Скачать Схема территориального планирования Российской Федерации в области энергетикиДата актуализации: 01.01.2021 |
| Статус: | действует |
| Название рус.: | Схема территориального планирования Российской Федерации в области энергетики |
| Дата добавления в базу: | 01.02.2017 |
| Дата актуализации: | 01.01.2021 |
| Дата введения: | 01.08.2016 |
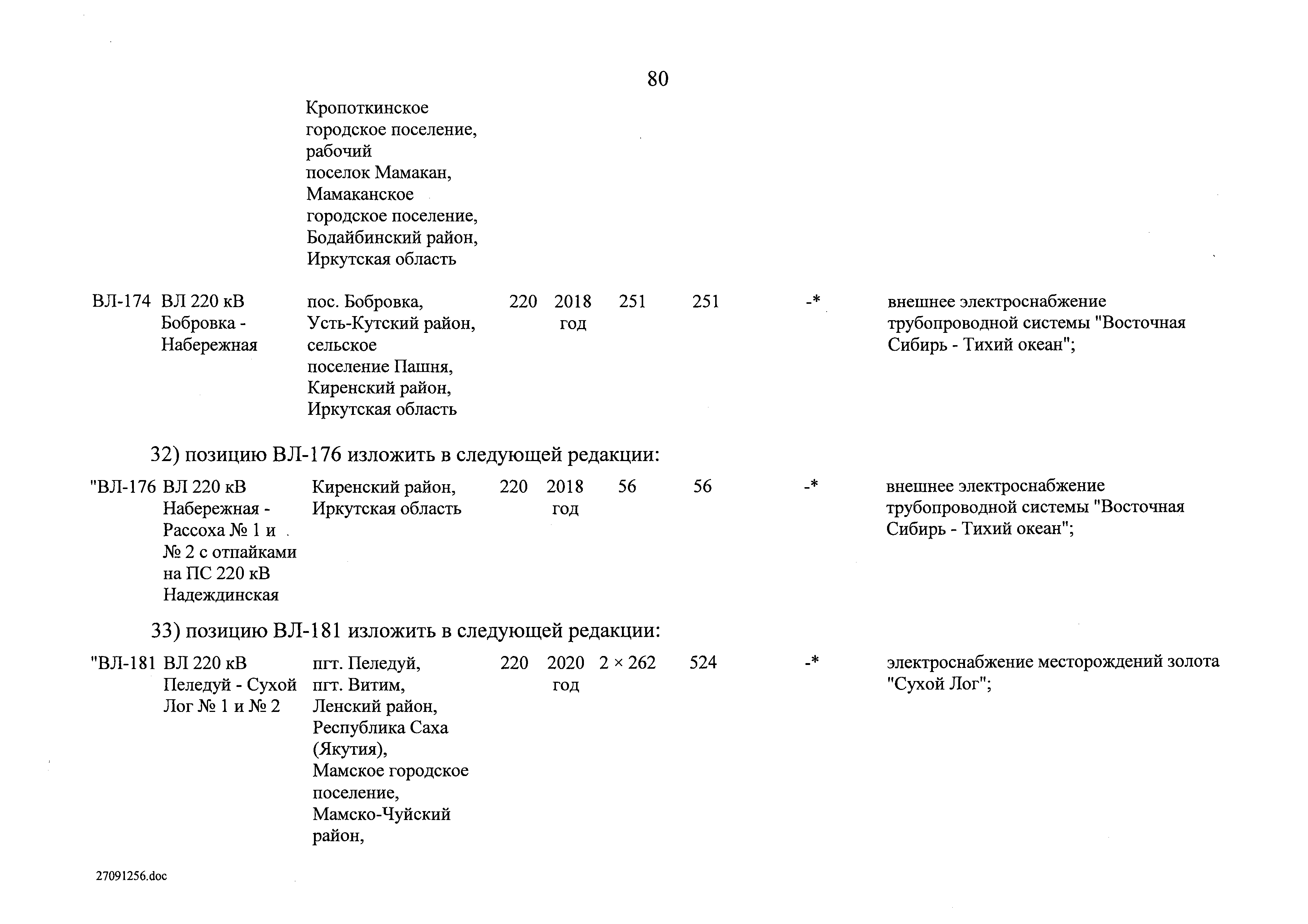
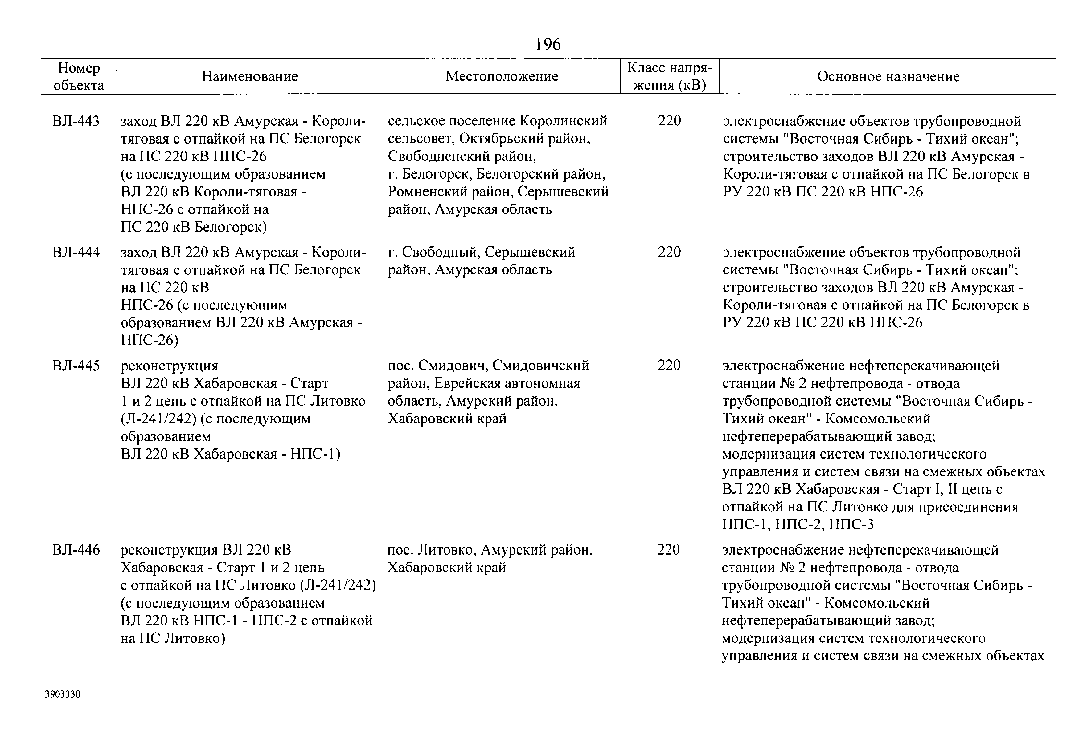
| Оглавление: | I. Положение о территориальном планировании II. Карта планируемого размещения объектов федерального значения в области энергетики Приложение № 1. Перечень атомных электростанций, планируемых для размещения Приложение № 2. Перечень гидроэлектростанций мощностью 100 МВт и выше, планируемых для размещения Приложение № 3. Перечень ветровых электростанций мощностью 100 МВт и выше, планируемых для размещения Приложение № 4. Перечень тепловых электростанций мощностью 100 МВт и выше, планируемых для размещения Приложение № 5. Перечень подстанций с проектным номинальным классом напряжения 110 кВ и выше, планируемых для размещения Приложение № 6. Перечень линий электропередачи с проектным номинальным классом напряжения 110 кВ и выше, планируемых для размещения Приложение № 7. Перечень объектов хранения, захоронения и переработки радиоактивных отходов, планируемых для размещения Приложение № 8. Характеристика зон с особыми условиями использования территорий, планируемых для размещения объектов федерального значения в области энергетики Приложение № 9. Характеристика зон затопления планируемых для размещения гидроэлектростанций |
| Утверждён: | 01.08.2016 Правительство РФ (Government of the Russian Federation 1634-р) |
| Список изменений: |
|
| Нормативные ссылки: |
|





















































































































































































Текстовое изменение № 1 от 01.11.2016





Текстовое изменение № 2 от 27.07.2017



Текстовое изменение № 3 от 15.11.2017




















































































































































































































































Текстовое изменение № 4 от 10.11.2018

































































































































































































































































































































































Текстовое изменение № 5 от 25.07.2019

Текстовое изменение № 6 от 11.06.2020







