Скачать ГОСТ Р 56948-2016 Телевидение вещательное цифровое. Алгоритмы скремблирования контента служб DVB-IPTV, использующих транспортные потоки MPEG2. Основные параметрыДата актуализации: 01.01.2021
|
| Обозначение: | ГОСТ Р 56948-2016 |
| Обозначение англ: | GOST R 56948-2016 |
| Статус: | введен впервые |
| Название рус.: | Телевидение вещательное цифровое. Алгоритмы скремблирования контента служб DVB-IPTV, использующих транспортные потоки MPEG2. Основные параметры |
| Название англ.: | Digital Video Broadcasting. Content Scrambling Algorithms for DVB-IPTV Services using MPEG2 Transport Streams. Basic parameters |
| Дата добавления в базу: | 01.02.2017 |
| Дата актуализации: | 01.01.2021 |
| Дата введения: | 01.06.2017 |
| Область применения: | Стандарт определяет спецификации скремблирования контента распространяемых в сетях DVB-IPTV услуг реального времени и услуг доставки контента по запросу на базе транспортного потока MPEG2. Также данный стандарт определяет требования к сигнализации, которая позволяет обеспечивать системам условного доступа и системам цифрового управления правами защиту своего контента при использовании методов скремблирования, описанных ниже. Требования стандарта следует учитывать при разработке, изготовлении и эксплуатации оборудования DVB-IPTV. |
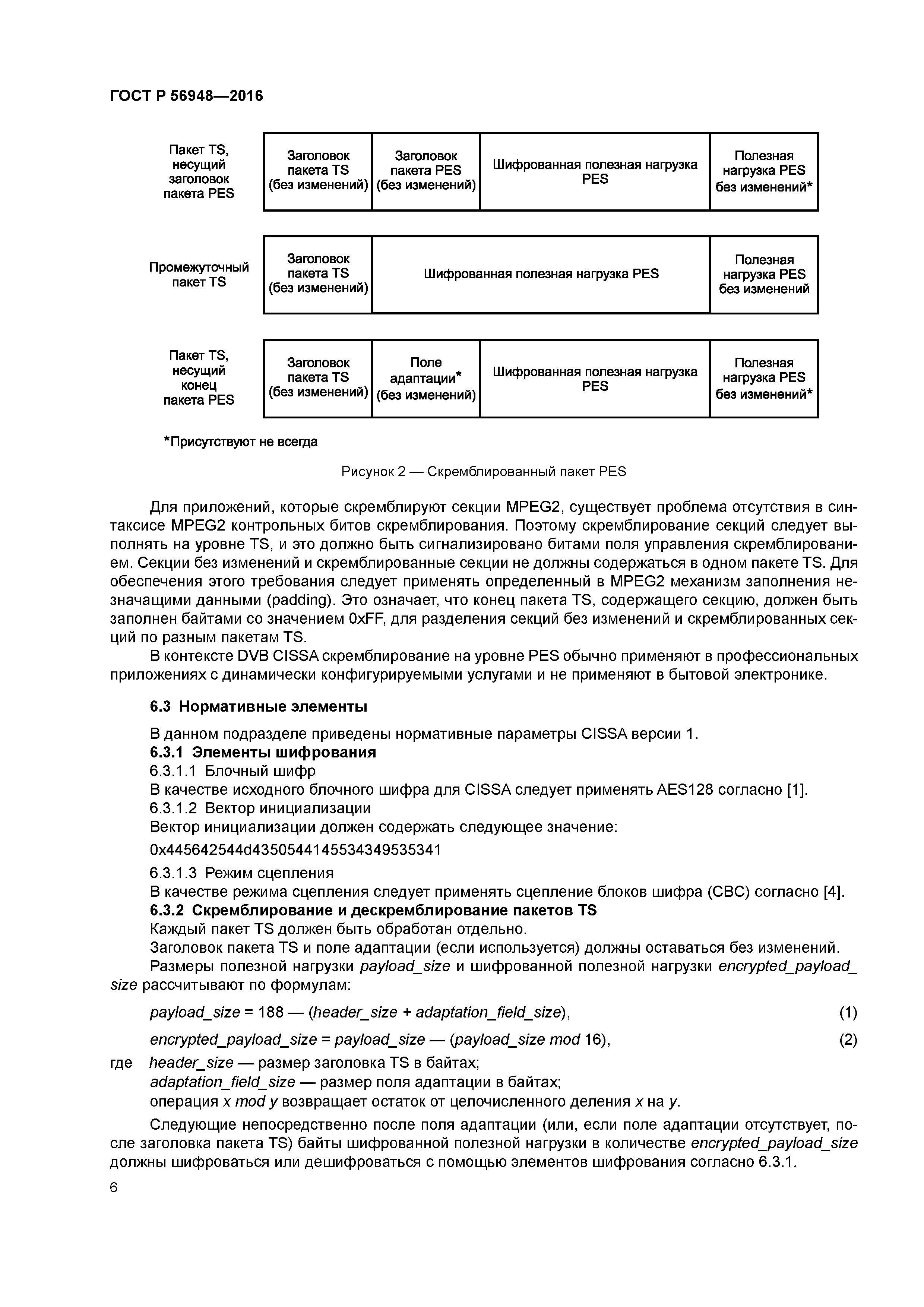
| Оглавление: | 1 Область применения 2 Нормативные ссылки 3 Термины, определения и сокращения 4 Основные положения 5 Аппаратно-ориентированные алгоритмы скремблирования 5.1 Введение 5.2 Общий алгоритм скремблирования DVB версии 3 5.3 Общий алгоритм скремблирования DVB версии 1 6 Общий программно-ориентированный алгоритм скремблирования IPTV (CISSA) версии 1 6.1 Введение 6.2 Общее описание 6.3 Нормативные элементы 7 Сигнализация 7.1 Дескриптор скремблирования 7.2 Применение дескриптора скремблирования Приложение А (справочное): Рекомендации по применению CISSA Приложение Б (справочное): Тестовые последовательности CISSA для скремблирования на уровне транспортного потока Библиография |
| Разработан: | АНО НТЦИ |
| Утверждён: | 07.06.2016 Федеральное агентство по техническому регулированию и метрологии (541-ст) |
| Издан: | Стандартинформ (2016 г. ) |
| Нормативные ссылки: |
|


















