Скачать Общемашиностроительные нормативы вспомогательного времени на термическую обработку металла в печах, ваннах и установках ТВЧДата актуализации: 01.01.2021
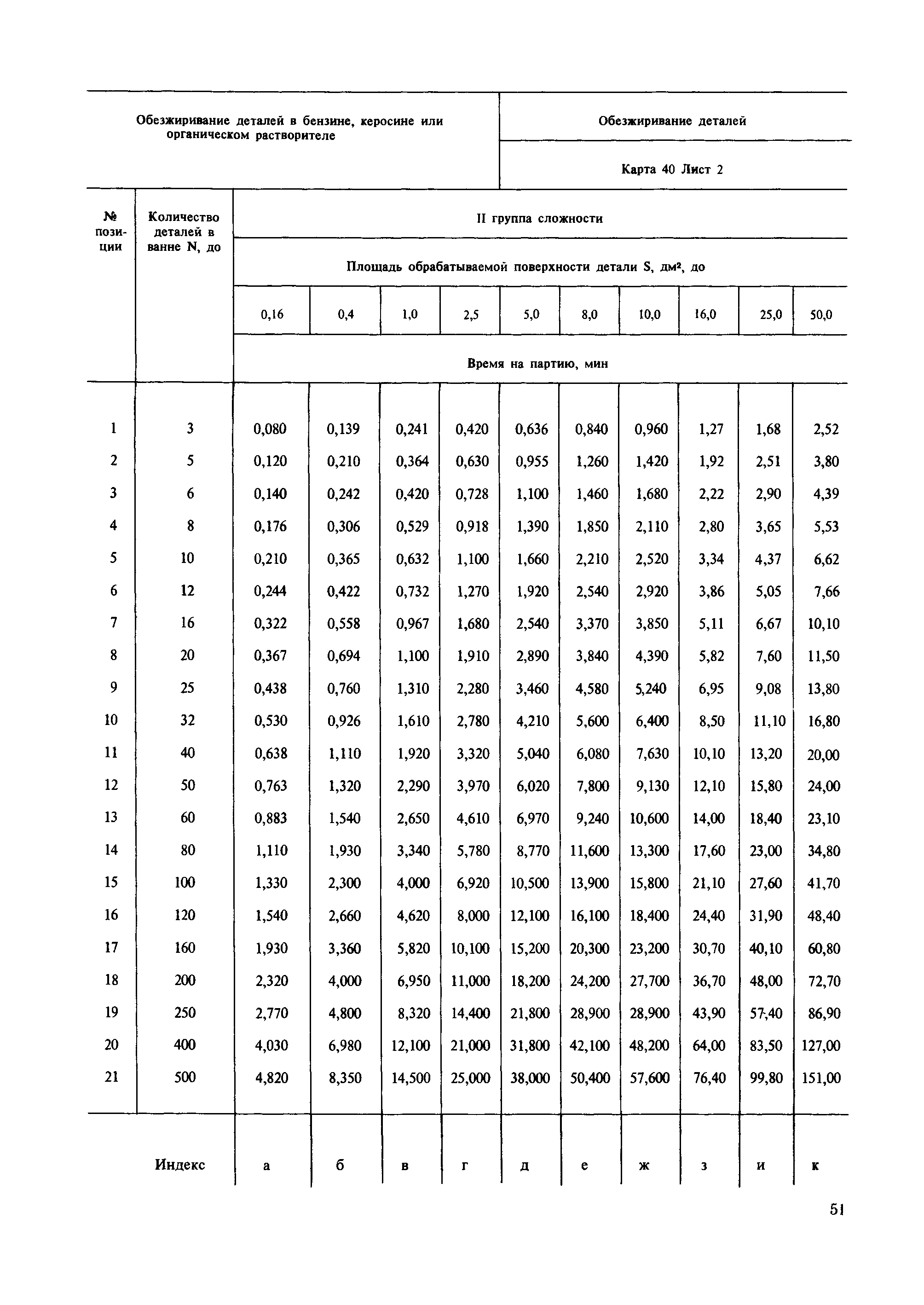
Общемашиностроительные нормативы вспомогательного времени на термическую обработку металла в печах, ваннах и установках ТВЧ| Статус: | не действует | | Название рус.: | Общемашиностроительные нормативы вспомогательного времени на термическую обработку металла в печах, ваннах и установках ТВЧ | | Дата добавления в базу: | 01.02.2017 | | Дата актуализации: | 01.01.2021 | | Дата введения: | 01.01.1993 | | Область применения: | Нормативы времени предназначены для нормирования работ в цехах термической обработки металла машиностроительных предприятий в условиях массового, крупносерийного, среднесерийного и мелкосерийного типов производства (ГОСТ 3.1108-74). | | Оглавление: | 1 Общая часть 2 Технология работы и характеристика применяемого оборудования 3 Организация труда 4 Нормативная часть 4.1. Укрупненные комплексы вспомогательного времени | | Разработан: | ЦБНТ
| | Издан: | Экономика (1988 г. )
| | Заменяет собой: | - «Общемашиностроительные нормативы вспомогательного времени на термическую обработку металла в печах, ваннах и установках ТВЧ» (1975 год)
|
                                                                                      
|