Скачать ГОСТ 20901-2016 Изделия огнеупорные для кладки воздухонагревателей и воздухопроводов горячего дутья доменных печей. Технические условия

Дата актуализации: 01.01.2021

ГОСТ 20901-2016

Изделия огнеупорные для кладки воздухонагревателей и воздухопроводов горячего дутья доменных печей. Технические условия

Обозначение: ГОСТ 20901-2016
Обозначение англ: GOST 20901-2016
Статус:взамен
Название рус.:Изделия огнеупорные для кладки воздухонагревателей и воздухопроводов горячего дутья доменных печей. Технические условия
Название англ.:Refractory and high-refractory products for laying of stoves and hot blast mains of blast furnaces. Specifications
Дата добавления в базу:01.02.2017
Дата актуализации:01.01.2021
Дата введения:01.01.2017
Область применения:Стандарт распространяется на огнеупорные изделия для кладки воздухонагревателей, воздухопроводов горячего дутья и фурменных зон доменных печей.
Оглавление:1 Область применения
2 Нормативные ссылки
3 Термины и определения
4 Марки
5 Форма и размеры изделий
6 Технические требования
7 Требования безопасности и охраны окружающей среды
8 Правила приемки
9 Методы контроля
10 Транспортирование и хранение
11 Гарантии изготовителя
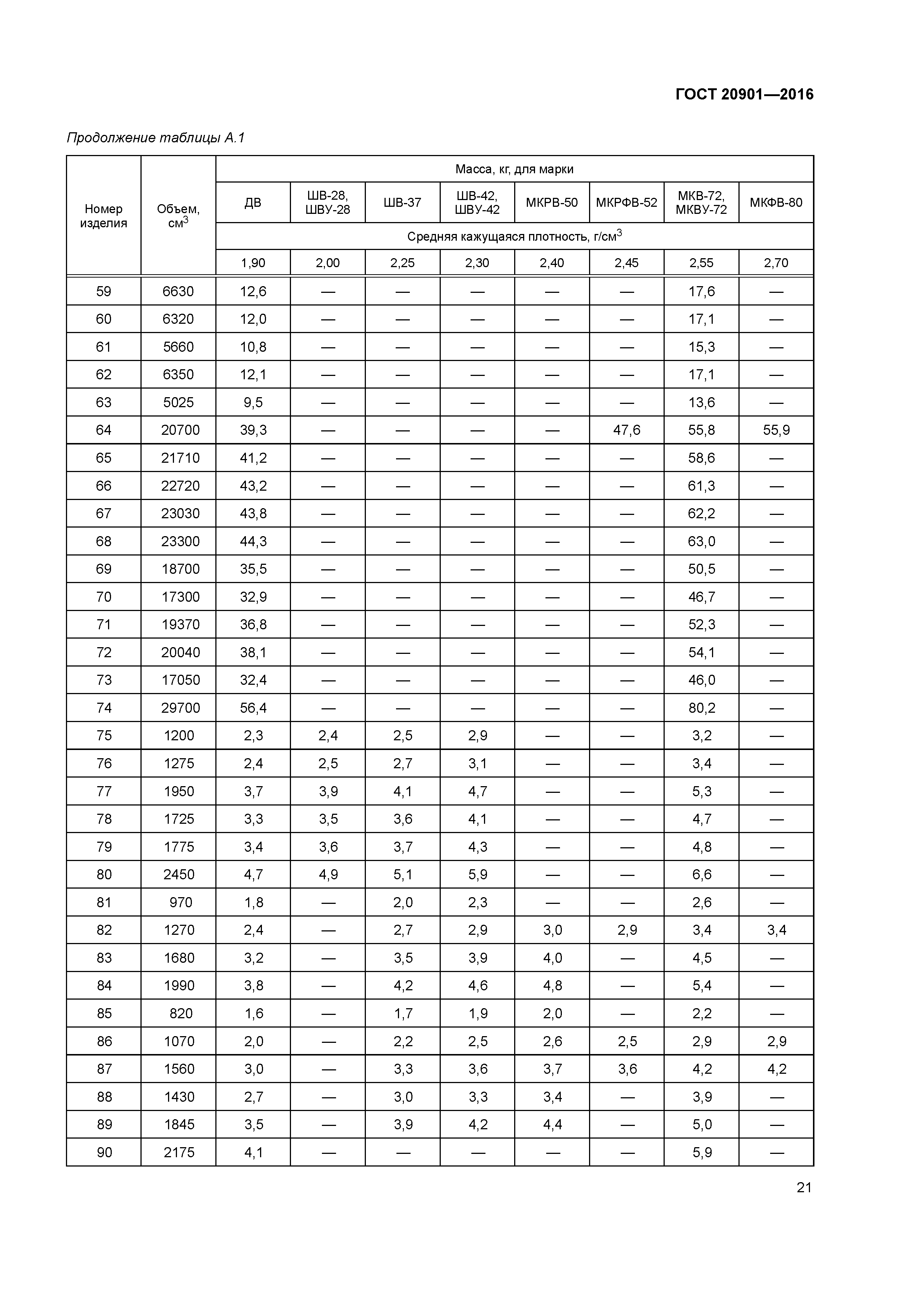
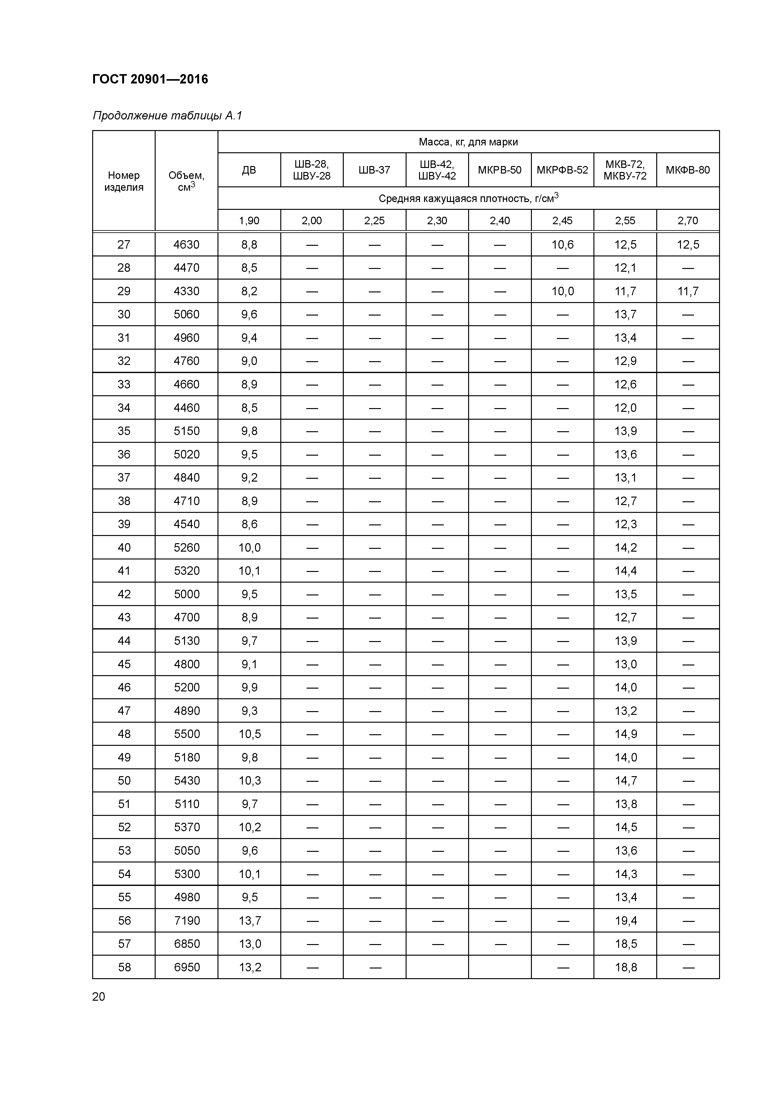
Приложение А (справочное) Расчетные объем, масса и средняя кажущаяся плотность изделий
Разработан: ООО НТЦ Огнеупоры
Утверждён:29.02.2016 Межгосударственный Совет по стандартизации, метрологии и сертификации (Inter-Governmental Council on Standardization, Metrology, and Certification 85-П)
10.06.2016 Федеральное агентство по техническому регулированию и метрологии (611-ст)
Издан: Стандартинформ (2016 г. )
Заменяет собой:
Нормативные ссылки:
ГОСТ 20901-2016ГОСТ 20901-2016ГОСТ 20901-2016ГОСТ 20901-2016ГОСТ 20901-2016ГОСТ 20901-2016ГОСТ 20901-2016ГОСТ 20901-2016ГОСТ 20901-2016ГОСТ 20901-2016ГОСТ 20901-2016ГОСТ 20901-2016ГОСТ 20901-2016ГОСТ 20901-2016ГОСТ 20901-2016ГОСТ 20901-2016ГОСТ 20901-2016ГОСТ 20901-2016ГОСТ 20901-2016ГОСТ 20901-2016ГОСТ 20901-2016ГОСТ 20901-2016ГОСТ 20901-2016ГОСТ 20901-2016ГОСТ 20901-2016ГОСТ 20901-2016ГОСТ 20901-2016