Скачать ГОСТ Р 53633.14-2016 Информационные технологии. Сеть управления электросвязью. Расширенная схема деятельности организации связи (eTOM). Декомпозиция и описания процессов. Процессы уровня 2 eTOM. Управление организацией. Управление отношениями с заинтересованными сторонами и внешними связямиДата актуализации: 01.01.2021
|
| Обозначение: | ГОСТ Р 53633.14-2016 |
| Обозначение англ: | GOST R 53633.14-2016 |
| Статус: | введен впервые |
| Название рус.: | Информационные технологии. Сеть управления электросвязью. Расширенная схема деятельности организации связи (eTOM). Декомпозиция и описания процессов. Процессы уровня 2 eTOM. Управление организацией. Управление отношениями с заинтересованными сторонами и внешними связями |
| Название англ.: | Information technologies. Telecommunications management network. Enhanced Telecom Operations Map (eTOM). Process decompositions and descriptions. eTOM level 2 processes. Enterprise management. Stakeholder and external relations management |
| Дата добавления в базу: | 01.02.2017 |
| Дата актуализации: | 01.01.2021 |
| Дата введения: | 01.06.2017 |
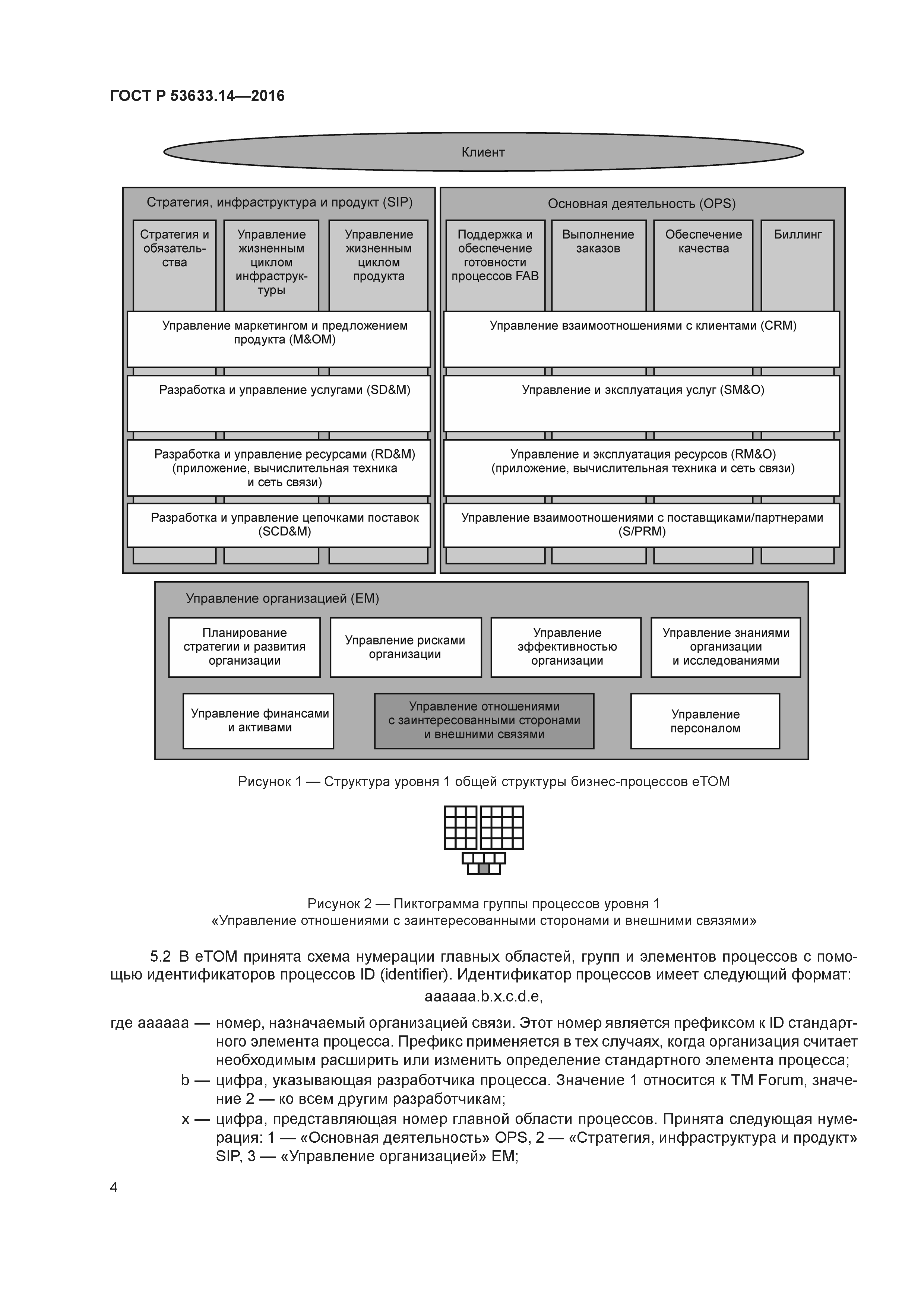
| Область применения: | Стандарт устанавливает структуру и элементы процессов уровня 2 для группы процессов «Управление отношениями с заинтересованными сторонами и внешними связями» (Stakeholder and external relations management), являющейся элементом структуры уровня 1 в главной области «Управление организацией» модели eTOM (Enhanced Telecom Operations Map). Эта группа процессов определена в базовом стандарте ГОСТ Р 53633.0. Стандарт распространяется на процессы управления отношениями организации с заинтересованными сторонами и с внешними сущностями. При этом к заинтересованным сторонам относятся акционеры, общественные организации, а к внешним сущностям - регулирующие органы и местные организации. Процессы группы применяются при взаимоотношениях с акционерами, с местными и правительственными организациями, при связях с общественностью. Стандарт предназначен для применения организациями связи, системными интеграторами и производителями систем автоматизации производственных процессов. Требования стандарта не распространяются на действующие стандарты, которые были приняты до введения его в действие. |
| Оглавление: | 1 Область применения 2 Нормативные ссылки 3 Термины и определения 4 Общие положения 5 Идентификация процессов 6 Структура и назначение процессов группы "Управление отношениями с заинтересованными сторонами и внешними связями" 7 Элементы процессов уровня 2 для группы "Управление отношениями с заинтересованными сторонами и внешними связями" Приложение А (обязательное) Наименования и идентификаторы элементов процессов уровня 2 для группы процессов "Управление отношениями с заинтересованными сторонами и внешними связями" |
| Разработан: | ТК 480 Связь |
| Утверждён: | 03.06.2016 Федеральное агентство по техническому регулированию и метрологии (508-ст) |
| Издан: | Стандартинформ (2016 г. ) Стандартинформ (2018 г. ) |
| Нормативные ссылки: |











