Скачать ГОСТ 19739-2015 Полосы из припоев серебряных. Технические условия

Дата актуализации: 01.01.2021

ГОСТ 19739-2015

Полосы из припоев серебряных. Технические условия

Обозначение: ГОСТ 19739-2015
Обозначение англ: GOST 19739-2015
Статус:взамен
Название рус.:Полосы из припоев серебряных. Технические условия
Название англ.:Strips from silver solders. Specifications
Дата добавления в базу:01.02.2017
Дата актуализации:01.01.2021
Дата введения:01.01.2017
Область применения:Стандарт распространяется на полосы из серебряных припоев, применяемые для пайки и лужения в различных отраслях промышленности, в том числе в приборостроении и ювелирном производстве.
Оглавление:1 Область применения
2 Нормативные ссылки
3 Термины и определения
4 Условные обозначения
5 Технические требования
   5.1 Основные показатели и характеристики (свойства) . . .
   5.2 Маркировка, упаковка
6 Правила приемки
7 Методы контроля
8 Транспортирование и хранение
9 Гарантии изготовителя
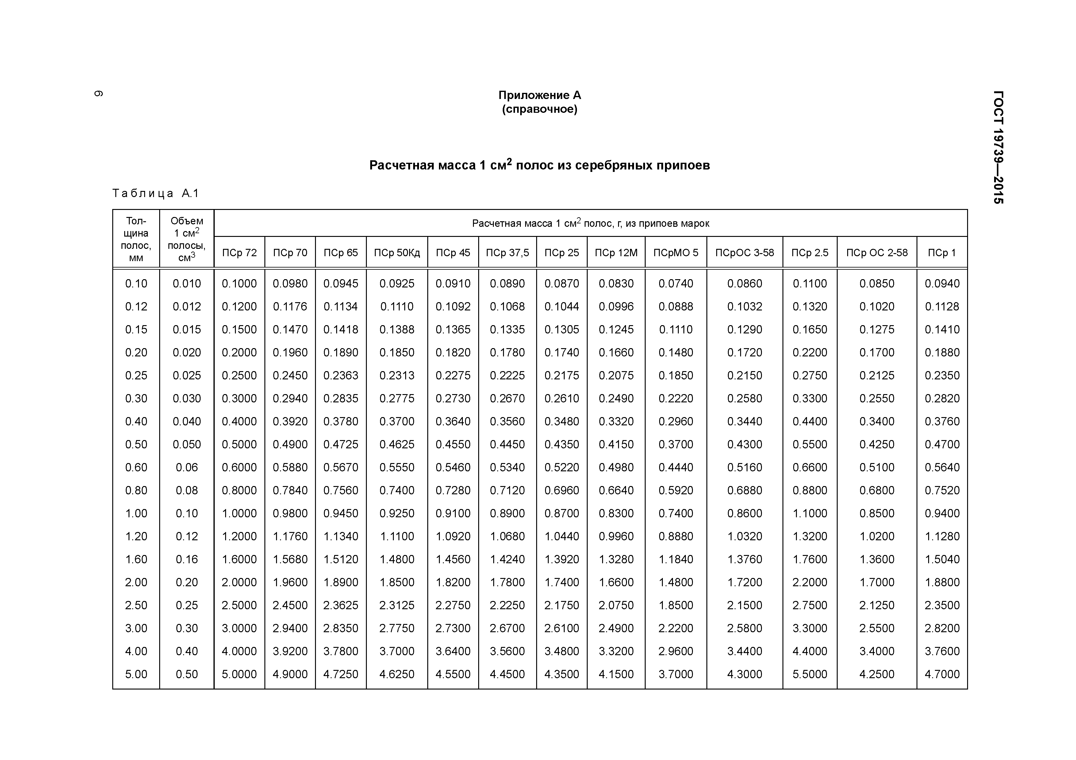
Приложение А (справочное) Расчетная масса 1 см2 полос из серебряных припоев
Приложение Б (справочное) Физико-механические свойства полос из серебряных припоев
Разработан: МТК 304 Благородные металлы, сплавы и промышленные изделия из них
Акционерное общество Екатеринбургский завод по обработке цветных металлов
Утверждён:27.02.2015 Межгосударственный Совет по стандартизации, метрологии и сертификации (Inter-Governmental Council on Standardization, Metrology, and Certification 75-П)
03.06.2016 Федеральное агентство по техническому регулированию и метрологии (518-ст)
Издан: Стандартинформ (2016 г. )
Заменяет собой:
Нормативные ссылки:
ГОСТ 19739-2015ГОСТ 19739-2015ГОСТ 19739-2015ГОСТ 19739-2015ГОСТ 19739-2015ГОСТ 19739-2015ГОСТ 19739-2015ГОСТ 19739-2015ГОСТ 19739-2015ГОСТ 19739-2015ГОСТ 19739-2015