Скачать ГОСТ Р 56954-2016 Телевидение вещательное цифровое. Спецификация транспортировки синхронизированных вспомогательных данных в транспортных потоках DVBДата актуализации: 01.01.2021
|
| Обозначение: | ГОСТ Р 56954-2016 |
| Обозначение англ: | GOST R 56954-2016 |
| Статус: | введен впервые |
| Название рус.: | Телевидение вещательное цифровое. Спецификация транспортировки синхронизированных вспомогательных данных в транспортных потоках DVB |
| Название англ.: | Digital Video Broadcasting. Specification for the carriage of synchronized auxiliary data in DVB transport streams |
| Дата добавления в базу: | 01.02.2017 |
| Дата актуализации: | 01.01.2021 |
| Дата введения: | 01.06.2017 |
| Область применения: | Стандарт определяет спецификацию транспортировки синхронизированных вспомогательных данных в транспортных потоках DVB для их синхронизации со стороны приемника с видео- и аудиопотоками. Данный стандарт применим к различным потокам вспомогательных данных, таким как телетекст, субтитры и прочее, передаваемых в составе транспортного потока MPEG. |
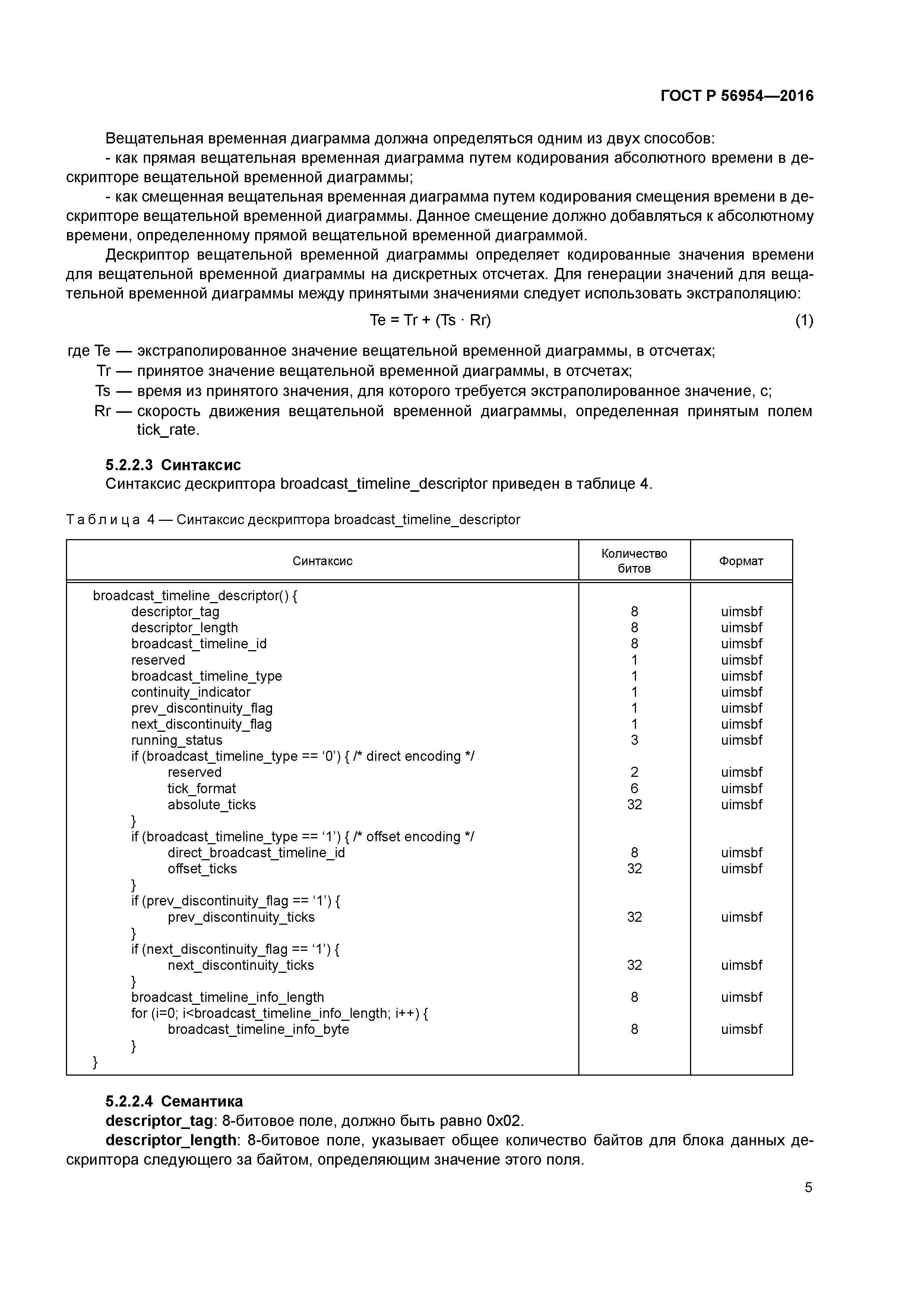
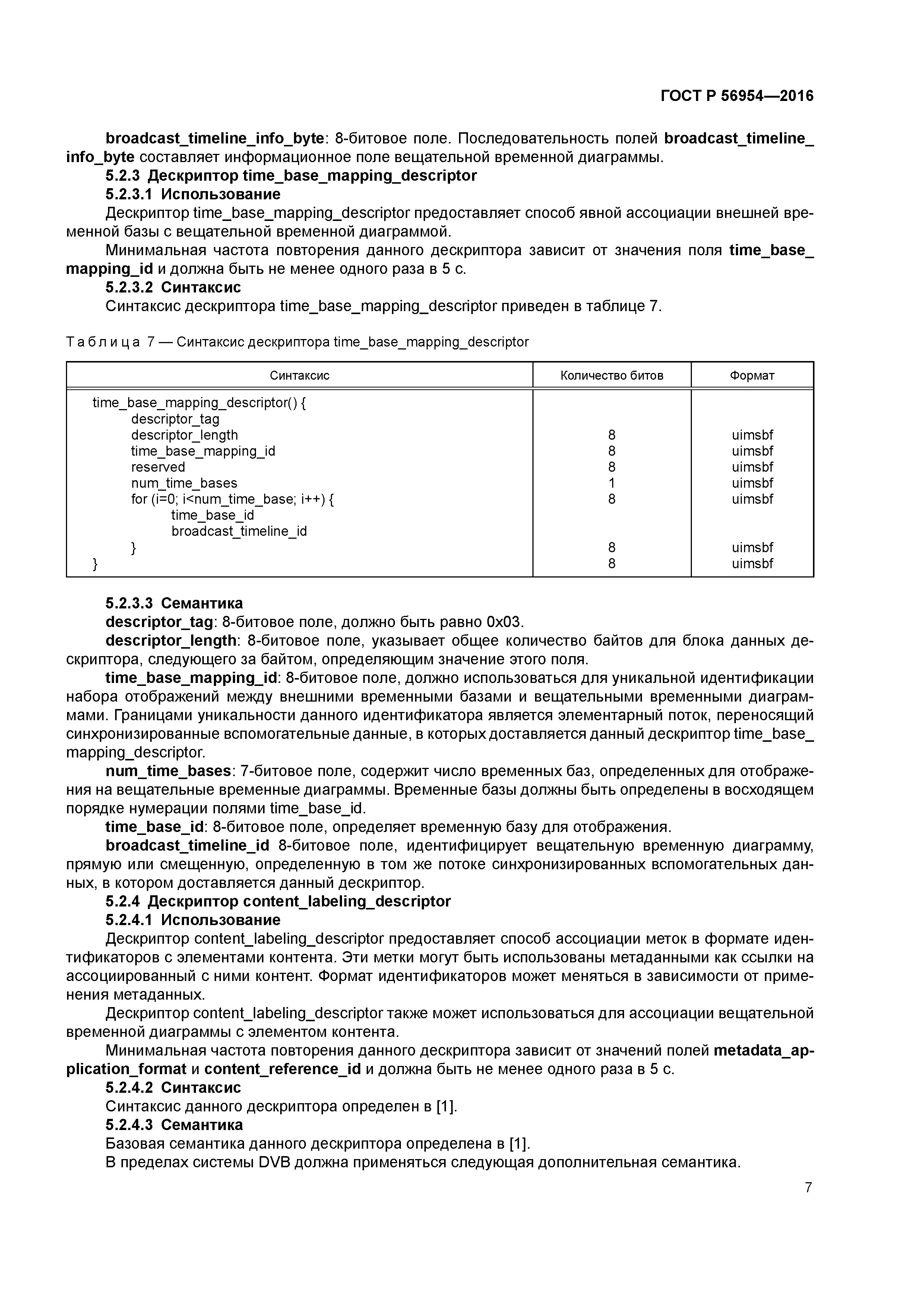
| Оглавление: | 1 Область применения 2 Нормативные ссылки 3 Термины, определения и сокращения 4 Транспортировка синхронизированных вспомогательных данных 4.1 Введение 4.2 Формат пакетов транспортного потока (TS) 4.3 Формат пакетов пакетизированного элементарного потока (PES) 4.4 Расположение потока 4.5 Структура вспомогательных данных 5 Дескрипторы 5.1 Идентификация дескрипторов 5.2 Определения дескрипторов Приложение А (обязательное) Типы временных диаграмм Библиография |
| Разработан: | АНО НТЦИ |
| Утверждён: | 07.06.2016 Федеральное агентство по техническому регулированию и метрологии (547-ст) |
| Издан: | Стандартинформ (2016 г. ) |
| Нормативные ссылки: |
|

















