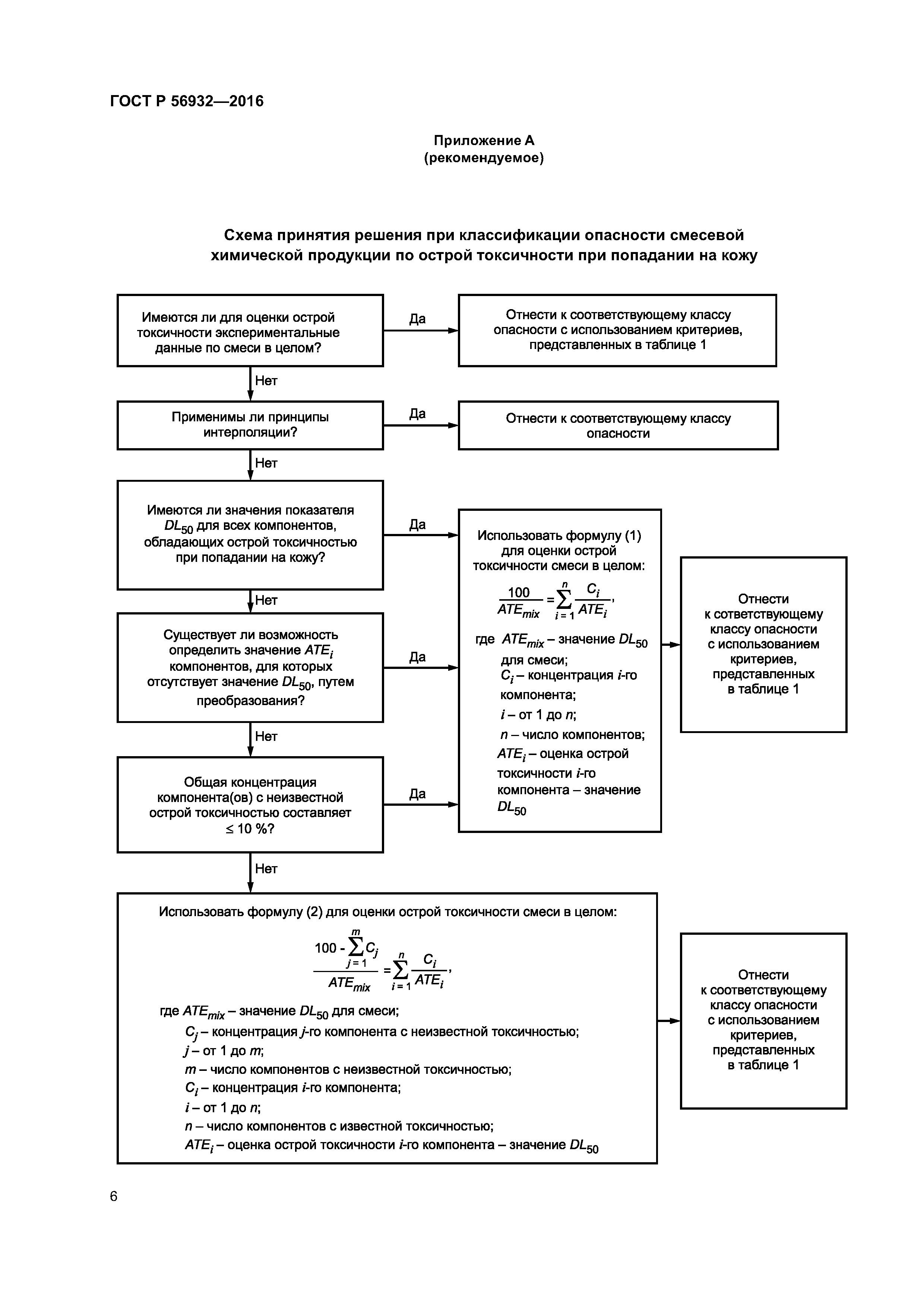
| Оглавление: | 1 Область применения 2 Нормативные ссылки 3 Термины и определения 4 Классификация опасности химической продукции, обладающей острой токсичностью по воздействию на организм 5 Критерии классификации опасности химической продукции, обладающей острой токсичностью по воздействию на организм при попадании на кожу 6 Классификация опасности смесевой химической продукции, обладающей острой токсичностью по воздействию на организм при попадании на кожу 6.1 Общие принципы классификации опасности смесевой химической продукции 6.2 Расчетный метод классификации опасности смесевой химической продукции при наличии данных по всем компонентам 6.3 Расчетный метод классификации опасности смесевой химической продукции при отсутствии данных по одному или более компонентам смеси 7 Выбор наиболее подходящих данных 7.1 Данные по результатам воздействия на человека 7.2 Данные лабораторных испытаний in vivo 7.3 Данные лабораторных испытаний in vitro 7.4 Иные сведения и данные, полученные с помощью теоретических подходов Приложение А (рекомендуемое) Схема принятия решения при классификации опасности смесевой химической продукции по острой токсичности при попадании на кожу Приложение Б (рекомендуемое) Примеры классификации опасности смесевой химической продукции, обладающей острой токсичностью по воздействию на организм при попадании на кожу Приложение В (рекомендуемое) Примеры выбора наиболее подходящих данных из имеющихся сведений по острой токсичности при попадании на кожу в целях классификации опасности химической продукции |
| Разработан: | ТК 339 Химическая безопасность веществ и материалов |
| Утверждён: | 27.05.2016 Федеральное агентство по техническому регулированию и метрологии (432-ст) |
| Издан: | Стандартинформ (2016 г. ) |
| Нормативные ссылки: |
|














