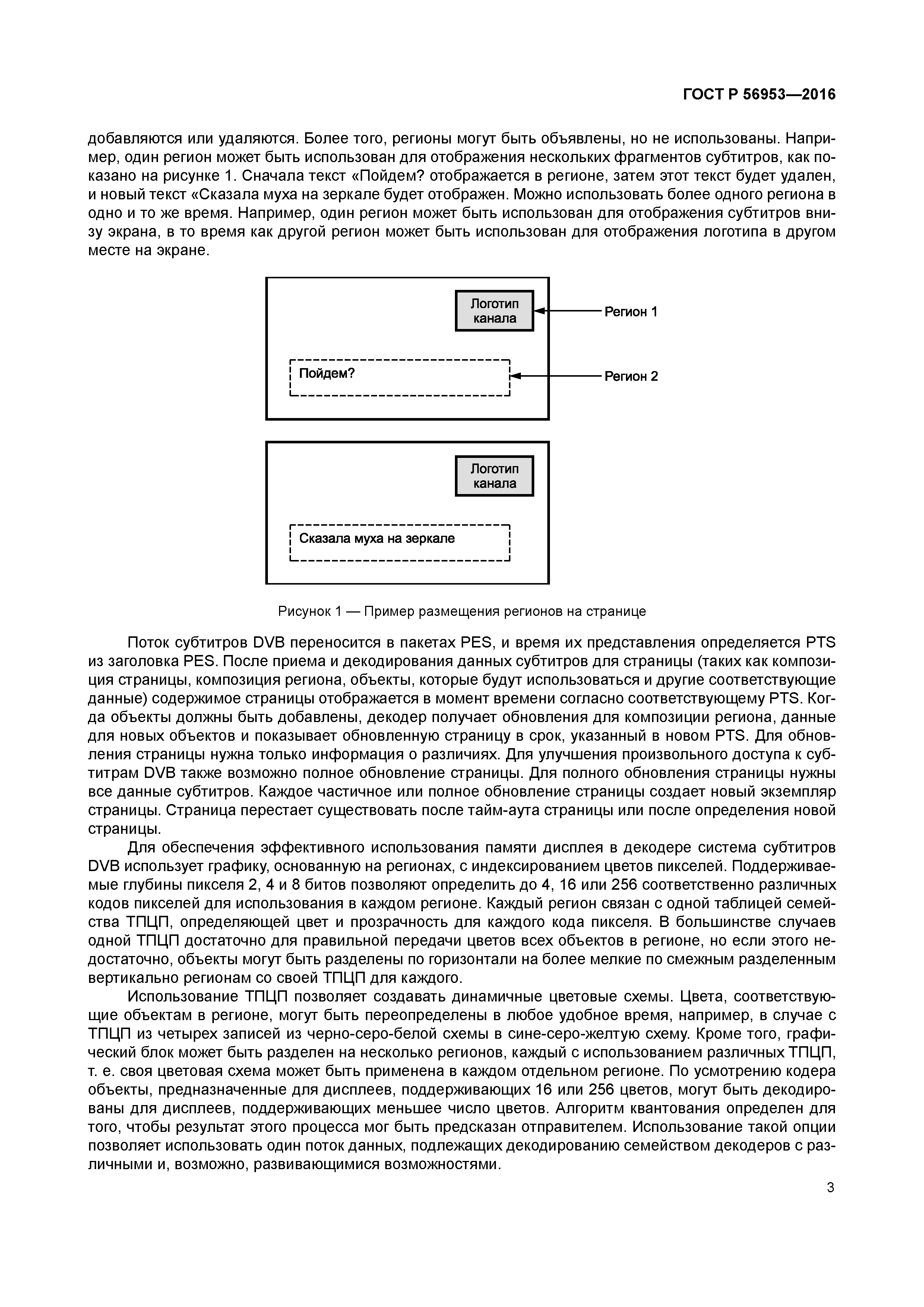
Скачать ГОСТ Р 56953-2016 Телевидение вещательное цифровое. Системы субтитров. Основные параметрыДата актуализации: 01.01.2021
|
| Обозначение: | ГОСТ Р 56953-2016 |
| Обозначение англ: | GOST R 56953-2016 |
| Статус: | введен впервые |
| Название рус.: | Телевидение вещательное цифровое. Системы субтитров. Основные параметры |
| Название англ.: | Digital Video Broadcasting. Subtitling systems. Basic parameters |
| Дата добавления в базу: | 01.02.2017 |
| Дата актуализации: | 01.01.2021 |
| Дата введения: | 01.06.2017 |
| Область применения: | Стандарт определяет систему кодирования субтитров, логотипов и иных графических элементов для их передачи в транспортных потоках DVB. Данная система использует таблицы преобразования цветовой палитры (ТПЦП) для определения цветов графических элементов. Транспортировка кодированных графических элементов основана на системе MPEG-2. |
| Оглавление: | 1 Область применения 2 Нормативные ссылки 3 Термины, определения и сокращения 4 Введение в систему субтитров DVB 5 Модель декодера субтитров 6 Формат пакета PES 7 Данные субтитров в пакете PES 8 Требования к данным субтитров 9 Преобразование цветовых компонентов 10 Содержание таблиц преобразования цветовой палитры (ТПЦП) и таблиц перекодировки по умолчанию Библиография |
| Разработан: | АНО НТЦИ |
| Утверждён: | 07.06.2016 Федеральное агентство по техническому регулированию и метрологии (546-ст) |
| Издан: | Стандартинформ (2016 г. ) |
| Нормативные ссылки: |
|






























