Скачать Методические рекомендации органам государственной власти субъектов Российской Федерации и органам местного самоуправления по обеспечению условий доступности услуг организаций культуры

Дата актуализации: 01.01.2021

Методические рекомендации органам государственной власти субъектов Российской Федерации и органам местного самоуправления по обеспечению условий доступности услуг организаций культуры

Статус:действует
Название рус.:Методические рекомендации органам государственной власти субъектов Российской Федерации и органам местного самоуправления по обеспечению условий доступности услуг организаций культуры
Дата добавления в базу:01.02.2017
Дата актуализации:01.01.2021
Область применения:Методические рекомендации подготовлены в целях оказания содействия органам культуры субъектов Российской федерации и муниципальных образований при разработке условий обеспечения доступности услуг организаций культуры при проведении мероприятий по оптимизации сети с учетом норм оптимального размещения организациями культуры.
Оглавление:Введение
Раздел I. Методические рекомендации органам государственной власти субъектов российской федерации и органам местного самоуправления по обеспечению условий доступности для населения услуг организаций культуры
   Общие положения
1. Нормы оптимального размещения объектов культуры, обеспечивающие доступность услуг организаций культуры для населения
   Нормы размещения государственных библиотек
   Нормы размещения библиотек в городских округах и городских поселениях
   Нормы размещения межпоселенческих (районных) библиотек
   Нормы размещения библиотек в сельских поселениях
   Нормы размещения государственных музеев
   Нормы размещения музеев в муниципальных образованиях
   Нормы размещения государственных театров
   Нормы размещения театров в муниципальных образованиях
   Нормы размещения государственных концертных организаций
   Нормы размещения концертных организаций в муниципальных образованиях
   Нормы размещения цирков
   Нормы размещения государственных учреждений культуры клубного типа
   Нормы размещения Домов (Дворцов) в муниципальных образованиях
   Нормы размещения Центров культурного развития
   Нормы размещения передвижных многофункциональных культурных центров
   Нормы размещения зоопарков (ботанических садов)
   Нормы размещения муниципальных парков культуры и отдыха
   Нормы размещения кинозалов
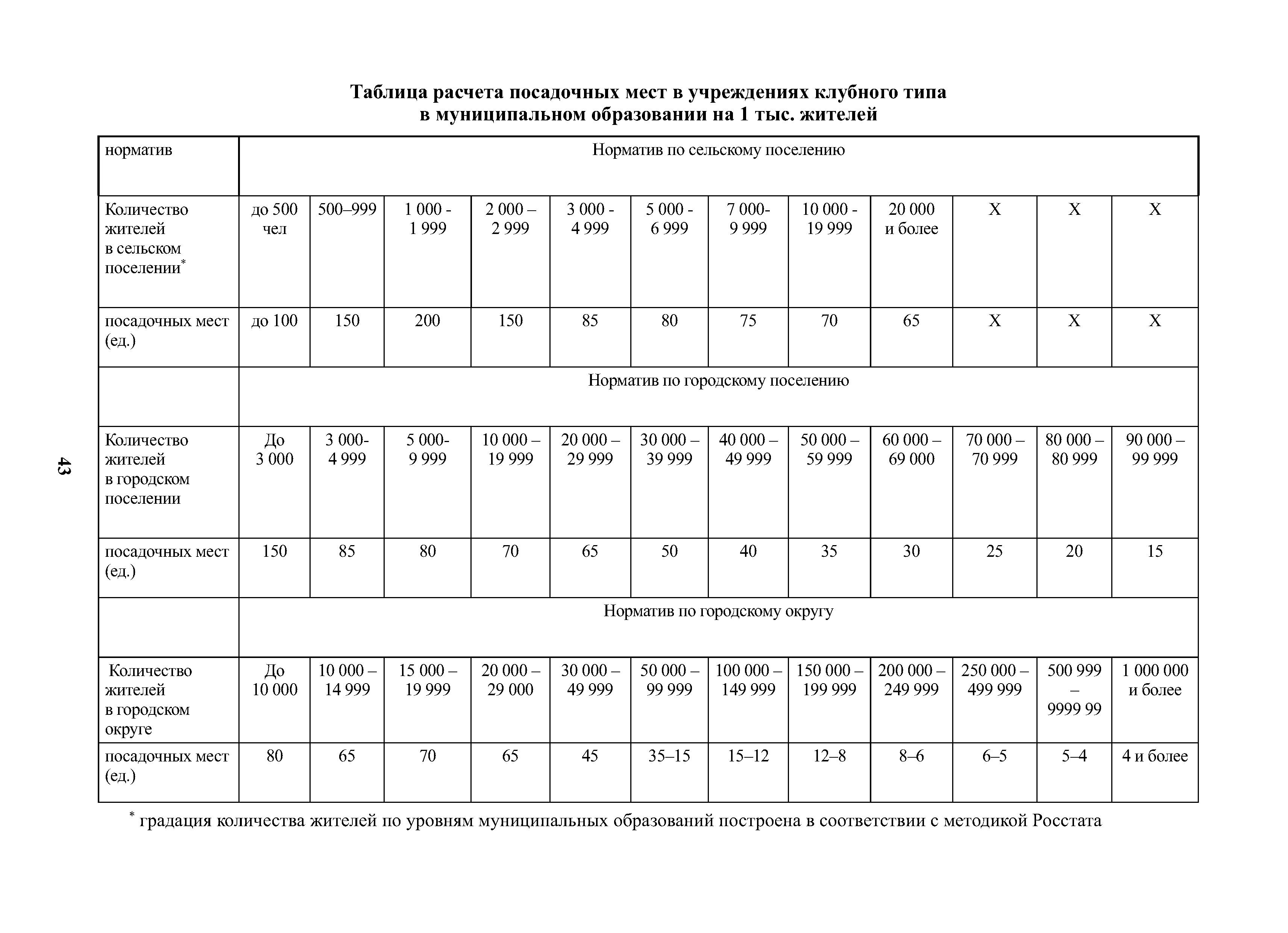
   Таблица расчета посадочных мест в театрах, концертных организациях и учреждениях культуры клубного типа на 1 тыс. жителей (Приложение к Методике определения норм и нормативов оптимального размещения объектов культуры, обеспечивающих доступность для населения услуг организаций культуры)
2 Рекомендации по проведению культурного картирования территории в целях проведения работы по оптимизации сети учреждений культуры
3 Рекомендации об использовании видов информационных ресурсов для обеспечения доступа населения к услугам организаций культуры
4 Справочная информация
