Скачать ГОСТ Р 56972-2016 Конструкции несущие базовые радиоэлектронных средств. Управление температурными режимами шкафов, соответствующих стандартам серий IEC 60297 и IEC 60917. Часть 2. Руководство по проектированию. Метод определения конструкции принудительного воздушного охлажденияДата актуализации: 01.01.2021
|
| Обозначение: | ГОСТ Р 56972-2016 |
| Обозначение англ: | GOST R 56972-2016 |
| Статус: | введен впервые |
| Название рус.: | Конструкции несущие базовые радиоэлектронных средств. Управление температурными режимами шкафов, соответствующих стандартам серий IEC 60297 и IEC 60917. Часть 2. Руководство по проектированию. Метод определения конструкции принудительного воздушного охлаждения |
| Название англ.: | Bearing base construction for electronic equipment. Thermal management for cabinets in accordance with the standards of IEC 60297 and IEC 60917 series. Part 2. Design guide. Method of determining the design of forced-air cooling |
| Дата добавления в базу: | 01.02.2017 |
| Дата актуализации: | 01.01.2021 |
| Дата введения: | 01.03.2017 |
| Область применения: | Стандарт устанавливает совместимые методы принудительного воздушного охлаждения шкафов с установленными в них блочными каркасами и/или шасси, соответствующими сериям стандартов IEC 60297 и IEC 60917. Руководство по проектированию содержит следующее: а) Тепловые интерфейсы оборудования блочных каркасов и/или шасси, установленных в шкафу: - исходная температура; - рекомендуемые условия обтекания воздушным потоком; - характеристики объема потока воздуха; - воздух при стандартных условиях. Б) Процедуры для определения совместимых условий принудительного потока воздуха в шкафу путем применения обычных тепловых характеристик интерфейса. |
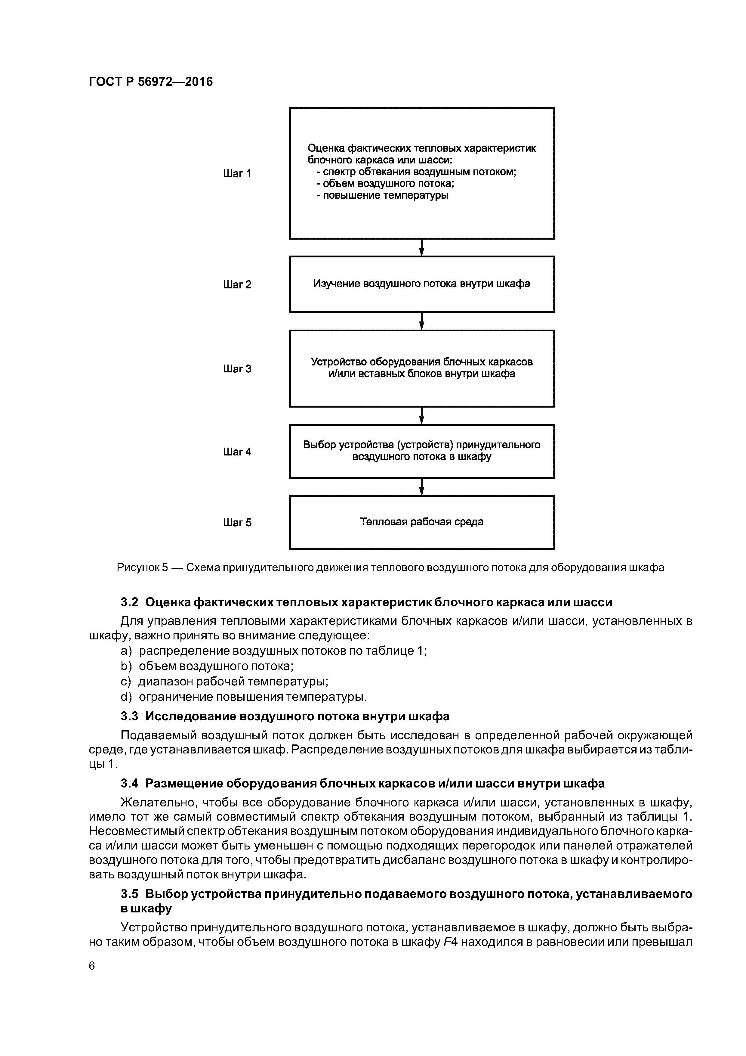
| Оглавление: | 1 Область применения 2 Тепловые интерфейсы 2.1 Базовый тепловой режим 2.2 Исходная температура 2.3 Описание поверхностей стандартного блочного каркаса, шасси или шкафа 2.4 Предпочтительные условия обтекания воздушным потоком 2.5 Управление воздушным потоком и процессом повышения температуры в шкафу 3 Схема принудительного теплового воздушного потока для оборудования шкафа 3.1 Общие положения 3.2 Оценка фактических тепловых характеристик блочного каркаса или шасси 3.3 Исследование воздушного потока внутри шкафа 3.4 Размещение оборудования блочных каркасов и/или шасси внутри шкафа 3.5 Выбор устройства принудительно подаваемого воздушного потока, устанавливаемого в шкафу 3.6 Температурная рабочая среда Приложение А (справочное) Ограничения по использованию и сведения справочного характера Библиография |
| Разработан: | ООО Авангард-ТехСт МЭК/ТК 48D |
| Утверждён: | 20.06.2016 Федеральное агентство по техническому регулированию и метрологии (650-ст) |
| Издан: | Стандартинформ (2016 г. ) |















