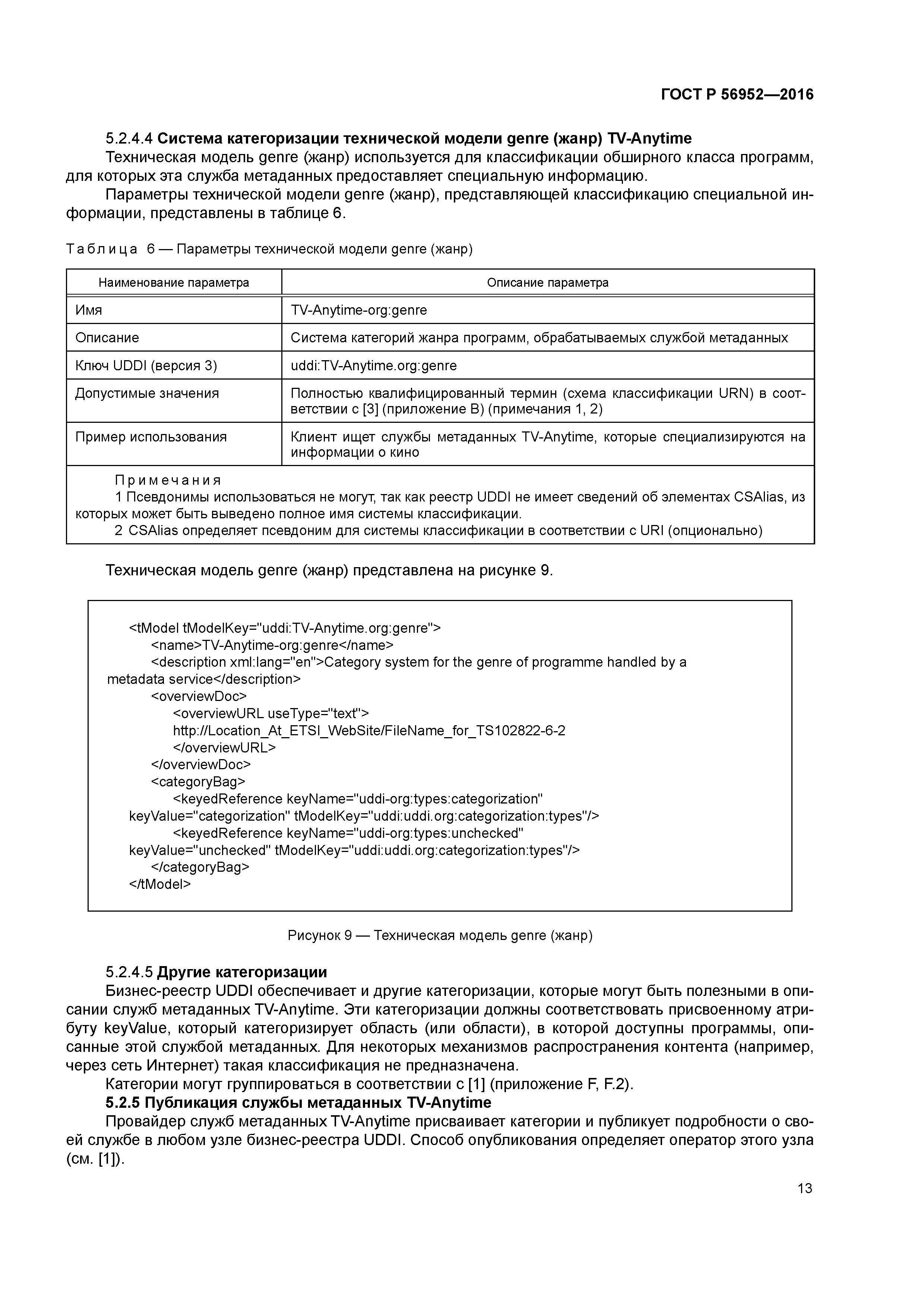
Скачать ГОСТ Р 56952-2016 Телевидение вещательное цифровое. Система TV-Anytime. Передача метаданных по двунаправленной сети. Основные параметрыДата актуализации: 01.01.2021
|
| Обозначение: | ГОСТ Р 56952-2016 |
| Обозначение англ: | GOST R 56952-2016 |
| Статус: | введен впервые |
| Название рус.: | Телевидение вещательное цифровое. Система TV-Anytime. Передача метаданных по двунаправленной сети. Основные параметры |
| Название англ.: | Digital Video Broadcasting. System TV-Anytime. Delivery of metadata over a bi-directional network. Basic parameters |
| Дата добавления в базу: | 01.02.2017 |
| Дата актуализации: | 01.01.2021 |
| Дата введения: | 01.06.2017 |
| Область применения: | Стандарт устанавливает основные параметры процессов передачи метаданных по двунаправленной сети с целью обнаружения служб метаданных и получения описания возможностей служб метаданных. |
| Оглавление: | 1 Область применения 2 Нормативные ссылки 3 Термины, определения, сокращения и обозначения 4 Общие вопросы обнаружения служб метаданных 4.1 Введение 4.2 Типы и функциональные возможности служб метаданных 4.3 Описания возможности службы метаданных 4.4 Варианты обнаружения служб метаданных 5 Обнаружение служб метаданных 5.1 Операция get_Data а получения метаданных органа по его CRID 5.2 Обнаружение служб метаданных средствами UDDI 5.3 Обнаружение служб метаданных средствами WS-Inspection Приложение А (рекомендуемое) Примеры использования UDDI Приложение Б (рекомендуемое) Примеры описания файла WS-Inspection и описания реализации WSDL Библиография |
| Разработан: | Филиал ФГУП НИИР - СОНИИР |
| Утверждён: | 07.06.2016 Федеральное агентство по техническому регулированию и метрологии (545-ст) |
| Издан: | Стандартинформ (2016 г. ) |
| Нормативные ссылки: |
|





