Раздел II. Условия и показатели обеспеченности услуг организаций культуры в субъектах Российской Федерации (примеры нормативно-правовых актов субъектов Российской Федерации по обеспечению доступности услуг организаций культуры. Приводятся в извлечении
Распоряжение Правительства Российской Федерации от 06.09.2011 №1540-р "Об утверждении Стратегии социально-экономического развития Центрального федерального округа до 2020 года"
Распоряжение Правительства Российской Федерации от 05.09.2011 №1538 "Об утверждении Стратегии социально-экономического развития Южного федерального округа до 2020 года"
Распоряжение Правительства Российской Федерации от 06.09.2011 №1485-р "Об утверждении Стратегии социально-экономического развития Северо-Кавказского федерального округа"
Распоряжение Правительства Российской Федерации от 18.11.2011 №2074-р "Об утверждении Стратегии социально-экономического развития Северо-Западного федерального округа до 2020 года"
Распоряжение Правительства Российской Федерации от 07.02.2011 №165-р "Об утверждении Стратегии социально-экономического развития Приволжского федерального округа до 2020 года"
Распоряжение Правительства Российской Федерации от 06.10.2011 №1757-р "Об утверждении Стратегии социально-экономического развития Уральского федерального округа до 2020 года"
Распоряжение Правительства Российской Федерации 05.07.2010 №1120-р "Об утверждении Стратегии социально-экономического развития Сибирского федерального округа до 2020 года"
Распоряжение Правительства Российской Федерации от 28.12.2009 №2094 "О Стратегии социально-экономического развития Дальнего Востока и Байкальского региона на период до 2025 года"
Распоряжение Правительства Российской Федерации от 30.11.2010 №2136-р "Об утверждении концепции устойчивого развития сельских территорий Российской Федерации на период до 2020 года"
Постановление от 24 декабря 2013 №2008 "Об утверждении муниципальной программы "Повышение качества и доступности оказания услуг в сфере образования, культуры, физической культуры и спорта, молодежной политики города Ельца на 2014–2020 годы"
Закон Санкт-Петербурга от 22.01.2014 №23-9 "О региональных нормативах градостроительного проектирования, применяемых на территории Санкт-Петербурга"
Постановление Законодательной думы Томской области от 31.10.2013 №1531 "Об утверждении стратегии развития социальной сферы Томской области до 2020 года"
Постановление от 18 сентября 2015 № 552 "Об утверждении региональных нормативов градостроительного проектирования Калининградской области"
Решение от 24 февраля 2016 №68 "Об утверждении нормативов градостроительного проектирования города Рассказово"
Постановление от 14 октября 2009 г. №406 "Об утверждении нормативов градостроительного проектирования Кемеровской области"
Постановление от 10 февраля 2015 г. №123-п "Об утверждении региональных нормативов градостроительного проектирования Ямало-Ненецкого автономного округа"
Постановление от 29 декабря 2014 №534-п "Об утверждении региональных нормативов градостроительного проектирования Ханты-Мансийского автономного округа – Югры"
Утверждён: Министерство культуры Российской Федерации (Russian Federation Ministry of Culture )
Нормативные ссылки: