Скачать ГОСТ Р 56955-2016 Телевидение вещательное цифровое. Структура кадра, канальное кодирование и модуляция в системе идентификации несущей (DVB-CID) для спутниковой передачи. Основные параметрыДата актуализации: 01.01.2021
|
| Обозначение: | ГОСТ Р 56955-2016 |
| Обозначение англ: | GOST R 56955-2016 |
| Статус: | введен впервые |
| Название рус.: | Телевидение вещательное цифровое. Структура кадра, канальное кодирование и модуляция в системе идентификации несущей (DVB-CID) для спутниковой передачи. Основные параметры |
| Название англ.: | Digital Video Broadcasting. Framing structure, channel coding and modulation of a carrier identification system (DVB-CID) for satellite transmission. Basic parameters |
| Дата добавления в базу: | 01.02.2017 |
| Дата актуализации: | 01.01.2021 |
| Дата введения: | 01.06.2017 |
| Область применения: | Стандарт определяет систему модуляции, канального кодирования и протокола сигнализации, предназначенную для идентификации принадлежности сигнала несущей спутниковой передачи. Система идентификации несущей позволяет операторам и пользователям быстро определять принадлежность оборудования, излучающего сигналы помехи вследствие неисправности или ошибок при инсталляции, улучшать качество услуг и сокращать операторские расходы, в долгосрочной перспективе сокращать число случаев проявления радиочастотной интерференции от мешающих сигналов. Требования стандарта следует учитывать при разработке, изготовлении и эксплуатации передающего оборудования спутниковых сетей. |
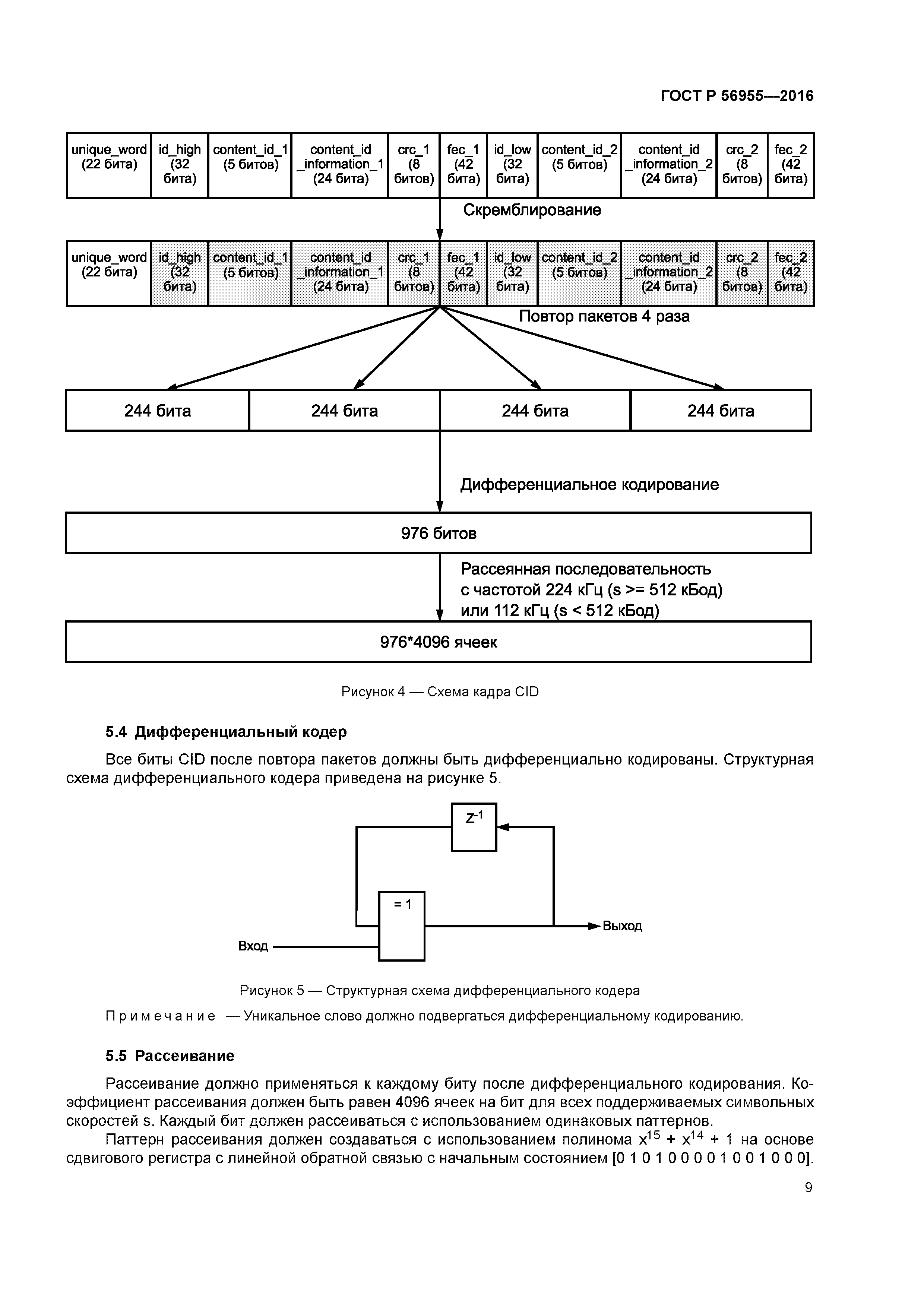
| Оглавление: | 1 Область применения 2 Нормативные ссылки 3 Термины, определения и сокращения 4 Идентификационная информация несущей частоты 4.1 Глобальный уникальный идентификатор DVB CID 4.2 Таблица идентификаторов контента 5 Конструкция DVB CID 5.1 Конструкция кадра DVB CID 5.2 Скремблирование 5.3 Повторение 5.4 дифференциальный кодер 5.5 Рассеивание 5.6 Отображение ячеек на диаграмму созвездия BPSK 5.7 Фильтр Найквиста 5.8 Регулировка усиления 5.9 Комплексное сложение 6 Требования к фазовым шумам несущей DVB CID Приложение А (обязательное) АЧХ фильтра передатчика Библиография |
| Разработан: | АНО НТЦИ |
| Утверждён: | 07.06.2016 Росстандарт (548-ст) |
| Издан: | Стандартинформ (2016 г. ) |
| Нормативные ссылки: |
|


















